Carl Love

Carl Love

28070 Reputation

25 Badges

13 years, 34 days
Himself
Wayland, Massachusetts, United States
My name was formerly Carl Devore.

MaplePrimes Activity


These are replies submitted by Carl Love

@deniscr Obviously my Answer can't be applied to the a=b case. I should've said something about that in my Answer.

Yes, SolveTools:-SemiAlgebraic is often extremely slow.

@Moh Huda I am a mathematician, not an oncologist, so I can only offer some guesses to answer your questions.

1. Why after around 75 mg/day chemo infusion the immun infusion rate do not have any effects?

Because the higher chemo doses kill too many of the immune cells.

2. Also for the time cured, why in the long term after 10^3, the immuno rate infusion for s_inf=7*10^5 behaves weird (comparison plot 5a and 5b)?

At the higher infusion rate, the cure is in under 3000 days (approx.). That explains the tail on the right in 5b. Since they're cured, the amount of time on chemo is reduced, so total amount of drugs used D__chemo is reduced. That explains the tail on the left in 5a.

Does that make sense?

@Mac Dude But there are nontrivial solutions, for example 

{j= 1, m= 1, a= 1, b= -1, z=1, t= 1, x= -1, y= 0}

@tomleslie You are a Moderator of MaplePrimes. You have the power to convert Posts to Questions or to edit them in any other way. Please use that power; it only takes 10-15 seconds. Chastising the user also is okay in addition to editing.

@Moh Huda 

It's not possible that the error message that you showed came directly from the worksheet that I posted. It looks like you (probably unintentionally) changed the line c1 = 5e-11 to c1, 5e-11. Anyway, here's a much-updated version of the worksheet. By using method= rosenbrock, I was able to duplicate the curves from the paper in every visual detail.

Let me know how it goes!
 

Computations for "A mathematical model for chemoimmunotherapy of chronic lymphocytic leukemia"

Maple worksheet author: Carl Love <carl.j.love@gmail.com> 18-Aug-2019

restart
:

Digits:= 15: #best value for most purposes, IMO

local gamma: #Avoid potential conflict with Maple's predefined gamma constant.
#

#Numeric values of IVP parameters from the paper:
#
params:= [
# symbol    value    description                                         units
#------------------------------------------------------------------------------------
   r      = 1e-2,  #cancer growth rate                                   /day
   k      = 1e12,  #max possible cancer cells                            cell   
   c__1   = 5e-11, #interaction coefficient affecting cancer cells       /cell/day
   c__2   = 1e-13, #interaction coefficient affecting immune cells       /cell/day
   mu     = 8,     #death rate of cancer cells from chemo                /day
   lambda = 4.16,  #drug elimination rate                                /day             
   a      = 2e3,   #half-max drug to kill cancer                         mg
   s__0   = 3e5,   #normal immune cell influx                            cell/day
   d      = 1e-3,  #normal immune cell death rate                        /day
   rho    = 1e-12, #cancer-stimulated immune cell production rate        /day
   gamma  = 1e2,   #number cancer cells for half-max immune response     cell
   delta  = 1e4,   #death rate of immune cells from chemo                /day
   b      = 5e6,   #half-max drug to kill immune cells                   mg
   N__0   = 2e10,  #initial cancer cells                                 cell
   P__0   = 5e7,   #initial immune cells                                 cell
   #substitute symbolic parameters to represent constant input functions:
   s(t)   = s__inf,#immunotherapty rate                                  cell/day
   q(t)   = q__inf #chemotherapy rate                                    mg/day
]:
t__max   := 3e4:   #max integration time                                 day
N__inf   := 0.5:   #number of cancer cells remaining for patient to be    
                   #considered cured:                                     cell
#

#Complete ODE-IVP system:
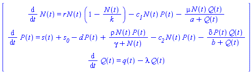
ODEs:=
   #(Eq. 1) N(t) = number of cancer cells at time t (day):
   diff(N(t),t) = r*N(t)*(1 - N(t)/k) - c__1*N(t)*P(t) - mu*N(t)*Q(t)/(a + Q(t)),

   #(Eq. 2) P(t) = number of immume cells at time t (day):
   diff(P(t),t) =
      s(t) + s__0 - d*P(t) + rho*N(t)*P(t)/(gamma + N(t)) - c__2*N(t)*P(t) -
      delta*P(t)*Q(t)/(b + Q(t)),
   
   #(Eq. 3) = amount of chemo drug (mg) in body at time t (day):
   diff(Q(t),t) = q(t) - lambda*Q(t)
:
#Initial conditions: Q(0) = 0, always, because the total amount of chemo in the patient
#starts at 0:
ICs:= N(0) = N__0, P(0) = P__0, Q(0) = 0:
#

<ODEs>; #This line is just to display the ODEs prettyprinted.

Vector(3, {(1) = diff(N(t), t) = r*N(t)*(1-N(t)/k)-`#msub(mi("c"),mi("1"))`*N(t)*P(t)-mu*N(t)*Q(t)/(a+Q(t)), (2) = diff(P(t), t) = s(t)+`#msub(mi("s"),mi("0"))`-d*P(t)+rho*N(t)*P(t)/(gamma+N(t))-`#msub(mi("c"),mi("2"))`*N(t)*P(t)-delta*P(t)*Q(t)/(b+Q(t)), (3) = diff(Q(t), t) = q(t)-lambda*Q(t)})

dsol:= dsolve(
   eval({ODEs, ICs}, params), 'numeric',
   'parameters'= [s__inf, q__inf],
   #Halt at time of cure, i.e., number of cancer cells = N__inf.
   'events'= [[N(t)-N__inf, 'halt']],
   'abserr'= 1e-1, 'relerr'= 1e-13,
   #Using 'events', available methods are rkf45, ck45, and rosenbrock. Rosenbrock works
   #over a wider variety of parameter values for this problem.
   'method'= 'rosenbrock'
);

