Carl Love

Carl Love

28070 Reputation

25 Badges

13 years, 34 days
Himself
Wayland, Massachusetts, United States
My name was formerly Carl Devore.

MaplePrimes Activity


These are replies submitted by Carl Love

@Preben Alsholm If an operator is restricted to having exactly two operands, then sometimes lhs and rhs are used to refer to those operands, even when the operator is not =, <<=<>. This is the sense by which the OP is using the terms "lhs" and "rhs"

@waseem Do not repeat the same inane question over and over again. It makes me very angry. Are you less than 10 years old? Next time, I'll just delete it. Be patient: It's not like I get paid to answer questions on MaplePrimes. It is just my hobby. As you can see, I've been working on the problem, but I got stuck. That's in addition to the numerous other MaplePrimes problems that I'm working on.

I'd suggest that if you're asking for help from someone whom you're not paying, that you limit any prodding to at most once per week, and that you learn to do it in a polite respectful way.

 

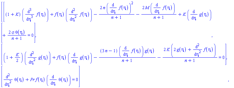
I am trying to solve the system with Maple's built-in numeric BVP solver (which is using a nonlinear FEM with dynamic mesh size anyway). The system solves very easily, but the values that I am getting do not agree with the paper at all, not even to one significant digit! I feel that I must have entered something wrong, like a minus sign perhaps. But I have gone over what I typed "with a fine-tooth comb" at least 10 times, comparing my worksheet with the paper character by character, using the 3 places in the paper where the ODEs are given and the two where the BCs are given.

So, I'd like some assistance to find the mistake. Or, at least I'd like someone to tell me that I've entered the system and parameter values exactly as they're given in the paper.
 

restart:

Digits:= 15:

ODEs:= [
   #Eq 9/18/24:
   (1+K)*diff(f(eta),eta$3) + f(eta)*diff(f(eta),eta$2) - 2*n/(n+1)*diff(f(eta),eta)^2 -
   2/(n+1)*M*diff(f(eta),eta) + K*diff(g(eta),eta) + 2/(n+1)*sigma*theta(eta)  =  0,
   #Eq 10/19/25:
   (1+K/2)*diff(g(eta),eta$2) + f(eta)*diff(g(eta),eta) -
   (3*n-1)/(n+1)*diff(f(eta),eta)*g(eta) - 2/(n+1)*K*(2*g(eta)+diff(f(eta),eta$2))  =  0,
   #Eq 11/20/26:
   diff(theta(eta),eta$2) + Pr*f(eta)*diff(theta(eta),eta)  =  0
]:   

<ODEs[]>;

Vector(3, {(1) = (1+K)*(diff(diff(diff(f(eta), eta), eta), eta))+f(eta)*(diff(diff(f(eta), eta), eta))-2*n*(diff(f(eta), eta))^2/(n+1)-2*M*(diff(f(eta), eta))/(n+1)+K*(diff(g(eta), eta))+2*sigma*theta(eta)/(n+1) = 0, (2) = (1+(1/2)*K)*(diff(diff(g(eta), eta), eta))+f(eta)*(diff(g(eta), eta))-(3*n-1)*(diff(f(eta), eta))*g(eta)/(n+1)-2*K*(2*g(eta)+diff(diff(f(eta), eta), eta))/(n+1) = 0, (3) = diff(diff(theta(eta), eta), eta)+Pr*f(eta)*(diff(theta(eta), eta)) = 0})

BCs:= [
   #Eq 12/21:
   f(0) = -lambda, D(f)(0) = -1, g(0) = -1/2*(D@@2)(f)(0), D(theta)(0) = -c*(1-theta(0)),
   #Eq 13/22:
   D(f)(%infinity) = 0, g(%infinity) = 0, theta(%infinity) = 0
   #I changed infinity to %infinity to make it a parameter.
];

[f(0) = -lambda, (D(f))(0) = -1, g(0) = -(1/2)*((D@@2)(f))(0), (D(theta))(0) = -c*(1-theta(0)), (D(f))(%infinity) = 0, g(%infinity) = 0, theta(%infinity) = 0]

Solve:= subs(
   _BVP= {ODEs[],  BCs[]},
   proc(
      #The values presented here are simply defaults. They can be changed when the
      #procedure is called.
      {K::realcons:= 0, Pr::realcons:= 0.733, sigma::realcons:= 0, lambda::realcons:= 3,
       c::realcons:= 1, M::realcons:= 1, n::realcons:= 1, %infinity::positive:= 8
      }
   )
      dsolve(_BVP, numeric, _rest)      
   end proc
):
   

Try to duplicate Table 2,  second column:

Table2:= Solve(K= 0, Pr= 0.733, sigma= 0, lambda= 3, c= 1, M= 1, n= 1):

seq(eval(diff(f(eta),eta), Table2(Eta)), Eta= 0..8);

HFloat(-0.9999999999999999), HFloat(-1.0), HFloat(-1.0000000000000004), HFloat(-1.0000000000000002), HFloat(-0.9999999999999994), HFloat(-0.9999999999991915), HFloat(-0.9999999968802413), HFloat(-0.9999664933149132), HFloat(0.0)

Totally wrong!

