Ronan

1401 Reputation

16 Badges

14 years, 40 days
East Grinstead, United Kingdom

MaplePrimes Activity


These are replies submitted by Ronan

@Carl Love Yes. I had tried the sequence of strings which worked in one test. Then when I hit problem I thought it might be the commands.  Yes I was trying the unevaluation quotes too. Just my bad typing.

@tomleslie  Thank you. The Isee came about because sometimes I want to use one of my routines from inside a package to answer a question here. showstat puts in line numbers and Describe doesnt normally give the whole procedure

Make it easy to copy and paste.

Isee(CrossingNumber);
proc(A::list, B::list, C::list, E::list)
    local s1, s2, s3, s4;
    description " Determines if AB crosses CE.   Returns 1 or -1 if cros\
    ses, 0 if does not cross or undefined if alined";
    s1 := RonanRoutines:-SignedArea(A, B, C);
    s2 := RonanRoutines:-SignedArea(A, B, E);
    s3 := RonanRoutines:-SignedArea(C, E, B);
    s4 := RonanRoutines:-SignedArea(C, E, A);
    if s1 = 0 and s2 = 0 and s3 = 0 and s4 = 0 then
        'undefined';
    elif 0 <= signum(s1) and signum(s2) <= 0 then
        if 0 <= signum(s3) and signum(s4) <= 0 then -1; end if;
    elif signum(s1) <= 0 and 0 <= signum(s2) then
        if signum(s3) <= 0 and 0 <= signum(s4) then 1; end if;
    else
        0;
    end if;
end proc
showstat(CrossingNumber);

RonanRoutines:-CrossingNumber := proc(A::list, B::list, C::list, E::list)
local s1, s2, s3, s4;
   1   s1 := RonanRoutines:-SignedArea(A,B,C);
   2   s2 := RonanRoutines:-SignedArea(A,B,E);
   3   s3 := RonanRoutines:-SignedArea(C,E,B);
   4   s4 := RonanRoutines:-SignedArea(C,E,A);
   5   if s1 = 0 and s2 = 0 and s3 = 0 and s4 = 0 then
   6       'undefined'
       elif 0 <= signum(s1) and signum(s2) <= 0 then
   7       if 0 <= signum(s3) and signum(s4) <= 0 then
   8           -1
           end if
       elif signum(s1) <= 0 and 0 <= signum(s2) then
   9       if signum(s3) <= 0 and 0 <= signum(s4) then
  10           1
           end if
       else
  11       0
       end if
end proc
Describe(CrossingNumber);

#  Determines if AB crosses CE. Returns 1 or -1 if crosses, 0 if does not cross 
# or undefined if alined
s=00000289E0D8ED68, invalid component 8,3 of PROC

 

@Carl Love @acer  Thank you for your answers. I see the single row matricec can be multiplied as a cross product just the same a vectors and the answer is a vector.  I guess it would be sloppy and bad practice to use single row martices as vectors. Also when using whattype  which I am.  Are there any other obvious dangers?

This is a good thread on your question. It might give you some ideas.

Basins of attraction - MaplePrimes

@acer Thank you. I willl probably have to break it down into something more inefficient to understand what the the different components do.

@Christian Wolinski I have hilighted what I thing look odd to me

(add@map)(proc(E) ``(lcoeff(E))*normal(E/lcoeff(E)) end@add, [Q(expand(pn))]);

@Carl Love Thank you.

@Christian Wolinski  Thank you.. Idid notice the '' no idea what they do.
I had tried end proc but it is the @dd I don't get either.

 

@Christian Wolinski Thank you. That produces the lists nicely. I admit I don't understand the ListTools part of the code. Could you please explain it? I did look in the Help on it but right now don't quite get it.
  There is some error  in the last line of the code.  I presume it is intended to maintain the order of the lists under addition.


 

restart

pn := expand((a[1]+a[2]+a[3]+a[4])^5)