proc (x_rosenbrock) local _res, _dat, _vars, _solnproc, _xout, _ndsol, _pars, _n, _i; option `Copyright (c) 2000 by Waterloo Maple Inc. All rights reserved.`; if 1 < nargs then error "invalid input: too many arguments" end if; _EnvDSNumericSaveDigits := Digits; Digits := 15; if _EnvInFsolve = true then _xout := evalf[_EnvDSNumericSaveDigits](x_rosenbrock) else _xout := evalf(x_rosenbrock) end if; _dat := Array(1..4, {(1) = proc (_xin) local _xout, _dtbl, _dat, _vmap, _x0, _y0, _val, _dig, _n, _ne, _nd, _nv, _pars, _ini, _par, _i, _j, _k, _src; option `Copyright (c) 2002 by Waterloo Maple Inc. All rights reserved.`; table( [( "complex" ) = false ] ) _xout := _xin; _pars := [s__inf = s__inf, q__inf = q__inf]; _dtbl := array( 1 .. 4, [( 1 ) = (array( 1 .. 26, [( 1 ) = (datatype = float[8], order = C_order, storage = rectangular), ( 2 ) = (datatype = float[8], order = C_order, storage = rectangular), ( 3 ) = ([Array(1..2, 1..21, {(1, 1) = 1.0, (1, 2) = .0, (1, 3) = 1.0, (1, 4) = .0, (1, 5) = .0, (1, 6) = .0, (1, 7) = 1.0, (1, 8) = undefined, (1, 9) = undefined, (1, 10) = undefined, (1, 11) = undefined, (1, 12) = undefined, (1, 13) = undefined, (1, 14) = undefined, (1, 15) = undefined, (1, 16) = undefined, (1, 17) = undefined, (1, 18) = undefined, (1, 19) = undefined, (1, 20) = undefined, (1, 21) = undefined, (2, 1) = 1.0, (2, 2) = .0, (2, 3) = 100.0, (2, 4) = .0, (2, 5) = .0, (2, 6) = .0, (2, 7) = .0, (2, 8) = undefined, (2, 9) = undefined, (2, 10) = 0.10e-12, (2, 11) = undefined, (2, 12) = .0, (2, 13) = undefined, (2, 14) = .0, (2, 15) = .0, (2, 16) = undefined, (2, 17) = undefined, (2, 18) = undefined, (2, 19) = undefined, (2, 20) = undefined, (2, 21) = undefined}, datatype = float[8], order = C_order), proc (t, Y, Ypre, n, EA) EA[1, 7+2*n] := Y[1]-.5; EA[1, 8+2*n] := 1; 0 end proc, proc (e, t, Y, Ypre) return 0 end proc, Array(1..1, 1..2, {(1, 1) = undefined, (1, 2) = undefined}, datatype = float[8], order = C_order)]), ( 4 ) = (Array(1..63, {(1) = 3, (2) = 3, (3) = 0, (4) = 0, (5) = 2, (6) = 0, (7) = 0, (8) = 0, (9) = 0, (10) = 0, (11) = 0, (12) = 0, (13) = 0, (14) = 0, (15) = 0, (16) = 1, (17) = 0, (18) = 0, (19) = 30000, (20) = 0, (21) = 0, (22) = 2, (23) = 3, (24) = 0, (25) = 1, (26) = 15, (27) = 1, (28) = 0, (29) = 1, (30) = 3, (31) = 3, (32) = 0, (33) = 2, (34) = 0, (35) = 0, (36) = 0, (37) = 0, (38) = 0, (39) = 0, (40) = 0, (41) = 0, (42) = 0, (43) = 1, (44) = 0, (45) = 0, (46) = 0, (47) = 0, (48) = 0, (49) = 0, (50) = 50, (51) = 1, (52) = 0, (53) = 0, (54) = 0, (55) = 0, (56) = 0, (57) = 0, (58) = 0, (59) = 10000, (60) = 0, (61) = 1000, (62) = 0, (63) = 0}, datatype = integer[8])), ( 5 ) = (Array(1..28, {(1) = .0, (2) = 0.10e-12, (3) = .0, (4) = 0.500001e-14, (5) = .0, (6) = .0, (7) = .0, (8) = 0.10e-12, (9) = .0, (10) = .0, (11) = .0, (12) = .0, (13) = 1.0, (14) = .0, (15) = .49999999999999, (16) = .0, (17) = 1.0, (18) = 1.0, (19) = .0, (20) = .0, (21) = 1.0, (22) = 1.0, (23) = .0, (24) = .0, (25) = 0.10e-14, (26) = .0, (27) = .0, (28) = .0}, datatype = float[8], order = C_order)), ( 6 ) = (Array(1..5, {(1) = 0.2e11, (2) = 0.5e8, (3) = 0., (4) = Float(undefined), (5) = Float(undefined)})), ( 7 ) = ([Array(1..4, 1..7, {(1, 1) = .0, (1, 2) = .203125, (1, 3) = .3046875, (1, 4) = .75, (1, 5) = .8125, (1, 6) = .40625, (1, 7) = .8125, (2, 1) = 0.6378173828125e-1, (2, 2) = .0, (2, 3) = .279296875, (2, 4) = .27237892150878906, (2, 5) = -0.9686851501464844e-1, (2, 6) = 0.1956939697265625e-1, (2, 7) = .5381584167480469, (3, 1) = 0.31890869140625e-1, (3, 2) = .0, (3, 3) = -.34375, (3, 4) = -.335235595703125, (3, 5) = .2296142578125, (3, 6) = .41748046875, (3, 7) = 11.480712890625, (4, 1) = 0.9710520505905151e-1, (4, 2) = .0, (4, 3) = .40350341796875, (4, 4) = 0.20297467708587646e-1, (4, 5) = -0.6054282188415527e-2, (4, 6) = -0.4770040512084961e-1, (4, 7) = .77858567237854}, datatype = float[8], order = C_order), Array(1..6, 1..6, {(1, 1) = .0, (1, 2) = .0, (1, 3) = .0, (1, 4) = .0, (1, 5) = .0, (1, 6) = 1.0, (2, 1) = .25, (2, 2) = .0, (2, 3) = .0, (2, 4) = .0, (2, 5) = .0, (2, 6) = 1.0, (3, 1) = .1875, (3, 2) = .5625, (3, 3) = .0, (3, 4) = .0, (3, 5) = .0, (3, 6) = 2.0, (4, 1) = .23583984375, (4, 2) = -.87890625, (4, 3) = .890625, (4, 4) = .0, (4, 5) = .0, (4, 6) = .2681884765625, (5, 1) = .1272735595703125, (5, 2) = -.5009765625, (5, 3) = .44921875, (5, 4) = -0.128936767578125e-1, (5, 5) = .0, (5, 6) = 0.626220703125e-1, (6, 1) = -0.927734375e-1, (6, 2) = .626220703125, (6, 3) = -.4326171875, (6, 4) = .1418304443359375, (6, 5) = -0.861053466796875e-1, (6, 6) = .3131103515625}, datatype = float[8], order = C_order), Array(1..6, {(1) = .0, (2) = .386, (3) = .21, (4) = .63, (5) = 1.0, (6) = 1.0}, datatype = float[8], order = C_order), Array(1..6, {(1) = .25, (2) = -.1043, (3) = .1035, (4) = -0.362e-1, (5) = .0, (6) = .0}, datatype = float[8], order = C_order), Array(1..6, 1..5, {(1, 1) = .0, (1, 2) = .0, (1, 3) = .0, (1, 4) = .0, (1, 5) = .0, (2, 1) = 1.544, (2, 2) = .0, (2, 3) = .0, (2, 4) = .0, (2, 5) = .0, (3, 1) = .9466785280815533, (3, 2) = .25570116989825814, (3, 3) = .0, (3, 4) = .0, (3, 5) = .0, (4, 1) = 3.3148251870684886, (4, 2) = 2.896124015972123, (4, 3) = .9986419139977808, (4, 4) = .0, (4, 5) = .0, (5, 1) = 1.2212245092262748, (5, 2) = 6.019134481287752, (5, 3) = 12.537083329320874, (5, 4) = -.687886036105895, (5, 5) = .0, (6, 1) = 1.2212245092262748, (6, 2) = 6.019134481287752, (6, 3) = 12.537083329320874, (6, 4) = -.687886036105895, (6, 5) = 1.0}, datatype = float[8], order = C_order), Array(1..6, 1..5, {(1, 1) = .0, (1, 2) = .0, (1, 3) = .0, (1, 4) = .0, (1, 5) = .0, (2, 1) = -5.6688, (2, 2) = .0, (2, 3) = .0, (2, 4) = .0, (2, 5) = .0, (3, 1) = -2.4300933568337584, (3, 2) = -.20635991570891224, (3, 3) = .0, (3, 4) = .0, (3, 5) = .0, (4, 1) = -.10735290581452621, (4, 2) = -9.594562251021896, (4, 3) = -20.470286148096154, (4, 4) = .0, (4, 5) = .0, (5, 1) = 7.496443313968615, (5, 2) = -10.246804314641219, (5, 3) = -33.99990352819906, (5, 4) = 11.708908932061595, (5, 5) = .0, (6, 1) = 8.083246795922411, (6, 2) = -7.981132988062785, (6, 3) = -31.52159432874373, (6, 4) = 16.319305431231363, (6, 5) = -6.0588182388340535}, datatype = float[8], order = C_order), Array(1..3, 1..5, {(1, 1) = .0, (1, 2) = .0, (1, 3) = .0, (1, 4) = .0, (1, 5) = .0, (2, 1) = 10.126235083446911, (2, 2) = -7.487995877607633, (2, 3) = -34.800918615557414, (2, 4) = -7.9927717075687275, (2, 5) = 1.0251377232956207, (3, 1) = -.6762803392806898, (3, 2) = 6.087714651678606, (3, 3) = 16.43084320892463, (3, 4) = 24.767225114183653, (3, 5) = -6.5943891257167815}, datatype = float[8], order = C_order)]), ( 9 ) = ([Array(1..3, {(1) = 0.10e13, (2) = 