Question: Derivative function problems

I'm now using Maple 15 to get derivative funtions in a function with multiple parameters. So I want to find out the derivative w.r.t just one parameter. In the forum, I found out one way to solve this issue. 

In order to prove the correctness of the function D[3](m,n,p,r,x), I firstly use a very simple program to test it. 

In the Engineering PoA-Example.mw file, I've used a simple function called testFor with 5 parameters to generate a mathematical expression. Then in this formula, I've proved that testEWithPara:=(a,b,c,d,e)->D[5](ePoA)(a,b,c,d,e) is a correct derivative function w.r.t e. 

However, in the Engineering PoA-Replacement2.mw, I've used the similar mechanism to get the derivative function w.r.t a particular parameter. But this time, Maple has not provided the outcome, as I was waiting for.

 

Do you have any suggestions for this problem?

Thanks

Weitao Pan

 

testFor := proc (a, b, c, d, e) options operator, arrow; a*e+2*b*e^2+3*c*e^3+4*d*e^4+e^5 end proc;

testA := (D[1](testFor))(a, b, c, d, e);

e

(12)

testB := (D[2](testFor))(a, b, c, d, e);

2*e^2

(13)

testC := (D[3](testFor))(a, b, c, d, e);

3*e^3

(14)

testE := (D[5](testFor))(a, b, c, d, e);

a+4*b*e+9*c*e^2+16*d*e^3+5*e^4

(15)

``

testAWithPara := proc (a, b, c, d, e) options operator, arrow; (D[1](testFor))(a, b, c, d, e) end proc;

proc (a, b, c, d, e) options operator, arrow; (D[1](testFor))(a, b, c, d, e) end proc

(16)

testAWithPara(a, b, c, d, e);

e

(17)

testEWithPara := proc (a, b, c, d, e) options operator, arrow; (D[5](testFor))(a, b, c, d, e) end proc;

proc (a, b, c, d, e) options operator, arrow; (D[5](testFor))(a, b, c, d, e) end proc

(18)

testEWithPara(a, b, c, d, e);

a+4*b*e+9*c*e^2+16*d*e^3+5*e^4

(19)

``

 

 

 

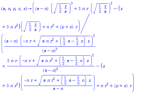
ePoA:=(m,n,p,r,x)-> ........

 

However, when I try to use DerEPoA:=(m,n,p,r,x)->D[3](ePoA)(m,n,p,r,x).

Maple doesn't work as it supposes to be. 

When I input functions with DerEPoA(m,n,p,r,x)

Maple just output D1(ePoA)(m,n,p,r,x) rather than some expression w.r.t parameters m,n,p,r,x. 

 

 

 

 

Please Wait...