Question: error in ode plot and mismatch of table values

Dear sir here not matching the table values in the given pdf and if the Bc ((D(D(f)))(1) = 0) is also not satisfying 

thin_film_base_paper_comparision.mw

restart;
with(PDEtools):
with(plots):
with(LinearAlgebra):

A1 := 1:

# A2: Density coefficient
A2 := 1:

# A3: Thermal conductivity coefficient (Maxwell model)
A3 := 1:

# A4: Heat capacity coefficient  
A4 := 1:

# A5: Electrical conductivity coefficient (Maxwell model)
A5 := 1:
 

 

# Default parameter values (can be varied in studies)
M := 0:               # Magnetic field parameter
               # Unsteadiness parameter  
lambda_val := 0.5:      # Film thickness parameter (β²)
R := 0:               # Radiation parameter
A_star := 0.5:          # Heat source parameter
B_star := 0.5:          # Heat sink parameter
Ec := 0:              # Eckert number
Pr := 1:            # Prandtl number

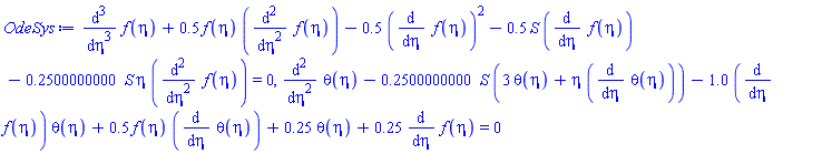
OdeSys := A1 * diff(f(eta), eta, eta, eta) +
                     A2 * lambda_val * (f(eta) * diff(f(eta), eta, eta) -
                     diff(f(eta), eta)^2 - S * diff(f(eta), eta) -
                     (S * eta/2) * diff(f(eta), eta, eta)) -
                     M * A5 * diff(f(eta), eta) = 0,(A3 + (4/3)*R) * diff(theta(eta), eta, eta) -
                   Pr * A4 * lambda_val * ((S/2) * (3*theta(eta) + eta*diff(theta(eta), eta)) +
                   2*diff(f(eta), eta)*theta(eta) - f(eta)*diff(theta(eta), eta)) +
                   lambda_val * (B_star * theta(eta) + A_star * diff(f(eta), eta)) = 0;

diff(diff(diff(f(eta), eta), eta), eta)+.5*f(eta)*(diff(diff(f(eta), eta), eta))-.5*(diff(f(eta), eta))^2-.5*S*(diff(f(eta), eta))-.2500000000*S*eta*(diff(diff(f(eta), eta), eta)) = 0, diff(diff(theta(eta), eta), eta)-.2500000000*S*(3*theta(eta)+eta*(diff(theta(eta), eta)))-1.0*(diff(f(eta), eta))*theta(eta)+.5*f(eta)*(diff(theta(eta), eta))+.25*theta(eta)+.25*(diff(f(eta), eta)) = 0

(1)

 

# Boundary conditions
    Cond :=f(0) = 0, D(f)(0) = 1, theta(0) = 1, f(1) = S/2,  D(theta)(1) = 0:
#(D(D(f)))(1) = 0:

SVals := [1, 1.2, 1.4, 1.6,1.8]:



for j to numelems(SVals) do
  
        Ans[j] := dsolve(eval([OdeSys, Cond], S = SVals[j]), numeric,
                         output = listprocedure):
end do:
       

interface(rtablesize = 100); interface(displayprecision = 6); Matrix([[Y, Nu, Nu, Nu, Nu, Nu], seq([k, seq([-(eval(diff(theta(eta), eta), Ans[j]))(k)][], j = 1 .. numelems(SVals))], k = 0)]); interface(rtablesize = 10); interface(displayprecision = -1)

Matrix(%id = 36893490264274272116)

(2)
 

 

Download thin_film_base_paper_comparision.mw
fin_base_paper.pdf

Please Wait...