0.10e13, (3) = 0.10e13}, datatype = float[8], order = C_order), Array(1..3, {(1) = .0, (2) = .0, (3) = .0}, datatype = float[8], order = C_order), Array(1..3, {(1) = .0, (2) = .0, (3) = .0}, datatype = float[8], order = C_order), Array(1..3, {(1) = .0, (2) = .0, (3) = .0}, datatype = float[8], order = C_order), Array(1..3, {(1) = .0, (2) = .0, (3) = .0}, datatype = float[8], order = C_order), Array(1..3, 1..3, {(1, 1) = .0, (1, 2) = .0, (1, 3) = .0, (2, 1) = .0, (2, 2) = .0, (2, 3) = .0, (3, 1) = .0, (3, 2) = .0, (3, 3) = .0}, datatype = float[8], order = C_order), Array(1..3, 1..3, {(1, 1) = .0, (1, 2) = .0, (1, 3) = .0, (2, 1) = .0, (2, 2) = .0, (2, 3) = .0, (3, 1) = .0, (3, 2) = .0, (3, 3) = .0}, datatype = float[8], order = C_order), Array(1..3, {(1) = .0, (2) = .0, (3) = .0}, datatype = float[8], order = C_order), Array(1..3, 1..3, {(1, 1) = .0, (1, 2) = .0, (1, 3) = .0, (2, 1) = .0, (2, 2) = .0, (2, 3) = .0, (3, 1) = .0, (3, 2) = .0, (3, 3) = .0}, datatype = float[8], order = C_order), Array(1..3, 1..6, {(1, 1) = .0, (1, 2) = .0, (1, 3) = .0, (1, 4) = .0, (1, 5) = .0, (1, 6) = .0, (2, 1) = .0, (2, 2) = .0, (2, 3) = .0, (2, 4) = .0, (2, 5) = .0, (2, 6) = .0, (3, 1) = .0, (3, 2) = .0, (3, 3) = .0, (3, 4) = .0, (3, 5) = .0, (3, 6) = .0}, datatype = float[8], order = C_order), Array(1..3, {(1) = 0, (2) = 0, (3) = 0}, datatype = integer[8]), Array(1..5, {(1) = .0, (2) = .0, (3) = .0, (4) = .0, (5) = .0}, datatype = float[8], order = C_order), Array(1..5, {(1) = .0, (2) = .0, (3) = .0, (4) = .0, (5) = .0}, datatype = float[8], order = C_order), Array(1..5, {(1) = .0, (2) = .0, (3) = .0, (4) = .0, (5) = .0}, datatype = float[8], order = C_order), Array(1..5, {(1) = .0, (2) = .0, (3) = .0, (4) = .0, (5) = .0}, datatype = float[8], order = C_order), Array(1..3, {(1) = .0, (2) = .0, (3) = .0}, datatype = float[8], order = C_order), Array(1..6, {(1) = .0, (2) = .0, (3) = .0, (4) = .0, (5) = .0, (6) = .0}, datatype = float[8], order = C_order), Array(1..3, {(1) = 0, (2) = 0, (3) = 0}, datatype = integer[8])]), ( 8 ) = ([Array(1..5, {(1) = .0, (2) = .0, (3) = .0, (4) = .0, (5) = .0}, datatype = float[8], order = C_order), Array(1..5, {(1) = .0, (2) = .0, (3) = .0, (4) = .0, (5) = .0}, datatype = float[8], order = C_order), Array(1..3, {(1) = .0, (2) = .0, (3) = .0}, datatype = float[8], order = C_order), 0, 0]), ( 11 ) = (Array(1..6, 0..3, {(1, 1) = .0, (1, 2) = .0, (1, 3) = .0, (2, 0) = .0, (2, 1) = .0, (2, 2) = .0, (2, 3) = .0, (3, 0) = .0, (3, 1) = .0, (3, 2) = .0, (3, 3) = .0, (4, 0) = .0, (4, 1) = .0, (4, 2) = .0, (4, 3) = .0, (5, 0) = .0, (5, 1) = .0, (5, 2) = .0, (5, 3) = .0, (6, 0) = .0, (6, 1) = .0, (6, 2) = .0, (6, 3) = .0}, datatype = float[8], order = C_order)), ( 10 ) = ([proc (N, X, Y, YP) option `[Y[1] = N(t), Y[2] = P(t), Y[3] = Q(t)]`; YP[1] := 0.1e-1*Y[1]*(1-0.1e-11*Y[1])-0.5e-10*Y[1]*Y[2]-8*Y[1]*Y[3]/(0.2e4+Y[3]); YP[2] := Y[4]+0.3e6-0.1e-2*Y[2]+0.1e-11*Y[1]*Y[2]/(0.1e3+Y[1])-0.1e-12*Y[1]*Y[2]-0.1e5*Y[2]*Y[3]/(0.5e7+Y[3]); YP[3] := Y[5]-4.16*Y[3]; 0 end proc, proc (X, Y, FX, FY) FX[1 .. 3] := 0; FY[1 .. 3, 1 .. 3] := 0; FY[1, 1] := 0.1e-1-0.2e-13*Y[1]-0.5e-10*Y[2]-8*Y[3]/(0.2e4+Y[3]); FY[2, 1] := 0.1e-11*Y[2]/(0.1e3+Y[1])-0.1e-11*Y[1]*Y[2]/(0.1e3+Y[1])^2-0.1e-12*Y[2]; FY[1, 2] := -0.5e-10*Y[1]; FY[2, 2] := -0.1e-2+0.1e-11*Y[1]/(0.1e3+Y[1])-0.1e-12*Y[1]-0.1e5*Y[3]/(0.5e7+Y[3]); FY[1, 3] := -8*Y[1]/(0.2e4+Y[3])+8*Y[1]*Y[3]/(0.2e4+Y[3])^2; FY[2, 3] := -0.1e5*Y[2]/(0.5e7+Y[3])+0.1e5*Y[2]*Y[3]/(0.5e7+Y[3])^2; FY[3, 3] := -4.16; 0 end proc, 0, 0, 0, 0, proc (t, Y, Ypre, n, EA) EA[1, 7+2*n] := Y[1]-.5; EA[1, 8+2*n] := 1; 0 end proc, proc (e, t, Y, Ypre) return 0 end proc, 0, 0]), ( 13 ) = (), ( 12 ) = (), ( 15 ) = ("rosenbrock"), ( 14 ) = ([0, 0]), ( 18 ) = ([]), ( 19 ) = (0), ( 16 ) = ([0, 0, 0, 0, 0, []]), ( 17 ) = ([proc (N, X, Y, YP) option `[Y[1] = N(t), Y[2] = P(t), Y[3] = Q(t)]`; YP[1] := 0.1e-1*Y[1]*(1-0.1e-11*Y[1])-0.5e-10*Y[1]*Y[2]-8*Y[1]*Y[3]/(0.2e4+Y[3]); YP[2] := Y[4]+0.3e6-0.1e-2*Y[2]+0.1e-11*Y[1]*Y[2]/(0.1e3+Y[1])-0.1e-12*Y[1]*Y[2]-0.1e5*Y[2]*Y[3]/(0.5e7+Y[3]); YP[3] := Y[5]-4.16*Y[3]; 0 end proc, proc (X, Y, FX, FY) FX[1 .. 3] := 0; FY[1 .. 3, 1 .. 3] := 0; FY[1, 1] := 0.1e-1-0.2e-13*Y[1]-0.5e-10*Y[2]-8*Y[3]/(0.2e4+Y[3]); FY[2, 1] := 0.1e-11*Y[2]/(0.1e3+Y[1])-0.1e-11*Y[1]*Y[2]/(0.1e3+Y[1])^2-0.1e-12*Y[2]; FY[1, 2] := -0.5e-10*Y[1]; FY[2, 2] := -0.1e-2+0.1e-11*Y[1]/(0.1e3+Y[1])-0.1e-12*Y[1]-0.1e5*Y[3]/(0.5e7+Y[3]); FY[1, 3] := -8*Y[1]/(0.2e4+Y[3])+8*Y[1]*Y[3]/(0.2e4+Y[3])^2; FY[2, 3] := -0.1e5*Y[2]/(0.5e7+Y[3])+0.1e5*Y[2]*Y[3]/(0.5e7+Y[3])^2; FY[3, 3] := -4.16; 0 end proc, 0, 0, 0, 0, proc (t, Y, Ypre, n, EA) EA[1, 7+2*n] := Y[1]-.5; EA[1, 8+2*n] := 1; 0 end proc, proc (e, t, Y, Ypre) return 0 end proc, 0, 0]), ( 22 ) = (0), ( 23 ) = (0), ( 20 ) = ([]), ( 21 ) = (0), ( 26 ) = (Array(1..0, {})), ( 25 ) = (Array(1..0, {})), ( 24 ) = (0)  ] ))  ] ); _y0 := Array(0..5, {(1) = 0., (2) = 0.2e11, (3) = 0.5e8, (4) = 0., (5) = undefined}); _vmap := array( 1 .. 3, [( 1 ) = (1), ( 2 ) = (2), ( 3 ) = (3)  ] ); _x0 := _dtbl[1][5][5]; _n := _dtbl[1][4][1]; _ne := _dtbl[1][4][3]; _nd := _dtbl[1][4][4]; _nv := _dtbl[1][4][16]; if not type(_xout, 'numeric') then if member(_xout, ["start", "left", "right"]) then if _Env_smart_dsolve_numeric = true or _dtbl[1][4][10] = 1 then if _xout = "left" then if type(_dtbl[2], 'table') then return _dtbl[2][5][1] end if elif _xout = "right" then if type(_dtbl[3], 'table') then return _dtbl[3][5][1] end if end if end if; return _dtbl[1][5][5] elif _xout = "method" then return _dtbl[1][15] elif _xout = "storage" then return evalb(_dtbl[1][4][10] = 1) elif _xout = "leftdata" then if not type(_dtbl[2], 'array') then return NULL else return eval(_dtbl[2]) end if elif _xout = "rightdata" then if not type(_dtbl[3], 'array') then return NULL else return eval(_dtbl[3]) end if elif _xout = "enginedata" then return eval(_dtbl[1]) elif _xout = "enginereset" then _dtbl[2] := evaln(_dtbl[2]); _dtbl[3] := evaln(_dtbl[3]); return NULL elif _xout = "initial" then return procname(_y0[0]) elif _xout = "laxtol" then return _dtbl[`if`(member(_dtbl[4], {2, 3}), _dtbl[4], 1)][5][18] elif _xout = "numfun" then return `if`(member(_dtbl[4], {2, 3}), _dtbl[_dtbl[4]][4][18], 0) elif _xout = "parameters" then return [seq(_y0[_n+_i], _i = 1 .. nops(_pars))] elif _xout = "initial_and_parameters" then return procname(_y0[0]), [seq(_y0[_n+_i], _i = 1 .. nops(_pars))] elif _xout = "last" then if _dtbl[4] <> 2 and _dtbl[4] <> 3 or _x0-_dtbl[_dtbl[4]][5][1] = 0. then error "no information is available on last computed point" else _xout := _dtbl[_dtbl[4]][5][1] end if elif _xout = "function" then if _dtbl[1][4][33]-2. = 0 then return eval(_dtbl[1][10], 1) else return eval(_dtbl[1][10][1], 1) end if elif _xout = "map" then return copy(_vmap) elif type(_xin, `=`) and type(rhs(_xin), 'list') and member(lhs(_xin), {"initial", "parameters", "initial_and_parameters"}) then _ini, _par := [], []; if lhs(_xin) = "initial" then _ini := rhs(_xin) elif lhs(_xin) = "parameters" then _par := rhs(_xin) elif select(type, rhs(_xin), `=`) <> [] then _par, _ini := selectremove(type, rhs(_xin), `=`) elif nops(rhs(_xin)) < nops(_pars)+1 then error "insufficient data for specification of initial and parameters" else _par := rhs(_xin)[-nops(_pars) .. -1]; _ini := rhs(_xin)[1 .. -nops(_pars)-1] end if; _xout := lhs(_xout); _i := false; if _par <> [] then _i := `dsolve/numeric/process_parameters`(_n, _pars, _par, _y0) end if; if _ini <> [] then _i := `dsolve/numeric/process_initial`(_n-_ne, _ini, _y0, _pars, _vmap) or _i end if; if _i then `dsolve/numeric/SC/reinitialize`(_dtbl, _y0, _n, procname, _pars); if _Env_smart_dsolve_numeric = true and type(_y0[0], 'numeric') and _dtbl[1][4][10] <> 1 then procname("right") := _y0[0]; procname("left") := _y0[0] end if end if; if _xout = "initial" then return [_y0[0], seq(_y0[_vmap[_i]], _i = 1 .. _n-_ne)] elif _xout = "parameters" then return [seq(_y0[_n+_i], _i = 1 .. nops(_pars))] else return [_y0[0], seq(_y0[_vmap[_i]], _i = 1 .. _n-_ne)], [seq(_y0[_n+_i], _i = 1 .. nops(_pars))] end if elif _xin = "eventstop" then if _nv = 0 then error "this solution has no events" end if; _i := _dtbl[4]; if _i <> 2 and _i <> 3 then return 0 end if; if _dtbl[_i][4][10] = 1 and assigned(_dtbl[5-_i]) and _dtbl[_i][4][9] < 100 and 100 <= _dtbl[5-_i][4][9] then _i := 5-_i; _dtbl[4] := _i; _j := round(_dtbl[_i][4][17]); return round(_dtbl[_i][3][1][_j, 1]) elif 100 <= _dtbl[_i][4][9] then _j := round(_dtbl[_i][4][17]); return round(_dtbl[_i][3][1][_j, 1]) else return 0 end if elif _xin = "eventstatus" then if _nv = 0 then error "this solution has no events" end if; _i := [selectremove(proc (a) options operator, arrow; _dtbl[1][3][1][a, 7] = 1 end proc, {seq(_j, _j = 1 .. round(_dtbl[1][3][1][_nv+1, 1]))})]; return ':-enabled' = _i[1], ':-disabled' = _i[2] elif _xin = "eventclear" then if _nv = 0 then error "this solution has no events" end if; _i := _dtbl[4]; if _i <> 2 and _i <> 3 then error "no events to clear" end if; if _dtbl[_i][4][10] = 1 and assigned(_dtbl[5-_i]) and _dtbl[_i][4][9] < 100 and 100 < _dtbl[5-_i][4][9] then _dtbl[4] := 5-_i; _i := 5-_i end if; if _dtbl[_i][4][9] < 100 then error "no events to clear" elif _nv < _dtbl[_i][4][9]-100 then error "event error condition cannot be cleared" else _j := _dtbl[_i][4][9]-100; if irem(round(_dtbl[_i][3][1][_j, 4]), 2) = 1 then error "retriggerable events cannot be cleared" end if; _j := round(_dtbl[_i][3][1][_j, 1]); for _k to _nv do if _dtbl[_i][3][1][_k, 1] = _j then if _dtbl[_i][3][1][_k, 2] = 3 then error "range events cannot be cleared" end if; _dtbl[_i][3][1][_k, 8] := _dtbl[_i][3][1][_nv+1, 8] end if end do; _dtbl[_i][4][17] := 0; _dtbl[_i][4][9] := 0; if _dtbl[1][4][10] = 1 then if _i = 2 then try procname(procname("left")) catch:  end try else try procname(procname("right")) catch:  end try end if end if end if; return  elif type(_xin, `=`) and member(lhs(_xin), {"eventdisable", "eventenable"}) then if _nv = 0 then error "this solution has no events" end if; if type(rhs(_xin), {('list')('posint'), ('set')('posint')}) then _i := {op(rhs(_xin))} elif type(rhs(_xin), 'posint') then _i := {rhs(_xin)} else error "event identifiers must be integers in the range 1..%1", round(_dtbl[1][3][1][_nv+1, 1]) end if; if select(proc (a) options operator, arrow; _nv < a end proc, _i) <> {} then error "event identifiers must be integers in the range 1..%1", round(_dtbl[1][3][1][_nv+1, 1]) end if; _k := {}; for _j to _nv do if member(round(_dtbl[1][3][1][_j, 1]), _i) then _k := `union`(_k, {_j}) end if end do; _i := _k; if lhs(_xin) = "eventdisable" then _dtbl[4] := 0; _j := [evalb(assigned(_dtbl[2]) and member(_dtbl[2][4][17], _i)), evalb(assigned(_dtbl[3]) and member(_dtbl[3][4][17], _i))]; for _k in _i do _dtbl[1][3][1][_k, 7] := 0; if assigned(_dtbl[2]) then _dtbl[2][3][1][_k, 7] := 0 end if; if assigned(_dtbl[3]) then _dtbl[3][3][1][_k, 7] := 0 end if end do; if _j[1] then for _k to _nv+1 do if _k <= _nv and not type(_dtbl[2][3][4][_k, 1], 'undefined') then userinfo(3, {'events', 'eventreset'}, `reinit #2, event code `, _k, ` to defined init `, _dtbl[2][3][4][_k, 1]); _dtbl[2][3][1][_k, 8] := _dtbl[2][3][4][_k, 1] elif _dtbl[2][3][1][_k, 2] = 0 and irem(iquo(round(_dtbl[2][3][1][_k, 4]), 32), 2) = 1 then userinfo(3, {'events', 'eventreset'}, `reinit #2, event code `, _k, ` to rate hysteresis init `, _dtbl[2][5][24]); _dtbl[2][3][1][_k, 8] := _dtbl[2][5][24] elif _dtbl[2][3][1][_k, 2] = 0 and irem(iquo(round(_dtbl[2][3][1][_k, 4]), 2), 2) = 0 then userinfo(3, {'events', 'eventreset'}, `reinit #2, event code `, _k, ` to initial init `, _x0); _dtbl[2][3][1][_k, 8] := _x0 else userinfo(3, {'events', 'eventreset'}, `reinit #2, event code `, _k, ` to fireinitial init `, _x0-1); _dtbl[2][3][1][_k, 8] := _x0-1 end if end do; _dtbl[2][4][17] := 0; _dtbl[2][4][9] := 0; if _dtbl[1][4][10] = 1 then procname(procname("left")) end if end if; if _j[2] then for _k to _nv+1 do if _k <= _nv and not type(_dtbl[3][3][4][_k, 2], 'undefined') then userinfo(3, {'events', 'eventreset'}, `reinit #3, event code `, _k, ` to defined init `, _dtbl[3][3][4][_k, 2]); _dtbl[3][3][1][_k, 8] := _dtbl[3][3][4][_k, 2] elif _dtbl[3][3][1][_k, 2] = 0 and irem(iquo(round(_dtbl[3][3][1][_k, 4]), 32), 2) = 1 then userinfo(3, {'events', 'eventreset'}, `reinit #3, event code `, _k, ` to rate hysteresis init `, _dtbl[3][5][24]); _dtbl[3][3][1][_k, 8] := _dtbl[3][5][24] elif _dtbl[3][3][1][_k, 2] = 0 and irem(iquo(round(_dtbl[3][3][1][_k, 4]), 2), 2) = 0 then userinfo(3, {'events', 'eventreset'}, `reinit #3, event code `, _k, ` to initial init `, _x0); _dtbl[3][3][1][_k, 8] := _x0 else userinfo(3, {'events', 'eventreset'}, `reinit #3, event code `, _k, ` to fireinitial init `, _x0+1); _dtbl[3][3][1][_k, 8] := _x0+1 end if end do; _dtbl[3][4][17] := 0; _dtbl[3][4][9] := 0; if _dtbl[1][4][10] = 1 then procname(procname("right")) end if end if else for _k in _i do _dtbl[1][3][1][_k, 7] := 1 end do; _dtbl[2] := evaln(_dtbl[2]); _dtbl[3] := evaln(_dtbl[3]); _dtbl[4] := 0; if _dtbl[1][4][10] = 1 then if _x0 <= procname("right") then try procname(procname("right")) catch:  end try end if; if procname("left") <= _x0 then try procname(procname("left")) catch:  end try end if end if end if; return  elif type(_xin, `=`) and lhs(_xin) = "eventfired" then if not type(rhs(_xin), 'list') then error "'eventfired' must be specified as a list" end if; if _nv = 0 then error "this solution has no events" end if; if _dtbl[4] <> 2 and _dtbl[4] <> 3 then error "'direction' must be set prior to calling/setting 'eventfired'" end if; _i := _dtbl[4]; _val := NULL; if not assigned(_EnvEventRetriggerWarned) then _EnvEventRetriggerWarned := false end if; for _k in rhs(_xin) do if type(_k, 'integer') then _src := _k elif type(_k, 'integer' = 'anything') and type(evalf(rhs(_k)), 'numeric') then _k := lhs(_k) = evalf[max(Digits, 18)](rhs(_k)); _src := lhs(_k) else error "'eventfired' entry is not valid: %1", _k end if; if _src < 1 or round(_dtbl[1][3][1][_nv+1, 1]) < _src then error "event identifiers must be integers in the range 1..