Question: 95% of memory occupied and several hours

Objective: Solve a system of two equations.

Obstacle: Generating these two equations depends on millions of previous combinations as well as derivatives.

In other words, we've reached the maximum limit that Maple on my computer can handle.

What would be better, to leave the equations aside or to upgrade my computer?

restart

with(plots)

with(linalg)

H01 := -gamma11*S11-gamma12*S12-gamma13*S13-gamma14*S14-gamma15*S15-gamma16*S16-gamma17*S17-gamma18*S18-gamma19*S19-gamma110*S110-gamma111*S111-gamma112*S112-eta1*(S11^2+S110^2+S111^2+S112^2+S12^2+S13^2+S14^2+S15^2+S16^2+S17^2+S18^2+S19^2)-J1*(S11*S12+S12*S13+S13*S14+S14*S18+S18*S112+S112*S111+S111*S110+S110*S19+S19*S15+S15*S11+S16*(S12+S110+S15+S17)+S17*(S113+S111+S18))

H02 := -gamma21*S21-gamma22*S22-gamma23*S23-gamma24*S24-gamma25*S25-gamma26*S26-gamma27*S27-gamma28*S28-gamma29*S29-gamma210*S210-gamma211*S211-gamma212*S212-eta2*(S21^2+S210^2+S211^2+S212^2+S22^2+S23^2+S24^2+S25^2+S26^2+S27^2+S28^2+S29^2)-J1*(S21*S22+S22*S23+S23*S24+S24*S28+S28*S212+S212*S211+S211*S210+S210*S29+S29*S25+S25*S21+S26*(S22+S210+S25+S27)+S27*(S213+S211+S28))

Z01 := exp(-beta*H01)

Z01 := add(add(add(add(add(add(add(add(add(add(add(add(Z01, S11 = [-2, -1, 0, 1, 2]), S12 = [-2, -1, 0, 1, 2]), S13 = [-2, -1, 0, 1, 2]), S14 = [-2, -1, 0, 1, 2]), S15 = [-2, -1, 0, 1, 2]), S16 = [-2, -1, 0, 1, 2]), S17 = [-2, -1, 0, 1, 2]), S18 = [-2, -1, 0, 1, 2]), S19 = [-2, -1, 0, 1, 2]), S110 = [-2, -1, 0, 1, 2]), S111 = [-2, -1, 0, 1, 2]), S112 = [-2, -1, 0, 1, 2])

NULL

Z02 := exp(-beta*H02)

Z02 := add(add(add(add(add(add(add(add(add(add(add(add(Z02, S21 = [-2, -1, 0, 1, 2]), S22 = [-2, -1, 0, 1, 2]), S23 = [-2, -1, 0, 1, 2]), S24 = [-2, -1, 0, 1, 2]), S25 = [-2, -1, 0, 1, 2]), S26 = [-2, -1, 0, 1, 2]), S27 = [-2, -1, 0, 1, 2]), S28 = [-2, -1, 0, 1, 2]), S29 = [-2, -1, 0, 1, 2]), S210 = [-2, -1, 0, 1, 2]), S211 = [-2, -1, 0, 1, 2]), S212 = [-2, -1, 0, 1, 2])

NULL

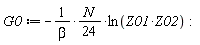
G0 := -(1/24)*N*ln(Z01*Z02)/beta

NULL

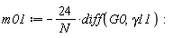
m01 := -24*(diff(G0, gamma11))/N

m02 := -24*(diff(G0, gamma21))/N

NULL

beta := 11.605/T; gamma11 := 2*J1*m1+2*J2*m2; eta1 := Delta; gamma21 := 2*J1*m2+2*J2*m1; eta2 := Delta; gamma12 := J1*m1+2*J2*m2; gamma22 := J1*m2+2*J2*m1; gamma13 := J1*m1+2*J2*m2; gamma23 := J1*m2+2*J2*m1; gamma14 := 2*J1*m1+2*J2*m2; gamma24 := 2*J1*m2+2*J2*m1; gamma15 := J1*m1+2*J2*m2; gamma25 := J1*m2+2*J2*m1; gamma16 := 2*J2*m2; gamma26 := 2*J2*m1; gamma17 := 2*J2*m2; gamma27 := 2*J2*m1; gamma18 := J1*m1+2*J2*m2; gamma28 := J1*m2+2*J2*m1; gamma19 := 2*J1*m1+2*J2*m2; gamma29 := 2*J1*m2+2*J2*m1; gamma110 := J1*m1+2*J2*m2; gamma210 := J1*m2+2*J2*m1; gamma111 := J1*m1+2*J2*m2; gamma211 := J1*m2+2*J2*m1; gamma112 := 2*J1*m1+2*J2*m2; gamma212 := 2*J1*m2+2*J2*m1

NULL

eq1 := m1 = m01

eq2 := m2 = m02

fsolve(subs(J1 = 2*.83, N = 1, J2 = -2*.58, Delta = 0, m1 = 0.1e-1, {eq1, eq2}), {T, m2}, T = 0 .. 220, m2 = -.1 .. .1)

fsolve(subs(J1 = 2*.83, N = 1, J2 = -2*.58, T = 1, Delta = 0, {eq1, eq2}), {m1, m2}, m1 = -5 .. 5, m2 = -5 .. 5)

{m1 = 2.000000000, m2 = -2.000000000}

(1)

NULL

Download Maple_forum_test.mw

Please Wait...