Question: why i can't remove the the denominatore of system?

is work for some equation but sometime is make problem and again make it problem for me where is problem why the denominator of second equation still remain while i want to remove it i times by denominator but still not worked

in my orginal ode i did change the place diff(V(xi),xi)=Omega(xi) maybe make problem ...or not

like this equation but the equation is different

restart

with(PDEtools)

with(plots)

with(plots):

with(DEtools):

undeclare(prime, quiet)

with(LinearAlgebra)

declare(u(x, t), quiet); declare(U(xi), quiet); declare(V(xi), quiet); declare(Omega(xi), quiet)

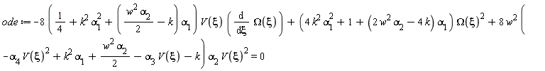
ode := -(8*(1/4+k^2*alpha[1]^2+((1/2)*w^2*alpha[2]-k)*alpha[1]))*V(xi)*(diff(Omega(xi), xi))+(4*k^2*alpha[1]^2+1+(2*w^2*alpha[2]-4*k)*alpha[1])*Omega(xi)^2+8*w^2*(-alpha[4]*V(xi)^2+k^2*alpha[1]+(1/2)*w^2*alpha[2]-alpha[3]*V(xi)-k)*alpha[2]*V(xi)^2 = 0

-8*(1/4+k^2*alpha[1]^2+((1/2)*w^2*alpha[2]-k)*alpha[1])*V(xi)*(diff(Omega(xi), xi))+(4*k^2*alpha[1]^2+1+(2*w^2*alpha[2]-4*k)*alpha[1])*Omega(xi)^2+8*w^2*(-alpha[4]*V(xi)^2+k^2*alpha[1]+(1/2)*w^2*alpha[2]-alpha[3]*V(xi)-k)*alpha[2]*V(xi)^2 = 0

(1)

NULL

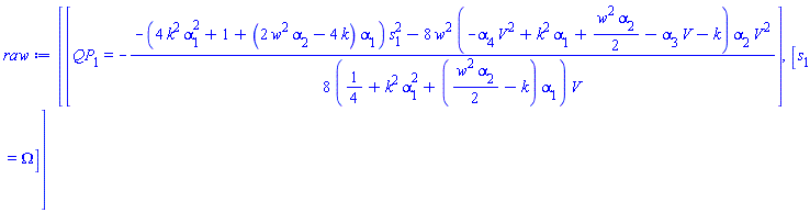
raw := DEtools[convertsys]({ode}, {}, Omega(xi), xi, s, QP, QP)[1..2];

[[QP[1] = -(1/8)*(-(4*k^2*alpha[1]^2+1+(2*w^2*alpha[2]-4*k)*alpha[1])*s[1]^2-8*w^2*(-alpha[4]*V(xi)^2+k^2*alpha[1]+(1/2)*w^2*alpha[2]-alpha[3]*V(xi)-k)*alpha[2]*V(xi)^2)/((1/4+k^2*alpha[1]^2+((1/2)*w^2*alpha[2]-k)*alpha[1])*V(xi))], [s[1] = Omega(xi)]]

(2)

Extract the denominator and scale the right hand sides by it

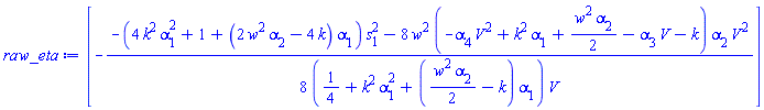
den:=denom(eval(QP[2],raw[1]));
raw_eta:=map(q->rhs(q)*den,raw[1]);

1

 

[-(1/8)*(-(4*k^2*alpha[1]^2+1+(2*w^2*alpha[2]-4*k)*alpha[1])*s[1]^2-8*w^2*(-alpha[4]*V(xi)^2+k^2*alpha[1]+(1/2)*w^2*alpha[2]-alpha[3]*V(xi)-k)*alpha[2]*V(xi)^2)/((1/4+k^2*alpha[1]^2+((1/2)*w^2*alpha[2]-k)*alpha[1])*V(xi))]

(3)

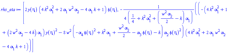
Back to the real transformed variables, which are now in terms of eta.

rhs_eta := eval(raw_eta, {s[1] = phi(eta), s[2] = y(eta)})