%1", round(_dtbl[1][3][1][_nv+1, 1]) end if; _src := {seq(`if`(_dtbl[1][3][1][_j, 1]-_src = 0., _j, NULL), _j = 1 .. _nv)}; if nops(_src) <> 1 then error "'eventfired' can only be set/queried for root-finding events and time/interval events" end if; _src := _src[1]; if _dtbl[1][3][1][_src, 2] <> 0. and _dtbl[1][3][1][_src, 2]-2. <> 0. then error "'eventfired' can only be set/queried for root-finding events and time/interval events" elif irem(round(_dtbl[1][3][1][_src, 4]), 2) = 1 then if _EnvEventRetriggerWarned = false then WARNING(`'eventfired' has no effect on events that retrigger`) end if; _EnvEventRetriggerWarned := true end if; if _dtbl[_i][3][1][_src, 2] = 0 and irem(iquo(round(_dtbl[_i][3][1][_src, 4]), 32), 2) = 1 then _val := _val, undefined elif type(_dtbl[_i][3][4][_src, _i-1], 'undefined') or _i = 2 and _dtbl[2][3][1][_src, 8] < _dtbl[2][3][4][_src, 1] or _i = 3 and _dtbl[3][3][4][_src, 2] < _dtbl[3][3][1][_src, 8] then _val := _val, _dtbl[_i][3][1][_src, 8] else _val := _val, _dtbl[_i][3][4][_src, _i-1] end if; if type(_k, `=`) then if _dtbl[_i][3][1][_src, 2] = 0 and irem(iquo(round(_dtbl[_i][3][1][_src, 4]), 32), 2) = 1 then error "cannot set event code for a rate hysteresis event" end if; userinfo(3, {'events', 'eventreset'}, `manual set event code `, _src, ` to value `, rhs(_k)); _dtbl[_i][3][1][_src, 8] := rhs(_k); _dtbl[_i][3][4][_src, _i-1] := rhs(_k) end if end do; return [_val] elif type(_xin, `=`) and lhs(_xin) = "direction" then if not member(rhs(_xin), {-1, 1, ':-left', ':-right'}) then error "'direction' must be specified as either '1' or 'right' (positive) or '-1' or 'left' (negative)" end if; _src := `if`(_dtbl[4] = 2, -1, `if`(_dtbl[4] = 3, 1, undefined)); _i := `if`(member(rhs(_xin), {1, ':-right'}), 3, 2); _dtbl[4] := _i; _dtbl[_i] := `dsolve/numeric/SC/IVPdcopy`(_dtbl[1], `if`(assigned(_dtbl[_i]), _dtbl[_i], NULL)); if 0 < _nv then for _j to _nv+1 do if _j <= _nv and not type(_dtbl[_i][3][4][_j, _i-1], 'undefined') then userinfo(3, {'events', 'eventreset'}, `reinit #4, event code `, _j, ` to defined init `, _dtbl[_i][3][4][_j, _i-1]); _dtbl[_i][3][1][_j, 8] := _dtbl[_i][3][4][_j, _i-1] elif _dtbl[_i][3][1][_j, 2] = 0 and irem(iquo(round(_dtbl[_i][3][1][_j, 4]), 32), 2) = 1 then userinfo(3, {'events', 'eventreset'}, `reinit #4, event code `, _j, ` to rate hysteresis init `, _dtbl[_i][5][24]); _dtbl[_i][3][1][_j, 8] := _dtbl[_i][5][24] elif _dtbl[_i][3][1][_j, 2] = 0 and irem(iquo(round(_dtbl[_i][3][1][_j, 4]), 2), 2) = 0 then userinfo(3, {'events', 'eventreset'}, `reinit #4, event code `, _j, ` to initial init `, _x0); _dtbl[_i][3][1][_j, 8] := _x0 else userinfo(3, {'events', 'eventreset'}, `reinit #4, event code `, _j, ` to fireinitial init `, _x0-2*_i+5.0); _dtbl[_i][3][1][_j, 8] := _x0-2*_i+5.0 end if end do end if; return _src elif _xin = "eventcount" then if _dtbl[1][3][1] = 0 or _dtbl[4] <> 2 and _dtbl[4] <> 3 then return 0 else return round(_dtbl[_dtbl[4]][3][1][_nv+1, 12]) end if else return "procname" end if end if; if _xout = _x0 then return [_x0, seq(evalf(_dtbl[1][6][_vmap[_i]]), _i = 1 .. _n-_ne)] end if; _i := `if`(_x0 <= _xout, 3, 2); if _xin = "last" and 0 < _dtbl[_i][4][9] and _dtbl[_i][4][9] < 100 then _dat := eval(_dtbl[_i], 2); _j := _dat[4][20]; return [_dat[11][_j, 0], seq(_dat[11][_j, _vmap[_i]], _i = 1 .. _n-_ne-_nd), seq(_dat[8][1][_vmap[_i]], _i = _n-_ne-_nd+1 .. _n-_ne)] end if; if not type(_dtbl[_i], 'array') then _dtbl[_i] := `dsolve/numeric/SC/IVPdcopy`(_dtbl[1], `if`(assigned(_dtbl[_i]), _dtbl[_i], NULL)); if 0 < _nv then for _j to _nv+1 do if _j <= _nv and not type(_dtbl[_i][3][4][_j, _i-1], 'undefined') then userinfo(3, {'events', 'eventreset'}, `reinit #5, event code `, _j, ` to defined init `, _dtbl[_i][3][4][_j, _i-1]); _dtbl[_i][3][1][_j, 8] := _dtbl[_i][3][4][_j, _i-1] elif _dtbl[_i][3][1][_j, 2] = 0 and irem(iquo(round(_dtbl[_i][3][1][_j, 4]), 32), 2) = 1 then userinfo(3, {'events', 'eventreset'}, `reinit #5, event code `, _j, ` to rate hysteresis init `, _dtbl[_i][5][24]); _dtbl[_i][3][1][_j, 8] := _dtbl[_i][5][24] elif _dtbl[_i][3][1][_j, 2] = 0 and irem(iquo(round(_dtbl[_i][3][1][_j, 4]), 2), 2) = 0 then userinfo(3, {'events', 'eventreset'}, `reinit #5, event code `, _j, ` to initial init `, _x0); _dtbl[_i][3][1][_j, 8] := _x0 else userinfo(3, {'events', 'eventreset'}, `reinit #5, event code `, _j, ` to fireinitial init `, _x0-2*_i+5.0); _dtbl[_i][3][1][_j, 8] := _x0-2*_i+5.0 end if end do end if end if; if _xin <> "last" then if 0 < 0 then if `dsolve/numeric/checkglobals`(op(_dtbl[1][14]), _pars, _n, _y0) then `dsolve/numeric/SC/reinitialize`(_dtbl, _y0, _n, procname, _pars, _i) end if end if; if _dtbl[1][4][7] = 0 then error "parameters must be initialized before solution can be computed" end if end if; _dat := eval(_dtbl[_i], 2); _dtbl[4] := _i; try _src := `dsolve/numeric/SC/IVPrun`(_dat, _xout) catch: userinfo(2, `dsolve/debug`, print(`Exception in solnproc:`, [lastexception][2 .. -1])); error  end try; if _dat[17] <> _dtbl[1][17] then _dtbl[1][17] := _dat[17]; _dtbl[1][10] := _dat[10] end if; if _src = 0 and 100 < _dat[4][9] then _val := _dat[3][1][_nv+1, 8] else _val := _dat[11][_dat[4][20], 0] end if; if _src <> 0 or _dat[4][9] <= 0 then _dtbl[1][5][1] := _xout else _dtbl[1][5][1] := _val end if; if _i = 3 and _val < _xout then Rounding := -infinity; if _dat[4][9] = 1 then error "cannot evaluate the solution further right of %1, probably a singularity", evalf[8](_val) elif _dat[4][9] = 2 then error "cannot evaluate the solution further right of %1, maxfun limit exceeded (see ?dsolve,maxfun for details)", evalf[8](_val) elif _dat[4][9] = 3 then if _dat[4][25] = 3 then error "cannot evaluate the solution past the initial point, problem may be initially singular or improperly set up" else error "cannot evaluate the solution past the initial