Question: How to get Double Curl of an equation?

Hi every one,

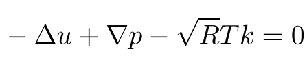
How can I get bouble Curl of this equation

 

 

 

In the above equation, the first term has the Laplacian, the second one has the gradient and in the term "k" is the unit vector and also u=(u1,u2,u3). sqrt(R) is a constant. 

 

Thanks

 

 

Please Wait...