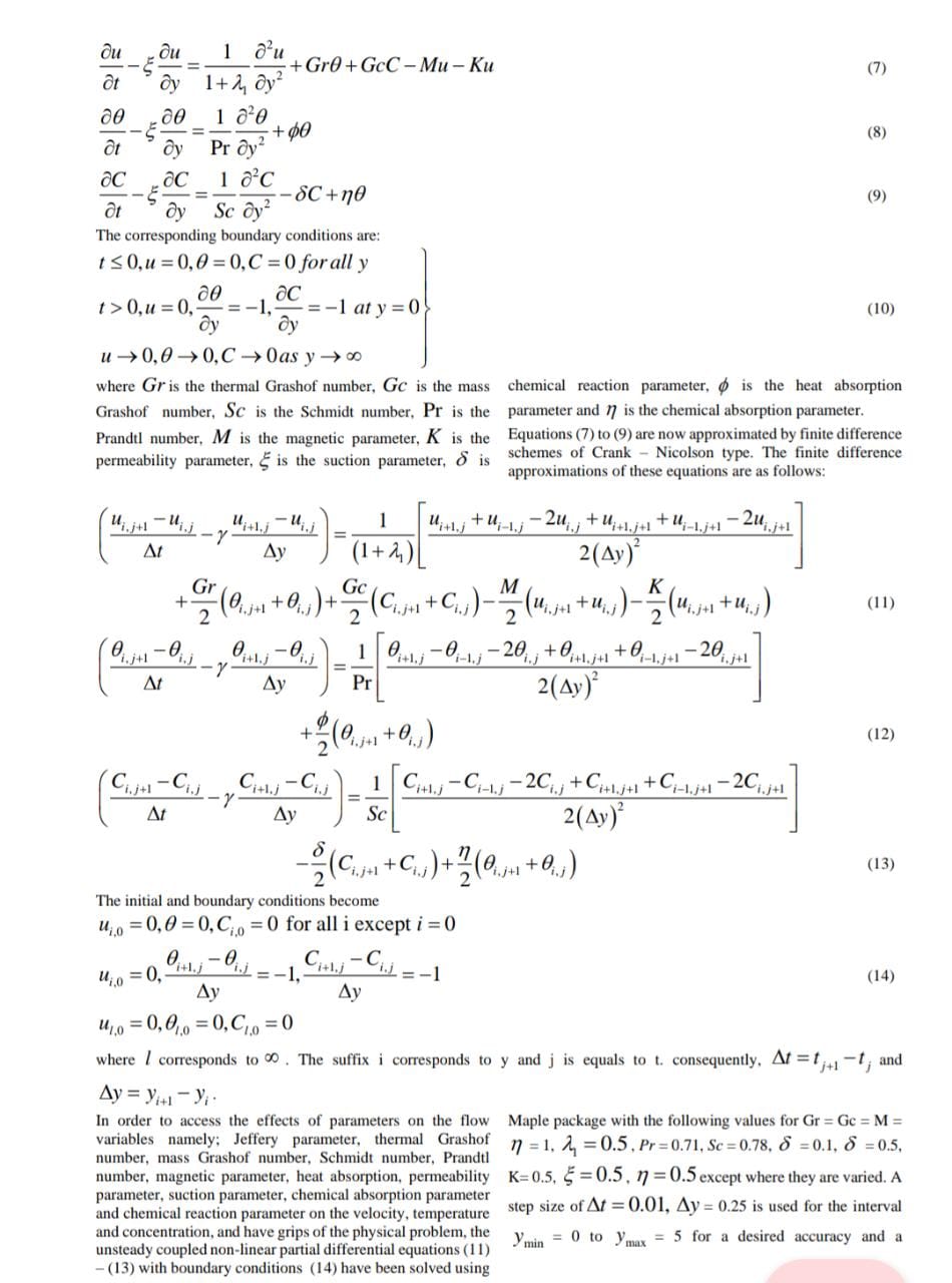
Question: Crank–Nicolson Finite difference scheme

How to get same graph from maple with finite difference method for differential equations 

I m new here how to plot this i have seen related posts no where given clear idea for FDM method

plase help me to get the results Thank you

 

 

Please Wait...