point, problem may be complex, initially singular or improperly set up" end if elif _dat[4][9] = 4 then error "cannot evaluate the solution further right of %1, accuracy goal cannot be achieved with specified 'minstep'", evalf[8](_val) elif _dat[4][9] = 5 then error "cannot evaluate the solution further right of %1, too many step failures, tolerances may be too loose for problem", evalf[8](_val) elif _dat[4][9] = 6 then error "cannot evaluate the solution further right of %1, cannot downgrade delay storage for problems with delay derivative order > 1, try increasing delaypts", evalf[8](_val) elif _dat[4][9] = 10 then error "cannot evaluate the solution further right of %1, interrupt requested", evalf[8](_val) elif 100 < _dat[4][9] then if _dat[4][9]-100 = _nv+1 then error "constraint projection failure on event at t=%1", evalf[8](_val) elif _dat[4][9]-100 = _nv+2 then error "index-1 and derivative evaluation failure on event at t=%1", evalf[8](_val) elif _dat[4][9]-100 = _nv+3 then error "maximum number of event iterations reached (%1) at t=%2", round(_dat[3][1][_nv+1, 3]), evalf[8](_val) else if _Env_dsolve_nowarnstop <> true then `dsolve/numeric/warning`(StringTools:-FormatMessage("cannot evaluate the solution further right of %1, event #%2 triggered a halt", evalf[8](_val), round(_dat[3][1][_dat[4][9]-100, 1]))) end if; Rounding := 'nearest'; _xout := _val end if else error "cannot evaluate the solution further right of %1", evalf[8](_val) end if elif _i = 2 and _xout < _val then Rounding := infinity; if _dat[4][9] = 1 then error "cannot evaluate the solution further left of %1, probably a singularity", evalf[8](_val) elif _dat[4][9] = 2 then error "cannot evaluate the solution further left of %1, maxfun limit exceeded (see ?dsolve,maxfun for details)", evalf[8](_val) elif _dat[4][9] = 3 then if _dat[4][25] = 3 then error "cannot evaluate the solution past the initial point, problem may be initially singular or improperly set up" else error "cannot evaluate the solution past the initial point, problem may be complex, initially singular or improperly set up" end if elif _dat[4][9] = 4 then error "cannot evaluate the solution further left of %1, accuracy goal cannot be achieved with specified 'minstep'", evalf[8](_val) elif _dat[4][9] = 5 then error "cannot evaluate the solution further left of %1, too many step failures, tolerances may be too loose for problem", evalf[8](_val) elif _dat[4][9] = 6 then error "cannot evaluate the solution further left of %1, cannot downgrade delay storage for problems with delay derivative order > 1, try increasing delaypts", evalf[8](_val) elif _dat[4][9] = 10 then error "cannot evaluate the solution further right of %1, interrupt requested", evalf[8](_val) elif 100 < _dat[4][9] then if _dat[4][9]-100 = _nv+1 then error "constraint projection failure on event at t=%1", evalf[8](_val) elif _dat[4][9]-100 = _nv+2 then error "index-1 and derivative evaluation failure on event at t=%1", evalf[8](_val) elif _dat[4][9]-100 = _nv+3 then error "maximum number of event iterations reached (%1) at t=%2", round(_dat[3][1][_nv+1, 3]), evalf[8](_val) else if _Env_dsolve_nowarnstop <> true then `dsolve/numeric/warning`(StringTools:-FormatMessage("cannot evaluate the solution further left of %1, event #%2 triggered a halt", evalf[8](_val), round(_dat[3][1][_dat[4][9]-100, 1]))) end if; Rounding := 'nearest'; _xout := _val end if else error "cannot evaluate the solution further left of %1", evalf[8](_val) end if end if; if _EnvInFsolve = true then _dig := _dat[4][26]; if type(_EnvDSNumericSaveDigits, 'posint') then _dat[4][26] := _EnvDSNumericSaveDigits else _dat[4][26] := Digits end if; _Env_dsolve_SC_native := true; if _dat[4][25] = 1 then _i := 1; _dat[4][25] := 2 else _i := _dat[4][25] end if; _val := `dsolve/numeric/SC/IVPval`(_dat, _xout, _src); _dat[4][25] := _i; _dat[4][26] := _dig; [_xout, seq(_val[_vmap[_i]], _i = 1 .. _n-_ne)] else Digits := _dat[4][26]; _val := `dsolve/numeric/SC/IVPval`(eval(_dat, 2), _xout, _src); [_xout, seq(_val[_vmap[_i]], _i = 1 .. _n-_ne)] end if end proc, (2) = Array(0..0, {}), (3) = [t, N(t), P(t), Q(t)], (4) = [s__inf = s__inf, q__inf = q__inf]}); _vars := _dat[3]; _pars := map(rhs, _dat[4]); _n := nops(_vars)-1; _solnproc := _dat[1]; if not type(_xout, 'numeric') then if member(x_rosenbrock, ["start", 'start', "method", 'method', "left", 'left', "right", 'right', "leftdata", "rightdata", "enginedata", "eventstop", 'eventstop', "eventclear", 'eventclear', "eventstatus", 'eventstatus', "eventcount", 'eventcount', "laxtol", 'laxtol', "numfun", 'numfun', NULL]) then _res := _solnproc(convert(x_rosenbrock, 'string')); if 1 < nops([_res]) then return _res elif type(_res, 'array') then return eval(_res, 1) elif _res <> "procname" then return _res end if elif member(x_rosenbrock, ["last", 'last', "initial", 'initial', "parameters", 'parameters', "initial_and_parameters", 'initial_and_parameters', NULL]) then _xout := convert(x_rosenbrock, 'string'); _res := _solnproc(_xout); if _xout = "parameters" then return [seq(_pars[_i] = _res[_i], _i = 1 .. nops(_pars))] elif _xout = "initial_and_parameters" then return [seq(_vars[_i+1] = [_res][1][_i+1], _i = 0 .. _n), seq(_pars[_i] = [_res][2][_i], _i = 1 .. nops(_pars))] else return [seq(_vars[_i+1] = _res[_i+1], _i = 0 .. _n)] end if elif type(_xout, `=`) and member(lhs(_xout), ["initial", 'initial', "parameters", 'parameters', "initial_and_parameters", 'initial_and_parameters', NULL]) then _xout := convert(lhs(x_rosenbrock), 'string') = rhs(x_rosenbrock); if type(rhs(_xout), 'list') then _res := _solnproc(_xout) else error "initial and/or parameter values must be specified in a list" end if; if lhs(_xout) = "initial" then return [seq(_vars[_i+1] = _res[_i+1], _i = 0 .. _n)] elif lhs(_xout) = "parameters" then return [seq(_pars[_i] = _res[_i], _i = 1 .. nops(_pars))] else return [seq(_vars[_i+1] = [_res][1][_i+1], _i = 0 .. _n), seq(_pars[_i] = [_res][2][_i], _i = 1 .. nops(_pars))] end if elif type(_xout, `=`) and member(lhs(_xout), ["eventdisable", 'eventdisable', "eventenable", 'eventenable', "eventfired", 'eventfired', "direction", 'direction', NULL]) then return _solnproc(convert(lhs(x_rosenbrock), 'string') = rhs(x_rosenbrock)) elif _xout = "solnprocedure" then return eval(_solnproc) elif _xout = "sysvars" then return _vars end if; if procname <> unknown then return ('procname')(x_rosenbrock) else _ndsol := 1; _ndsol := _ndsol; _ndsol := pointto(_dat[2][0]); return ('_ndsol')(x_rosenbrock) end if end if; try _res := _solnproc(_xout); [seq(_vars[_i+1] = _res[_i+1], _i = 0 .. _n)] catch: error  end try end proc

