Carl Love

Carl Love

28070 Reputation

25 Badges

13 years, 27 days
Himself
Wayland, Massachusetts, United States
My name was formerly Carl Devore.

MaplePrimes Activity


These are replies submitted by Carl Love

How about showing some example plots where you have done this, ones where you think that you did an especially good job?

Also, I do not get an error message when trying to plot your first example.

@Manny08 Yes, the RREF is the key to it all. So how do you input the matrix into Maple and compute the RREF? We've done this before.

This question is nearly identical to a question that you asked two weeks ago, http://www.mapleprimes.com/questions/145068-How-Do-I-Find-Out-If-A-Matrix-Is-Linearly, and that I answered. Even the vectors are the same. What have you learned from your previous questions and their answers on this list? Can you describe the steps by which you would solve this problem without Maple? I am willing to help you step by step, but I won't just give you the answer.

In other words, I believe that what you want is essentially the ability to format code comments using Maple's significant document formatting ability. Another way of looking at it: Instead of a document with embedded code regions, you'd like a long piece of code with embedded document regions. It sounds like a great idea. For years I've wanted an alternative to plaintext comments. 

@wb_jerry Your message was perfectly clear. I encountered the same problem myself, and I thought that that may have been your reason. I think that I have found a way around the problem. I will post it soon.

@wb_jerry Your message was perfectly clear. I encountered the same problem myself, and I thought that that may have been your reason. I think that I have found a way around the problem. I will post it soon.

@Markiyan Hirnyk Using additionally causes yet another copy of the variable to be made. I don't know if this is a bug or the intended behavior. If it was intended, I can't see any good reason for it. I hope the following examples provide understanding. Most interesting is that all copies end up with the same assumptions. For more understanding, procedures assume and additionally are written in Maple.

restart;
x0:= x:
assume(x>1);
x1:= x:
x1-x0;
                               0
additionally(x>2);
x2:= x;
                               x~
x1-x2;
                             x~ - x~
x0-x1;
                             x~ - x~
x0-x2;
                               0
ToInert(x0);
          _Inert_LOCALNAME("x~", 18446744073905239102)
ToInert(x1);
          _Inert_LOCALNAME("x~", 18446744073903233086)
ToInert(x2);
          _Inert_LOCALNAME("x~", 18446744073905239102)
about(x0);
Originally x, renamed x~:
  is assumed to be: RealRange(Open(2),infinity)

about(x1);
Originally x, renamed x~:
  is assumed to be: RealRange(Open(2),infinity)

about(x2);
Originally x, renamed x~:
  is assumed to be: RealRange(Open(2),infinity)


@Markiyan Hirnyk Using additionally causes yet another copy of the variable to be made. I don't know if this is a bug or the intended behavior. If it was intended, I can't see any good reason for it. I hope the following examples provide understanding. Most interesting is that all copies end up with the same assumptions. For more understanding, procedures assume and additionally are written in Maple.

restart;
x0:= x:
assume(x>1);
x1:= x:
x1-x0;
                               0
additionally(x>2);
x2:= x;
                               x~
x1-x2;
                             x~ - x~
x0-x1;
                             x~ - x~
x0-x2;
                               0
ToInert(x0);
          _Inert_LOCALNAME("x~", 18446744073905239102)
ToInert(x1);
          _Inert_LOCALNAME("x~", 18446744073903233086)
ToInert(x2);
          _Inert_LOCALNAME("x~", 18446744073905239102)
about(x0);
Originally x, renamed x~:
  is assumed to be: RealRange(Open(2),infinity)

about(x1);
Originally x, renamed x~:
  is assumed to be: RealRange(Open(2),infinity)

about(x2);
Originally x, renamed x~:
  is assumed to be: RealRange(Open(2),infinity)


@Markiyan Hirnyk Hey! That's no way to talk to a student who's trying to learn Maple---especially one who has clearly made a substantial and good-faith effort at doing her own homework before posting.

I discovered another bug. This is about the spacing of indented paragraphs. Go to the recent Question "Problem with assume and solve" and read my Answer "Working with assumed variables". Read it with both Internet Explorer 10.0.03 and Firefox 20.0. Notice the difference in the spacing of the indented paragraphs. This was done with the old editor. I was not able to close up the spaces like I used to be able to do.

The "Sorry, something went wrong" bug is not limited to moderators. I made a test account and tested that.

So far, I've been able to workaround thus:

  1. Post a one-line stub Reply/Answer/Comment with Microsoft Internet Explorer 10.
  2. Edit that stub in FireFox 19.

Posting full-length in IE can provoke the bug.

Oft times, I cannot even post a stub with FireFox.

So, it's a two-browser workaround.

@Christopher2222

I don't think that that's a factor. I have encountered the bug while posting to some "stale" threads, ones where I think that it's unlikely that there would be simultaneous posters. Also, I have encountered the bug multiple times in the same thread, but spread out over several hours.

@Markiyan Hirnyk 

Certainly I will explain, thus:

restart; assume(H > 0);

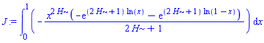
J := int(int(x^(2*H)*abs(x-y)^(2*H), y = 0 .. 1), x = 0 .. 1);

int(-x^(2*H)*(-exp((2*H+1)*ln(x))-exp((2*H+1)*ln(1-x)))/(2*H+1), x = 0 .. 1)

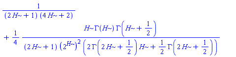
expand(J);

1/((2*H+1)*(4*H+2))+(1/4)*H*GAMMA(H)*GAMMA(H+1/2)/((2*H+1)*(2^H)^2*(2*GAMMA(2*H+1/2)*H+(1/2)*GAMMA(2*H+1/2)))

 

Download expand_Int.mw

@Markiyan Hirnyk 

Certainly I will explain, thus:

restart; assume(H > 0);

J := int(int(x^(2*H)*abs(x-y)^(2*H), y = 0 .. 1), x = 0 .. 1);

int(-x^(2*H)*(-exp((2*H+1)*ln(x))-exp((2*H+1)*ln(1-x)))/(2*H+1), x = 0 .. 1)

expand(J);

1/((2*H+1)*(4*H+2))+(1/4)*H*GAMMA(H)*GAMMA(H+1/2)/((2*H+1)*(2^H)^2*(2*GAMMA(2*H+1/2)*H+(1/2)*GAMMA(2*H+1/2)))

 

Download expand_Int.mw

First 674 675 676 677 678 679 680 Last Page 676 of 709