a[1]^5+5*a[1]^4*a[2]+5*a[1]^4*a[3]+5*a[1]^4*a[4]+10*a[1]^3*a[2]^2+20*a[1]^3*a[2]*a[3]+20*a[1]^3*a[2]*a[4]+10*a[1]^3*a[3]^2+20*a[1]^3*a[3]*a[4]+10*a[1]^3*a[4]^2+10*a[1]^2*a[2]^3+30*a[1]^2*a[2]^2*a[3]+30*a[1]^2*a[2]^2*a[4]+30*a[1]^2*a[2]*a[3]^2+60*a[1]^2*a[2]*a[3]*a[4]+30*a[1]^2*a[2]*a[4]^2+10*a[1]^2*a[3]^3+30*a[1]^2*a[3]^2*a[4]+30*a[1]^2*a[3]*a[4]^2+10*a[1]^2*a[4]^3+5*a[1]*a[2]^4+20*a[1]*a[2]^3*a[3]+20*a[1]*a[2]^3*a[4]+30*a[1]*a[2]^2*a[3]^2+60*a[1]*a[2]^2*a[3]*a[4]+30*a[1]*a[2]^2*a[4]^2+20*a[1]*a[2]*a[3]^3+60*a[1]*a[2]*a[3]^2*a[4]+60*a[1]*a[2]*a[3]*a[4]^2+20*a[1]*a[2]*a[4]^3+5*a[1]*a[3]^4+20*a[1]*a[3]^3*a[4]+30*a[1]*a[3]^2*a[4]^2+20*a[1]*a[3]*a[4]^3+5*a[1]*a[4]^4+a[2]^5+5*a[2]^4*a[3]+5*a[2]^4*a[4]+10*a[2]^3*a[3]^2+20*a[2]^3*a[3]*a[4]+10*a[2]^3*a[4]^2+10*a[2]^2*a[3]^3+30*a[2]^2*a[3]^2*a[4]+30*a[2]^2*a[3]*a[4]^2+10*a[2]^2*a[4]^3+5*a[2]*a[3]^4+20*a[2]*a[3]^3*a[4]+30*a[2]*a[3]^2*a[4]^2+20*a[2]*a[3]*a[4]^3+5*a[2]*a[4]^4+a[3]^5+5*a[3]^4*a[4]+10*a[3]^3*a[4]^2+10*a[3]^2*a[4]^3+5*a[3]*a[4]^4+a[4]^5

Q := proc (E) local X; if type(E, `+`) then X := ([op])('E') else X := ['E'] end if; ListTools:-Categorize(proc (x, y) lcoeff(x) = lcoeff(y) end proc, X) end proc

proc (E) local X; if type(E, `+`) then X := ([op])('E') else X := ['E'] end if; ListTools:-Categorize(proc (x, y) lcoeff(x) = lcoeff(y) end proc, X) end proc

Q(pn)

[a[1]^5, a[2]^5, a[3]^5, a[4]^5], [5*a[1]^4*a[2], 5*a[1]^4*a[3], 5*a[1]^4*a[4], 5*a[1]*a[2]^4, 5*a[1]*a[3]^4, 5*a[1]*a[4]^4, 5*a[2]^4*a[3], 5*a[2]^4*a[4], 5*a[2]*a[3]^4, 5*a[2]*a[4]^4, 5*a[3]^4*a[4], 5*a[3]*a[4]^4], [10*a[1]^3*a[2]^2, 10*a[1]^3*a[3]^2, 10*a[1]^3*a[4]^2, 10*a[1]^2*a[2]^3, 10*a[1]^2*a[3]^3, 10*a[1]^2*a[4]^3, 10*a[2]^3*a[3]^2, 10*a[2]^3*a[4]^2, 10*a[2]^2*a[3]^3, 10*a[2]^2*a[4]^3, 10*a[3]^3*a[4]^2, 10*a[3]^2*a[4]^3], [20*a[1]^3*a[2]*a[3], 20*a[1]^3*a[2]*a[4], 20*a[1]^3*a[3]*a[4], 20*a[1]*a[2]^3*a[3], 20*a[1]*a[2]^3*a[4], 20*a[1]*a[2]*a[3]^3, 20*a[1]*a[2]*a[4]^3, 20*a[1]*a[3]^3*a[4], 20*a[1]*a[3]*a[4]^3, 20*a[2]^3*a[3]*a[4], 20*a[2]*a[3]^3*a[4], 20*a[2]*a[3]*a[4]^3], [30*a[1]^2*a[2]^2*a[3], 30*a[1]^2*a[2]^2*a[4], 30*a[1]^2*a[2]*a[3]^2, 30*a[1]^2*a[2]*a[4]^2, 30*a[1]^2*a[3]^2*a[4], 30*a[1]^2*a[3]*a[4]^2, 30*a[1]*a[2]^2*a[3]^2, 30*a[1]*a[2]^2*a[4]^2, 30*a[1]*a[3]^2*a[4]^2, 30*a[2]^2*a[3]^2*a[4], 30*a[2]^2*a[3]*a[4]^2, 30*a[2]*a[3]^2*a[4]^2], [60*a[1]^2*a[2]*a[3]*a[4], 60*a[1]*a[2]^2*a[3]*a[4], 60*a[1]*a[2]*a[3]^2*a[4], 60*a[1]*a[2]*a[3]*a[4]^2]

map(add, [Q(expand(pn))])