By using option parameters, the dsolve only needs to be directly called once. It returns a procedure (here called dsol) which is used for all further calls.

 

Procedure t_cure integrates the ODEs for one pair of parameter values (s_inf and q_inf) and returns the value of t when halt occurs.

t_cure:= proc(q_inf::realcons)
local
   t__cure,
   wl:= interface('warnlevel'= 0) #Suppress 'events'-related warnings.
;
   dsol('parameters'= [q__inf= q_inf]);
   dsol('eventenable'= {1}); #Reinitialize integration (i.e., at t=0).
   t__cure:= eval(t, dsol(t__max));
   interface('warnlevel'= wl); #Restore its original value.
   t__cure
end proc
:  

#Set values of s__infinity (immunotherapy infusion rate) to use:
S_infs:= [0.0, 4e5, 7e5] #cell/day
:

#Using Fig. 5(a) from the paper as a guide, set the correspondence between
#s__infinity and the minimum value of q__infinity used.
q_min:= table(S_infs=~ [9e0, 9e0, 2e0]): #mg/day
q_max:= 1e5 #mg/day #It's the same for all plots.
:

(q_inf, time_cure, D_chemo):= (1,2,3): #columns in the Data matrix
#

st:= time(): #Track computation time (just for my curiousity).
for s_inf in S_infs do
   dsol('parameters'= [s__inf= s_inf]);
   #Semilogplot is used to get the correct logarithmic spacing for smaller q values:
   t_vs_q:= op([1,1], plots:-semilogplot(t_cure, q_min[s_inf]..q_max));
   #Store (as 3rd column) computation D__chemo = q__infinity * t__cure
   Data[s_inf]:= <t_vs_q | t_vs_q[.., q_inf] *~ t_vs_q[.., time_cure]>
od:
time()-st;

12.219

#formatting options common to both plots:
common_opts:=
   'axis'[1]= ['mode'= 'log', 'tickmarks'= [6, 'subticks'= 8]],
   'axis'[2]= ['mode'= 'log', 'tickmarks'= [4, 'subticks'= 8]],
   'labeldirections'= ['horizontal', 'vertical'],
   'view'= [1e0 .. 1e5, 1e3 .. 1e6],
   'legend'= [seq(s__infinity= s_inf, s_inf= S_infs)],
   'titlefont'= ["TIMES", 16],
   'axes'= 'boxed',
   'size'= [500, 500],
   'gridlines'= false
:

#Figure 5(a) (D__chemo vs q__infinity):
plot(
   [seq(Data[s_inf][..,[q_inf, D_chemo]], s_inf= S_infs)],
   common_opts,
   'labels'= [q__infinity*Unit('mg'/'day'), 'D__chemo'*Unit('mg')],   
   'title'= "Total chemo dose vs. Chemo infusion rate",
   'caption'=
      "\nFigure 5(a):"
      " Total chemo dose as a function of the chemo infusion rate\n"
);

#Figure 5(b) (D__chemo vs t__cure):
plot(
   [seq(Data[s_inf][..,[time_cure, D_chemo]], s_inf= S_infs)],
   common_opts,
   'labels'= [t__cure*Unit('day'), 'D__chemo'*Unit('mg')],
   'title'= "Chemo dose vs. Time for cure",
   'caption'=
      "\nFigure 5(b):"
      " Total chemo dose as an implicit function of the time required for cure\n"
);

 


 

Download Chemoimmunotherapy.mw

@vv The Remez algorithm is implemented in Maple as numapprox:-minimax. I was going to post an example of it applied to this function, but I didn't have the patience to wait for it to finish.

@Kitonum I believe (although I'm not sure) that you're misinterpretting what the OP means by neighboring points. Under your interpretation, all points are neighboring points of all other points; whereas in my interpretation, they're neighboring iff they're in the same cluster. The term cluster here is not precisely defined, but I think that if you look at the Wikipedia page "Cluster analysis", then you'll see what I mean.

@mmcdara Upon a closer re-reading, I just saw that actually both of your "Not so fast" worksheets show that the Newton's method takes 9+ seconds while Quantile takes 16+ seconds. So either I misinterpretted what you were trying to say, or you switched the measurements in your mind. Either way, the Newton's method is significantly faster.

@Kitonum Note that your Answer applies only to what the OP did in the worksheet, i.e. find a single focal point. That's not the more-general question posed in the 3rd paragraph of the Question.

@mmcdara Ah, you were using Digits = 20, which is outside the domain of hardware floats (aka double precision). My quickly written code had been optimized for hardware floats, since that's quite easy to do (just use evalhf). I just made some changes so that it'll work efficiently regardless of Digits, so please try testing it again (code and worksheet below). And please try on the full interval 0..1, because I made some changes regarding that.

Note that the "magic coefficient" methods have an accuracy far, far less than the 15 digits of hardware floats, as your Post shows, and I suspect that they'd have far more trouble in the extreme tails than my Newton's method.

There's no need for your procedure f that wraps NormInv; it just wastes (a small amout of) time. Use NormInv~ just like Quantile~.
 

Time and accuracy test of Newton's method inverse CDF of the Normal distribution

restart:

kernelopts(version);

`Maple 2019.1, X86 64 WINDOWS, May 21 2019, Build ID 1399874`

#Symbolic steps:
Ncdf:= unapply(int(exp(-x^2/2)/sqrt(2*Pi), x= -infinity..X), X):
Newton:= unapply(simplify(x-(Ncdf(x)-Q)/D(Ncdf)(x)), (x,Q)):

#Purely numeric procedures:
NormInv_inner:= proc(Q, z0, eps)
local z:= z0, z1, e:= infinity, e1;
   do  
      z1:= evalf(Newton(z,Q));
      e1:= abs(z1-z);
      if e1 < eps or e1 >= e then return (z+z1)/2 fi;
      e:= e1;  
      z:= z1  
   od
end proc:
      
NormInv:= proc(Q::And(numeric, realcons, satisfies(Q-> 0 <= Q and Q <= 1)))
local r;
   if Q > 1/2 then return -thisproc(1-Q) fi;
   if Q = 0 then return -infinity fi;
   r:= evalhf(
      NormInv_inner(
         Q,
         (Q-0.5)*sqrt(2.*Pi),
         max(10.^(1-Digits), evalhf(DBL_EPSILON))
      )
   );
   if Digits <= evalhf(Digits) then r else NormInv_inner(Q, r, 10.^(1-Digits)) fi
end proc
:

Digits:= 20:

randomize(156606905209673);

156606905209673

S:= Statistics:-Sample(Uniform(0,1), 10^4):

N_Newton:= CodeTools:-Usage(NormInv~(S)):

memory used=0.67GiB, alloc change=0 bytes, cpu time=5.53s, real time=4.94s, gc time=812.50ms

N_Quantile:= CodeTools:-Usage(Statistics:-Quantile~(Normal(0,1), S)):

memory used=1.97GiB, alloc change=128.00MiB, cpu time=17.28s, real time=15.71s, gc time=2.17s

Statistics commands tend to run faster if you first declare a RandomVariable::

N01:= Statistics:-RandomVariable(Normal(0,1)):

N_rv:= CodeTools:-Usage(Statistics:-Quantile~(N01, S, numeric)):

memory used=1.86GiB, alloc change=-32.00MiB, cpu time=13.61s, real time=12.50s, gc time=1.59s

Check the accuracy:

LinearAlgebra:-Norm(N_rv - N_Quantile, 1);

0.