[2*y(eta)*(4*k^2*alpha[1]^2+2*w^2*alpha[1]*alpha[2]-4*k*alpha[1]+1)*phi(eta), -(1/4)*(-(4*k^2*alpha[1]^2+1+(2*w^2*alpha[2]-4*k)*alpha[1])*y(eta)^2-8*w^2*(-alpha[4]*phi(eta)^2+k^2*alpha[1]+(1/2)*w^2*alpha[2]-alpha[3]*phi(eta)-k)*alpha[2]*phi(eta)^2)*(4*k^2*alpha[1]^2+2*w^2*alpha[1]*alpha[2]-4*k*alpha[1]+1)/(1/4+k^2*alpha[1]^2+((1/2)*w^2*alpha[2]-k)*alpha[1])]

(4)

Find equilibrium points - one is at the origin; the others are a complicated mess.

equilibria := [solve(rhs_eta, {phi(eta), y(eta)}, explicit)]; nops(%)

3

(5)

Eq 9.

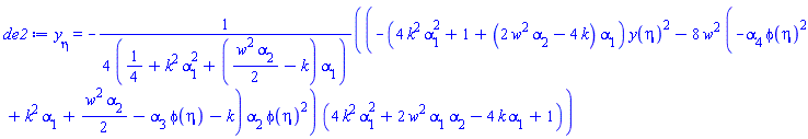
de1 := diff(phi(eta), eta) = rhs_eta[1]; de2 := diff(y(eta), eta) = rhs_eta[2]

diff(phi(eta), eta) = 2*y(eta)*(4*k^2*alpha[1]^2+2*w^2*alpha[1]*alpha[2]-4*k*alpha[1]+1)*phi(eta)

 

diff(y(eta), eta) = -(1/4)*(-(4*k^2*alpha[1]^2+1+(2*w^2*alpha[2]-4*k)*alpha[1])*y(eta)^2-8*w^2*(-alpha[4]*phi(eta)^2+k^2*alpha[1]+(1/2)*w^2*alpha[2]-alpha[3]*phi(eta)-k)*alpha[2]*phi(eta)^2)*(4*k^2*alpha[1]^2+2*w^2*alpha[1]*alpha[2]-4*k*alpha[1]+1)/(1/4+k^2*alpha[1]^2+((1/2)*w^2*alpha[2]-k)*alpha[1])

(6)

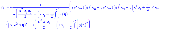
PDEtools:-ConservedCurrents({de1, de2}, [phi(eta), y(eta)]); P1 := -(1/2)*op(1, rhs(op(%)))

[_J[eta](eta, phi(eta), y(eta)) = f__1((1/3)*(2*w^2*alpha[2]*phi(eta)^4*alpha[4]+3*w^2*alpha[2]*phi(eta)^3*alpha[3]-6*(k^2*alpha[1]+(1/2)*w^2*alpha[2]-k)*alpha[2]*w^2*phi(eta)^2+3*((1/2)*w^2*alpha[1]*alpha[2]+(k*alpha[1]-1/2)^2)*y(eta)^2)/(((1/2)*w^2*alpha[1]*alpha[2]+(k*alpha[1]-1/2)^2)*phi(eta)), (1/2)*3^(1/2)*Intat(1/((-96*(-(1/3)*w^2*alpha[2]*phi(eta)^4*alpha[4]-(1/2)*w^2*alpha[2]*phi(eta)^3*alpha[3]+(k^2*alpha[1]+(1/2)*w^2*alpha[2]-k)*alpha[2]*w^2*phi(eta)^2-_a*(k^2*alpha[1]+(1/2)*w^2*alpha[2]-(1/3)*_a^2*alpha[4]-(1/2)*_a*alpha[3]-k)*w^2*alpha[2]*phi(eta)-(1/2)*((1/2)*w^2*alpha[1]*alpha[2]+(k*alpha[1]-1/2)^2)*y(eta)^2)*_a*((1/2)*w^2*alpha[1]*alpha[2]+(k*alpha[1]-1/2)^2)/phi(eta))^(1/2)*_a), _a = phi(eta))+eta)]

 

-(1/6)*(2*w^2*alpha[2]*phi(eta)^4*alpha[4]+3*w^2*alpha[2]*phi(eta)^3*alpha[3]-6*(k^2*alpha[1]+(1/2)*w^2*alpha[2]-k)*alpha[2]*w^2*phi(eta)^2+3*((1/2)*w^2*alpha[1]*alpha[2]+(k*alpha[1]-1/2)^2)*y(eta)^2)/(((1/2)*w^2*alpha[1]*alpha[2]+(k*alpha[1]-1/2)^2)*phi(eta))

(7)

NULL

Download make_system.mw

Please Wait...