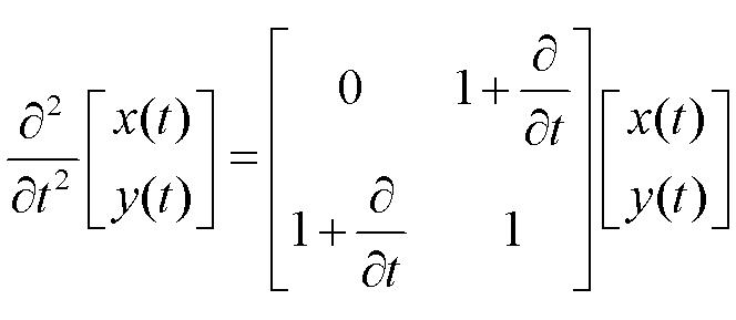
Question: the operators in matrix form

how to rewritten the PDEs to the matrix form like the following in Maple

 

 

Please Wait...