[a[1]^5+a[2]^5+a[3]^5+a[4]^5, 5*a[1]^4*a[2]+5*a[1]^4*a[3]+5*a[1]^4*a[4]+5*a[1]*a[2]^4+5*a[1]*a[3]^4+5*a[1]*a[4]^4+5*a[2]^4*a[3]+5*a[2]^4*a[4]+5*a[2]*a[3]^4+5*a[2]*a[4]^4+5*a[3]^4*a[4]+5*a[3]*a[4]^4, 10*a[1]^3*a[2]^2+10*a[1]^3*a[3]^2+10*a[1]^3*a[4]^2+10*a[1]^2*a[2]^3+10*a[1]^2*a[3]^3+10*a[1]^2*a[4]^3+10*a[2]^3*a[3]^2+10*a[2]^3*a[4]^2+10*a[2]^2*a[3]^3+10*a[2]^2*a[4]^3+10*a[3]^3*a[4]^2+10*a[3]^2*a[4]^3, 20*a[1]^3*a[2]*a[3]+20*a[1]^3*a[2]*a[4]+20*a[1]^3*a[3]*a[4]+20*a[1]*a[2]^3*a[3]+20*a[1]*a[2]^3*a[4]+20*a[1]*a[2]*a[3]^3+20*a[1]*a[2]*a[4]^3+20*a[1]*a[3]^3*a[4]+20*a[1]*a[3]*a[4]^3+20*a[2]^3*a[3]*a[4]+20*a[2]*a[3]^3*a[4]+20*a[2]*a[3]*a[4]^3, 30*a[1]^2*a[2]^2*a[3]+30*a[1]^2*a[2]^2*a[4]+30*a[1]^2*a[2]*a[3]^2+30*a[1]^2*a[2]*a[4]^2+30*a[1]^2*a[3]^2*a[4]+30*a[1]^2*a[3]*a[4]^2+30*a[1]*a[2]^2*a[3]^2+30*a[1]*a[2]^2*a[4]^2+30*a[1]*a[3]^2*a[4]^2+30*a[2]^2*a[3]^2*a[4]+30*a[2]^2*a[3]*a[4]^2+30*a[2]*a[3]^2*a[4]^2, 60*a[1]^2*a[2]*a[3]*a[4]+60*a[1]*a[2]^2*a[3]*a[4]+60*a[1]*a[2]*a[3]^2*a[4]+60*a[1]*a[2]*a[3]*a[4]^2]

(`@`(add, map))(add, [Q(expand(pn))])

a[1]^5+5*a[1]^4*a[2]+5*a[1]^4*a[3]+5*a[1]^4*a[4]+10*a[1]^3*a[2]^2+20*a[1]^3*a[2]*a[3]+20*a[1]^3*a[2]*a[4]+10*a[1]^3*a[3]^2+20*a[1]^3*a[3]*a[4]+10*a[1]^3*a[4]^2+10*a[1]^2*a[2]^3+30*a[1]^2*a[2]^2*a[3]+30*a[1]^2*a[2]^2*a[4]+30*a[1]^2*a[2]*a[3]^2+60*a[1]^2*a[2]*a[3]*a[4]+30*a[1]^2*a[2]*a[4]^2+10*a[1]^2*a[3]^3+30*a[1]^2*a[3]^2*a[4]+30*a[1]^2*a[3]*a[4]^2+10*a[1]^2*a[4]^3+5*a[1]*a[2]^4+20*a[1]*a[2]^3*a[3]+20*a[1]*a[2]^3*a[4]+30*a[1]*a[2]^2*a[3]^2+60*a[1]*a[2]^2*a[3]*a[4]+30*a[1]*a[2]^2*a[4]^2+20*a[1]*a[2]*a[3]^3+60*a[1]*a[2]*a[3]^2*a[4]+60*a[1]*a[2]*a[3]*a[4]^2+20*a[1]*a[2]*a[4]^3+5*a[1]*a[3]^4+20*a[1]*a[3]^3*a[4]+30*a[1]*a[3]^2*a[4]^2+20*a[1]*a[3]*a[4]^3+5*a[1]*a[4]^4+a[2]^5+5*a[2]^4*a[3]+5*a[2]^4*a[4]+10*a[2]^3*a[3]^2+20*a[2]^3*a[3]*a[4]+10*a[2]^3*a[4]^2+10*a[2]^2*a[3]^3+30*a[2]^2*a[3]^2*a[4]+30*a[2]^2*a[3]*a[4]^2+10*a[2]^2*a[4]^3+5*a[2]*a[3]^4+20*a[2]*a[3]^3*a[4]+30*a[2]*a[3]^2*a[4]^2+20*a[2]*a[3]*a[4]^3+5*a[2]*a[4]^4+a[3]^5+5*a[3]^4*a[4]+10*a[3]^3*a[4]^2+10*a[3]^2*a[4]^3+5*a[3]*a[4]^4+a[4]^5