 

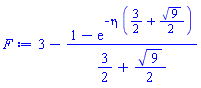
Use known exact solution (Eq 32) for this special case to try to duplicate Table 2, first column:

#Eq 32:
F:= eval[recurse](lambda - (1-exp(-eta*z))/z, [z= (lambda+sqrt(lambda^2+4*M-4))/2, lambda= 3, M= 1]);

3-(1-exp(-eta*(3/2+(1/2)*9^(1/2))))/(3/2+(1/2)*9^(1/2))

evalf(map2(eval,  diff(F,eta), eta=~ [$0..8]));

[-1.00000000000000, -0.497870683678640e-1, -0.247875217666636e-2, -0.123409804086680e-3, -0.614421235332820e-5, -0.305902320501826e-6, -0.152299797447126e-7, -0.758256042791190e-9, -0.377513454427910e-10]

It agrees with the table!

 

Try Table 3, column 1:

seq(eval(diff(f(eta),eta$2), Solve(K=1, Pr=0.733, sigma=5, c= 1, M= 3, n= 0.5, lambda= L)(0)), L= 2.0..4.0, 0.5);

HFloat(2.6198066501250747), HFloat(2.4131979709211966), HFloat(2.216852164633253), HFloat(2.040203526244527), HFloat(1.8844737238149782)

 

Totally wrong. It's even moving in the wrong direction!


 

Download nanofluidBVP.mw

 

I have no attachment to the name Type. Indeed, I don't like that it's capitalized, but type was already taken (it being itself a type as well as a built-in procedure). I struggled to come up with a good name. I considered `` (the empty symbol).

Aha, how about eval?

@vv You begin your Answer with a discussion of whether it is interesting. To me, it is interesting if there's any hope of generalization and automation. The domain of generalization would be systems of linear equations that include floorceil, and frac. So, do you see any hope for it? I'm not asking you to write the algorithm, just whether you've gotten a sense that it's possible.

@ It's okay: Now that you have given your reasons, it does seem that you have excercised "due diligence" (appropriate to your education level) before concluding that Maple was wrong. And, yes, it was clear to me that you did not intend that to be a strict mathematical proof. And I wasn't criticizing it! I did say that it "does provide some evidence...", not that it doesn't provide evidence.

It turns out that all three expressions are valid solution branches. (I'll try to define that in another post.) And the pair given by Maple is a complete solution set[1] (meaning that given any numeric (real or complex) value of k, the set's evaluation at that value will be the set of all values of x that satisfy the equation for that k). Nonetheless, given any pair of these three expressions, there are some values of k for which the two aren't equal. (The branches are cut in different places.) That is what is is tellling you. 

So, now I am concerned about your instructor: Why do they say that the solution is wrong? Someone who claims that a parameterized solution (k is the parameter in this case) is wrong should be able to provide a witness, that is, a specific numeric value of k for which the solution is wrong. Please ask them why they think it's wrong, saying that I asked you to ask. I'm willing to consider any argument, even "the format that Maple displays the result is ugly."

[1]As long as we do the sensible thing about the k=0 divide-by-zero case, that is, return the empty set. And Maple will do this part also if you include the parametric option to solve.

What makes you say that the solutions given by Maple are wrong? As a math educator, I am just curious about your reasoning on that.

What you have labeled "Proof" does give some evidence that your proposed solution is a correct solution. But you don't show any evidence that Maple's proposed solutions are not also correct. You may substitute them into the original equation just as you did with your proposed solution. Try it.

It is true that Maple often arranges expressions in ways that are distasteful to a human reader. This seems especially common with combinations of square roots and minus signs. That alone doesn't make them wrong.

Thank you for the very useful procedure. Vote up. However, it can be massively simplified to

# Type for a variable expression, e.g. x=5.
TypeTools:-AddType('varexpr', 'And'('name','Non'('constant'))='algebraic'):

# Type for a function expression, e.g. f(x)=x^2.
TypeTools:-AddType('funcexpr', 'function'('And'('name','Non'('constant')))='algebraic'):

# Identity type (not 'identical'). Ought to be built-in!
# It saves a lot of redundancy in procedure headers!
TypeTools:-AddType('Type', type): 

# Procedure to assign variable and function expressions.
my_assign:= proc(u::{Type,list,rtable,set}({varexpr, funcexpr}), $)
   if u::'indexable' then thisproc~(u); return
   else assign(`if`(u::'varexpr', u, op(0,lhs(u))= unapply((rhs,op@lhs)(u))))
   fi
end proc: 

I believe that this is functionally equivalent to yours[1]. Certainly, all the examples run identically. One problem I see with the lengthy code is that it makes it seem as if Maple coding is more difficult than it actually is.