Digits:= 30:

N_accurate:= CodeTools:-Usage(Statistics:-Quantile~(N01, S)):

memory used=1.17GiB, alloc change=0 bytes, cpu time=9.31s, real time=8.55s, gc time=1.06s

LinearAlgebra:-Norm(N_Quantile - N_accurate, 1);

0.114816126227654849290526416e-8

LinearAlgebra:-Norm(N_Newton - N_accurate, 1);

0.16152805691717774533408444e-9

14.61 / 5.32, 1.1e-9 / 1.6e-10;

2.74624060150375939849624060150, 6.87500000000000000000000000000

Conclusion: This particular Sample shows that using Newton's method (at Digits=20) gives about 6 times the accuracy while running at least 2 times as fast.

 


 

Download NormalInveseTest.mw

@Teep @Daniel Skoog

Daniel asked me if he could use my code in his package, and I said yes. It's very likely that he will see this and respond soon because I tagged him above, and he's a regular correspondent here. 

Wikipedia is good place to start reading about cluster analysis. My code used algorithms that I found on Wikipedia.

That's interesting. My test shows that using Newton's method is much faster and much more accurate than Statistics:-Quantile and works over the whole interval 0..1.  I wonder if this is a version difference. If you post another test, please show kernelopts(version)Digits, and a randomize seed so that your results can be duplicated.
 

Time and accuracy test of Newton's method inverse CDF of the Normal distribution

restart:

kernelopts(version);

`Maple 2019.1, X86 64 WINDOWS, May 21 2019, Build ID 1399874`

#Symbolic steps:
Ncdf:= unapply(int(exp(-x^2/2)/sqrt(2*Pi), x= -infinity..X), X):
Newton:= unapply(simplify(x-(Ncdf(x)-Q)/D(Ncdf)(x)), (x,Q)):

#Purely numeric procedures:
NormInv_inner:= proc(Q, eps)
local z:= 0, z1;
   do  z1:= evalf(Newton(z,Q));  if abs(z1-z) < eps then return z1 fi;  z:= z1  od
end proc:
      
NormInv:= (Q::And(numeric, realcons, satisfies(Q-> 0 <= Q and Q <= 1)))->
   if Q > 1/2 then -thisproc(1-Q)
   elif Q = 0 then -infinity
   elif Digits <= evalhf(Digits) then evalhf(NormInv_inner(Q, DBL_EPSILON))
   else NormInv_inner(evalf(Q), 10.^(1-Digits))
   fi
:

Digits:= 15:

randomize(1):

S:= Statistics:-Sample(Uniform(0,1), 10^4):

N_Newton:= CodeTools:-Usage(NormInv~(S)):

memory used=18.47MiB, alloc change=0 bytes, cpu time=156.00ms, real time=168.00ms, gc time=0ns

N_Quantile:= CodeTools:-Usage(Statistics:-Quantile~(Normal(0,1), S)):

memory used=233.92MiB, alloc change=80.00MiB, cpu time=4.05s, real time=4.05s, gc time=125.00ms

Statistics commands tend to run faster if you first declare a RandomVariable::

N01:= Statistics:-RandomVariable(Normal(0,1)):

N_rv:= CodeTools:-Usage(Statistics:-Quantile~(N01, S, numeric)):

memory used=168.77MiB, alloc change=-8.00MiB, cpu time=1.38s, real time=1.32s, gc time=109.38ms

Check the accuracy:

LinearAlgebra:-Norm(N_rv - N_Quantile, 1);

0.

Digits:= 20:

N_accurate:= CodeTools:-Usage(Statistics:-Quantile~(N01, S)):

memory used=0.92GiB, alloc change=128.00MiB, cpu time=7.42s, real time=7.03s, gc time=812.50ms

LinearAlgebra:-Norm(N_Quantile - N_accurate, 1);

0.2107616253607440e-8

LinearAlgebra:-Norm(N_Newton - N_accurate, 1);

0.167337146261280e-9

Conclusion: This particular Sample shows that using Newton's method (at Digits=15) gives about 12 times the accuracy while running at least 5 times as fast.

 


 

Download NormalInveseTest.mw

@mmcdara I'm surprised that there's been such a change in the numeric computation model. Anyway, here are some minor adjustments, which I hope will also work in your Maple. I also corrected the issue for Digits > 15.

restart:
Digits:= 20: #Changing this doesn't change the code; it's just for testing.

#Symbolic steps are only needed to create the numeric procedures, not
#needed to run them:
Ncdf:= unapply(int(exp(-x^2/2)/sqrt(2*Pi), x= -infinity..X), X);
Newton:= unapply(simplify(x-(Ncdf(x)-Q)/D(Ncdf)(x)), (x,Q));

#Purely numeric procedures:
NormInv_inner:= proc(Q, eps)
local z:= 0, z1;
   do  z1:= evalf(Newton(z,Q));  if abs(z1-z) < eps then return z1 fi;  z:= z1  od
end proc:
      
NormInv:= (Q::And(numeric, realcons, satisfies(Q-> 0 <= Q and Q <= 1)))->
   if Q > 1/2 then -thisproc(1-Q)
   elif Q = 0 then -infinity
   elif Digits <= evalhf(Digits) then evalhf(NormInv_inner(Q, DBL_EPSILON))
   else NormInv_inner(evalf(Q), 10.^(1-Digits))
   fi
:
#Testing code:
P := [seq(1 - 10.^(-k), k=1..Digits)]:
printf("           p                  z\n");
printf("-----------------------------------\n");         
for n from 1 to numelems(P) do
   printf("%2d  %0.*f  %2.5f\n", n, Digits, P[n], NormInv(P[n]))
end do;
           p                  z
-----------------------------------
 1  0.90000000000000000000  1.28155
 2  0.99000000000000000000  2.32635
 3  0.99900000000000000000  3.09023
 4  0.99990000000000000000  3.71902
 5  0.99999000000000000000  4.26489
 6  0.99999900000000000000  4.75342
 7  0.99999990000000000000  5.19934
 8  0.99999999000000000000  5.61200
 9  0.99999999900000000000  5.99781
10  0.99999999990000000000  6.36134
11  0.99999999999000000000  6.70602
12  0.99999999999900000000  7.03448
13  0.99999999999990000000  7.34880
14  0.99999999999999000000  7.65063
15  0.99999999999999900000  7.94135
16  0.99999999999999990000  8.22208
17  0.99999999999999999000  8.49377
18  0.99999999999999999900  8.75680
19  0.99999999999999999990  9.01253
20  0.99999999999999999999  9.24939

 

I haven't researched or time- or accuracy-tested them, but I find it hard to believe that any of these "magic coefficients" methods are generally better than this simple Newton's method, which only took 10 minutes to write, can be understood immediately, and works for any setting of Digits or in evalhf mode.

(*>>>------------------------------------------------------
| A procedure to compute quantiles of the standard normal |
| (Gaussian) distribution in sfloat or hfloat arithmetic  |
|---------------------------------------------------------|
| Author: Carl Love <carl.j.love@gmail.com> 15-Aug-2019   |
------------------------------------------------------<<<*)
restart:
Digits:= 15: #Changing this doesn't change the code; it's just for testing.

#Symbolic steps are only needed to create the numeric procedures, not
#needed to run them:
Ncdf:= unapply(int(exp(-x^2/2)/sqrt(2*Pi), x= -infinity..X), X);
Newton:= unapply(simplify(x-(Ncdf(x)-Q)/D(Ncdf)(x)), (x,Q));

#Purely numeric procedures:
NormInv_inner:= proc(Q)
local z:= 0, z1;
   do  z1:= Newton(z,Q);  if z1=z then return z1 fi;  z:= z1  od
end proc:
      
NormInv:= (Q::And(realcons, satisfies(Q-> 0 <= Q and Q <= 1)))->
   if Q > 1/2 then -thisproc(1-Q)
   elif Q=0 then -infinity
   elif Digits <= evalhf(Digits) then evalhf(NormInv_inner(Q))
   else NormInv_inner(evalf(Q))
   fi
:

I'll admit that the rational-approximation methods may be a little faster for some small values of Digits.

@syhue The following very short and simple paper explains how and why to divide out the 2s when computing the decryption exponent d for a two-prime RSA via the Chinese Remainder Theorem (CRT). In particular, I draw your attention to step 4 at the very top of page 258 and the explanatory paragraph a little below that begins "To apply [CRT] in step 4...." The paper is "Faster RSA Algorithm for Decryption Using Chinese Remainder Theorem"[*1]. This idea can be extended fairly easily to your three-prime RSA. Note that this special CRT is only needed once---for computing d; when you're decrypting, you'll use the three primes themselves as the moduli for CRT.

Let me know if you need further help.

[*1] G.N. Shinde and H.S. Fadewar, (2008), "Faster RSA Algorithm for Decryption Using Chinese Remainder Theorem", ICCES, vol.5, no.4, pp.255-261

First 256 257 258 259 260 261 262 Last Page 258 of 709