Question: Isolating positive and negative terms in an expression

How can I isolate the positive terms on one side and the negative terms on the other? Is there a systematic way to split and rearrange the expression so that I can determine the conditions under which L is positive or negative?

restart

``

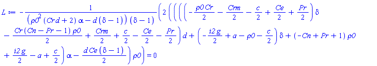
L := simplify(-rho0*(-Cn*Cr*alpha*d*rho0+Cr*Pr*alpha*d*rho0-Cr*alpha*d*delta*rho0+Ce*alpha*d*delta+Cr*alpha*d*rho0-Crm*alpha*d*delta+Pr*alpha*d*delta-alpha*c*d*delta-alpha*delta*g*i2-Ce*alpha*d-Ce*d*delta-2*Cn*alpha*rho0+Crm*alpha*d-Pr*alpha*d+2*Pr*alpha*rho0+2*a*alpha*delta+alpha*c*d-alpha*c*delta-2*alpha*delta*rho0+alpha*g*i2+Ce*d-2*a*alpha+alpha*c+2*alpha*rho0)/(Cr*alpha*d*delta*rho0^2-Cr*alpha*d*rho0^2+2*alpha*delta*rho0^2-2*alpha*rho0^2-d*delta^2+2*d*delta-d)) = 0

-2*((((-(1/2)*rho0*Cr-(1/2)*Crm-(1/2)*c+(1/2)*Ce+(1/2)*Pr)*delta-(1/2)*Cr*(Cn-Pr-1)*rho0+(1/2)*Crm+(1/2)*c-(1/2)*Ce-(1/2)*Pr)*d+(-(1/2)*i2*g+a-rho0-(1/2)*c)*delta+(-Cn+Pr+1)*rho0+(1/2)*i2*g-a+(1/2)*c)*alpha-(1/2)*d*Ce*(delta-1))*rho0/((rho0^2*(Cr*d+2)*alpha-d*(delta-1))*(delta-1)) = 0

(1)
 

``

Download Positive_Negative_Isolation.mw

Please Wait...