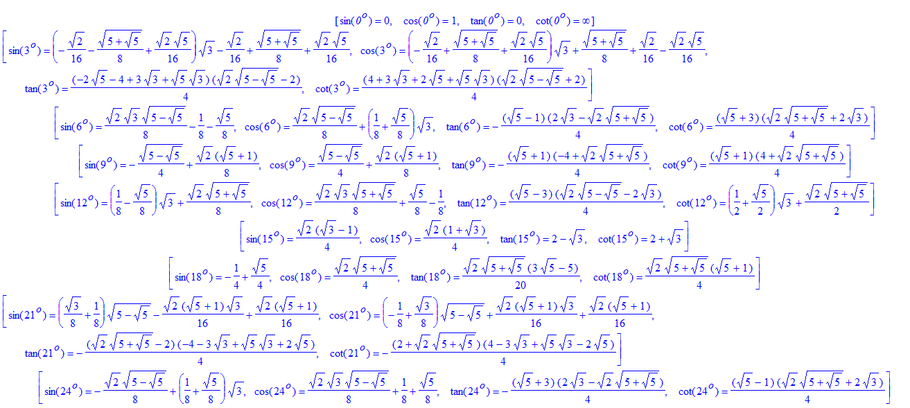
It is known that the trigonometric functions of an integer number of degrees may be expressed by radicals if the number of degrees is divisible by 3. Simple code finds all these values ​​in the range 0 to 90 degrees:

 [sin(`0`^`o`)=0,`   cos`(`0`^`o`)=1,`   tan`(`0`^`o`)=0,`   cot`(`0`^`o`)=infinity];

for n from 3 to 87 by 3 do

[sin(n^`o`)=convert(sin(n*Pi/180),radical),`  cos`(n^`o`)=convert(cos(n*Pi/180),radical),

`   tan`(n^`o`)=convert(tan(n*Pi/180),radical), `   cot`(n^`o`)=convert(cot(n*Pi/180),radical)];

od;

[sin(90^`o`)=1,`   cos`(90^`o`)=0,`   tan`(90^`o`)=infinity,`   cot`(90^`o`)=0];


Fragment of output:

Trig.mws


Please Wait...