Maple 16 Questions and Posts

These are Posts and Questions associated with the product, Maple 16

Hi,

I've been trying to manipulate the equations of a mechanism that I've exported from MapleSIM.  The system equations contain 4 differential ordinary equations, and 6 algebraic equations.  In MapleSIM it simulates fine, but I'm having problems simulating it in maple alone (without multibody exports).

I've tried solving the initial value problem by replacing all the time dependant variables with constants, (and as this is a dynamics problem) I supplied...

I have a large sheet containing about three proc(). Four symbolic matrices of though small order but with complex values are being imported. There are also some other statements other than mentioned above. I have writing them in text mode.

What could be the possible reasons for connnection lost with maple though I have 4 GB of ram.

 

Thankyou!!!

Let say that you have two datasets:

restart:
with(MyFinance):
z1 := GetCSV("http://www.quandl.com/api/v1/datasets/USER_18Q/18R.csv?&auth_token=BXckVSG3twWkV272c9Q4&trim_start=1968-04-01&trim_end=2013-04-12&collapse=daily&transformation=rdiff&sort_order=desc");
z2 := GetCSV("http://www.quandl.com/api/v1/datasets/USER_18Q/1EV.csv?&auth_token=BXckVSG3twWkV272c9Q4&trim_start=1994-01-03&trim_end=2013-04-12&collapse=daily&...

Good afternoon everbody,

I am trying to make a rational interpolation from the data of a function (values of the function for different points).
I tried to do it with the RationalInterpolation command but it requires too much time. Then I chose to solve the problem with the NonlinearFit command but the result varies a lot if I a change the basic function I want to approach and I always get a warning message: limiting numer of iterations reached.

 d^2(x)/d(t^2) + sin(x)=0  (1)

d^2(x)/d(t^2) + x = 0 (2)

d^2(x)/d(t^2) + ( x - (x)^3/6) = 0 (3)

1) Compare the results of numerical simulations of (1), (2), (3) to see how closely the period of the periodic orbits relate.

a) Perform a phase portrait ( (x)'(t) vs. x ) analysis for (1), (2), and (3).

b) Consider the initial conditions x(0)= x0 and x'(0)=0. For what intervals of x0 do the periodic orbits of (2...

I have a Matrix 'A' in maple with symbolic entries and I need to use that Matrix in matlab M file. The symbols with in 'A' are already initialized in M file.

How is this possible?

For Matrices 'A' of small dimension, I can use the codegeneration package to convert 'A' to Matlab Matrix and then copy paste.

But for matrices of 1000x1000, lets say, does not seem as a option.

I want to solve 4 nonlinear equation using maple. I want to find many roots of this 4 nonlinear equation.

I have no idea about initial condition so I use 4 for initial condition. my program is as follow:

 

f1:=nonlinear equation1(include variable q1,q2,p1,p2);

f2:=nonlinear equation2(include variable q1,q2,p1,p2);

f3:=nonlinear equation3(include variable q1,q2,p1,p2);

f4:=nonlinear equation4(include variable q1,q2,p1,p2);

Having read the above I decided to try it on a substitution problem I had last year on a set of equations. Work sheet containe an example. I successifuly applied algsubs to the problem. It can be slow and their is no easy way I see to know when the substitution is complete. so what I did go round the loop 2, 3, 4, 5 times. Crude!

Decided to try "side relations" with simplify here but it comes out with a totally different answer (not correct).

Could somebody explain why?

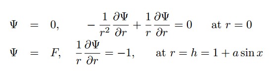
Hi!

How to solve attached equation in Maple?

Is there a possiblity to solve using units?

 

 

wzel

 

PS

Solution was done in Mathcad

 

 

Hi im using maple 16 and defined a vector field that is lengthy below,

(and yes i defined with(VectorCalculus), and SetCoordinates(cartesian(x,y,z)) (x,y,z is subscripted)

 

Full view of my screen with maple not integrating

And i am using a type of line integral for the work of a particle's path through a force field which i defined here as Z.

Hello,

I have defined a function(say fun) to do certain task, it works well when I call it from a script file(say script1). However, when I copy the complete script1 and paste onto another script file(say script2), the function, fun, doesn't execute. It's very peculiar as my project requires lot of modification, so I copy the old script and...

If S= { <0,1>,<1,2>} and T={<1,1>,<2,3>} are ordered bases for R2 and v=<1,5> and w=<5,4>, then can someone help me:

-find the coordinate vector of v and w with respect to the basis T by creating a procedure?

-I can make a procedure to find the transition matrix PS<-T from T to S-basis, but can you help find the coordinate vector of v and w with respect to the basis S. Using PS<-T?

Hi,
I'm trying to import matlab function from m-file.

File looks like this:

    function out = xxx(omega)
    out = heaviside(omega);

It's only heaviside function.

And now, when I'm using "FromMFile" command in Maple it doesn't recognize Heaviside function. It imports that function as "heaviside" - witch small first character (in Maple we needs big "H").

Any help? 

thx 

Please help me plot the graphs of the following equations:-

eq1 := diff(E[X(t)], t) = lambda-delta*E[X(t)]-beta*E[X(t)*V(t)];
 eq2 := diff(E[Y(t)], t) = -delta*E[Y(t)]+beta*exp(-rho*tau)*E[X(t)*V(t)];

eq3 := diff(E[V(t)], t) = gamma+N*kappa*E[Y(t)]-mu*E[V(t)]-beta*E[X(t)*V(t)]
NB:- E[X(t)]= the expected value of variable X at time t. 
Please help me know how to input this...

How to include/code/type such type of boundary conditions in maple?

Thanks

 

2 3 4 5 6 7 8 Last Page 4 of 40