J4James

355 Reputation

12 Badges

13 years, 184 days

MaplePrimes Activity


These are replies submitted by J4James

Well, thx for your usefull response. Now I want to extract data from the solution

pds := pdsolve(PDE,IBC,numeric,time=t,range=0..1);

for diff(u(x,t),x) at x=0.

Any idea?

Thanks 

@Carl Love Thx. It worked very well for other examples. But for this particular case, the series has to be 

non-alternating. To clear my head and avoid any confusion the ode for which we are trying to have a

non-alternating series solution is

Thx

@Carl Love Thx. It worked very well for other examples. But for this particular case, the series has to be 

non-alternating. To clear my head and avoid any confusion the ode for which we are trying to have a

non-alternating series solution is

Thx

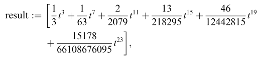
@Carl Love The output should look like this

thanks

The output is

@Markiyan Hirnyk The procedure is for an analytical method known as ADM, which solves an ode and gives a series solution.  

thx for your kind response. For high accuracy if we want to take the step size of the interval [0 3] 0.001 then calculate the average and sum, will this have any effects on the output?

thx for your kind response. For high accuracy if we want to take the step size of the interval [0 3] 0.001 then calculate the average and sum, will this have any effects on the output?

@acer This was, one of the best new year gift. Happy new year.

Thanks

@acer This was, one of the best new year gift. Happy new year.

Thanks

@acer How we can implement this for BVP? I am sorry for asking too many questions. 

@acer How we can implement this for BVP? I am sorry for asking too many questions. 

@acer, once again thx for your kind and nice effort. I am nearly there. Suppose we have a parameter in the ode

let say beta

1/40*diff(x(t),t,t)=-beta/20*diff(x(t),t)-x(t);

I want to plot results for different values of beta say 0.8, 0.9, 1; having three curves on the same plot and then want to zoom in as you did in your example.

Thanks

 

@acer, once again thx for your kind and nice effort. I am nearly there. Suppose we have a parameter in the ode

let say beta

1/40*diff(x(t),t,t)=-beta/20*diff(x(t),t)-x(t);

I want to plot results for different values of beta say 0.8, 0.9, 1; having three curves on the same plot and then want to zoom in as you did in your example.

Thanks

 

Thx for such a cool idea. But how we can adopt this approach for a ODE with numeric solution?

First 14 15 16 17 18 19 20 Page 16 of 21