Please let me know if you have any questions about how such simplification is achieved, or why any of the numerous parts that I removed were redundant.

[1]Except that yours didn't allow mixed containers (containers of both varexpr and funcexpr) whereas mine does, because I thought that that was just an oversight on your part. Not sure. 

@Carl Love I just realized that it was incorrect of me to attribute the original algorithm to Kitonum. After rereading the whole thread, I see that Kitonum actually was just making a correction to the OP's code. So, I apologize for that.

@Carl Love 

This boggles me: If I just declare a to be a constant via the official, documented method for declaring constants (see ?constant),

constants:= constants, a;

then, as far as int is concerned, how is a any different from any other official constant, say, gamma? Yet

int(exp(a*exp(I*x)), x= -Pi..Pi) still returns 0, while
int(exp(gamma*exp(I*x)), x= -Pi..Pi) returns 2*Pi.

Somewhere there is knowledge stored about gamma. For example, Maple knows (at the symbolic level?) that it's positive:

signum(gamma) returns 1, whereas signum(a) returns unevaluated. So, where is that knowledge stored?

@bliengme 

All Matrix/Vector arithmetic can be done with the familiar binary infix symbol operators: +, -, *, ., /, ^. (Note the distinction between commutative (or scalar) multiplication, *, and noncommutative Matrix/Vector multiplication, `.`.) There is no need to use any package (such as LinearAlgebra) to define Matrices and Vectors or to do arithmetic on them.

Your Reply makes me think that you're now wondering So what's the purpose of multiply and Multiply? 

The command multiply---as well as the entire linalg package that it comes from---are deprecated. That means that they are no longer intended to be used and they have been replaced with better commands. The reason that they still exist in Maple is so that old code that uses them will continue to run.

The LinearAlgebra package has numerous commands with the spelled-out names of arithmetic operations like Multiply. These commands are indeed for performing the arithmetic operations indicated by their names. The only reason to use such a command is if you want to use options, which cannot be included when using a binary infix symbol (because there's literally no place to type the option). The options are described on the commands' help pages. For example, the most-commonly-used option is (I expect) inplace, which means that the result overwrites one of the operands. There is no need to use options unless you're trying to write highly optimized code. Thus there's no reason for a beginning Maple user to pay any attention to the commands with names like Multiply.

Suggestion to Maplesoft: There are too many top-level commands in LinearAlgebra, which makes it unwieldy for even an experienced user to find what they're looking for. All of these not-commonly-used Matrix/Vector arithmetic commands should be bundled into a subpackage.

@Carl Love  So, now that I've read more of the package's help pages, I submit the following replacement for my procedure E__n in the Answer above. I think that it combines all of the good points of Tom's, Acer's, and my own approaches discussed in this thread so far:

restart:
ScientificConstants:-AddConstant(
   `Marc's constant`, symbol= 'E__n', 'derive'= 'h' * 'c' * 'R'[infinity]
);
E__n:= n-> evalf(ScientificConstants:-Constant('E__n', 'units')/(-n^2));

(The constant just needs a better name than `Marc's constant`, which Marc can decide on.)

Note that this procedure tacitly uses the constants to the full precision that they are known modulo the value of Digits at execution time.

 

@tomleslie You're right, Tom: Introducing evalindets was a bit of overkill, and I was hesitant to do it. Your code still accomplishes my top goals:

  • elimination of magic numbers,
  • replacing them with widely recognized symbols,
  • using them to (at least) the precision that they are known,
  • simplification of the units.

If I had had more familiarity with the package, I would've used Constant(..., 'units'), as you did. So I read more of the package's help and wrote a much simpler procedure (posted as a Reply to my Answer) that I think accomplishes all of our goals discussed in this thread.

@acer Thanks, Acer. I considered writing it such that the execution-time value of Digits rather than the definition-time value would be used, but I decided in favor of the (slightly) better execution speed of using the definition-time value. But I certainly see the benefits of doing it your way.

This was my first usage of ScientificConstants, and I found the format that the information is returned is awkward. The return value of GetConstant should be type set(name=anything) or something similar, and the units should be real Units, not simply products of symbols.

It looks like the package has a facility for adding constants, and the constant h*c*R could be added as a "derived constant" (using the terminology from the package's help page).

I figured out the meaning of the constants in the OP's original E__n by Googling them in the form "1.097 x 10^7", etc. I guessed that the 2nd procedure, eV, was simply a units conversion factor, so I simply checked that in Maple.

@waseem Thank you for the pages. So, they just use infinity = 8 for the upper boundary point of eta. In that case, the system can be easily solved with Maple's built-in BVP solver. As I said, this and related BVP systems dealing with nanofluids have been discussed and solved numerous times here on MaplePrimes.

Can you post the whole paper? Or just give me reasonable default values for all parameters?

First 309 310 311 312 313 314 315 Last Page 311 of 709