"  (add@map)(proc(E) (lcoeff(E))*normal(E/lcoeff(E)) end@add, [Q(expand(pn))]);  #`some typo here end@add, Don't know how to correct at present`"

Error, invalid proc termination

"  (add@map)(proc(E) (lcoeff(E))*normal(E/lcoeff(E)) end@add, [Q(expand(pn))]);  #`some typo here end@add, Don't know how to correct at present`"

Just my experimentation

([op])(pn)

[a[1]^5, 5*a[1]^4*a[2], 5*a[1]^4*a[3], 5*a[1]^4*a[4], 10*a[1]^3*a[2]^2, 20*a[1]^3*a[2]*a[3], 20*a[1]^3*a[2]*a[4], 10*a[1]^3*a[3]^2, 20*a[1]^3*a[3]*a[4], 10*a[1]^3*a[4]^2, 10*a[1]^2*a[2]^3, 30*a[1]^2*a[2]^2*a[3], 30*a[1]^2*a[2]^2*a[4], 30*a[1]^2*a[2]*a[3]^2, 60*a[1]^2*a[2]*a[3]*a[4], 30*a[1]^2*a[2]*a[4]^2, 10*a[1]^2*a[3]^3, 30*a[1]^2*a[3]^2*a[4], 30*a[1]^2*a[3]*a[4]^2, 10*a[1]^2*a[4]^3, 5*a[1]*a[2]^4, 20*a[1]*a[2]^3*a[3], 20*a[1]*a[2]^3*a[4], 30*a[1]*a[2]^2*a[3]^2, 60*a[1]*a[2]^2*a[3]*a[4], 30*a[1]*a[2]^2*a[4]^2, 20*a[1]*a[2]*a[3]^3, 60*a[1]*a[2]*a[3]^2*a[4], 60*a[1]*a[2]*a[3]*a[4]^2, 20*a[1]*a[2]*a[4]^3, 5*a[1]*a[3]^4, 20*a[1]*a[3]^3*a[4], 30*a[1]*a[3]^2*a[4]^2, 20*a[1]*a[3]*a[4]^3, 5*a[1]*a[4]^4, a[2]^5, 5*a[2]^4*a[3], 5*a[2]^4*a[4], 10*a[2]^3*a[3]^2, 20*a[2]^3*a[3]*a[4], 10*a[2]^3*a[4]^2, 10*a[2]^2*a[3]^3, 30*a[2]^2*a[3]^2*a[4], 30*a[2]^2*a[3]*a[4]^2, 10*a[2]^2*a[4]^3, 5*a[2]*a[3]^4, 20*a[2]*a[3]^3*a[4], 30*a[2]*a[3]^2*a[4]^2, 20*a[2]*a[3]*a[4]^3, 5*a[2]*a[4]^4, a[3]^5, 5*a[3]^4*a[4], 10*a[3]^3*a[4]^2, 10*a[3]^2*a[4]^3, 5*a[3]*a[4]^4, a[4]^5]

[op(pn)]

[a[1]^5, 5*a[1]^4*a[2], 5*a[1]^4*a[3], 5*a[1]^4*a[4], 10*a[1]^3*a[2]^2, 20*a[1]^3*a[2]*a[3], 20*a[1]^3*a[2]*a[4], 10*a[1]^3*a[3]^2, 20*a[1]^3*a[3]*a[4], 10*a[1]^3*a[4]^2, 10*a[1]^2*a[2]^3, 30*a[1]^2*a[2]^2*a[3], 30*a[1]^2*a[2]^2*a[4], 30*a[1]^2*a[2]*a[3]^2, 60*a[1]^2*a[2]*a[3]*a[4], 30*a[1]^2*a[2]*a[4]^2, 10*a[1]^2*a[3]^3, 30*a[1]^2*a[3]^2*a[4], 30*a[1]^2*a[3]*a[4]^2, 10*a[1]^2*a[4]^3, 5*a[1]*a[2]^4, 20*a[1]*a[2]^3*a[3], 20*a[1]*a[2]^3*a[4], 30*a[1]*a[2]^2*a[3]^2, 60*a[1]*a[2]^2*a[3]*a[4], 30*a[1]*a[2]^2*a[4]^2, 20*a[1]*a[2]*a[3]^3, 60*a[1]*a[2]*a[3]^2*a[4], 60*a[1]*a[2]*a[3]*a[4]^2, 20*a[1]*a[2]*a[4]^3, 5*a[1]*a[3]^4, 20*a[1]*a[3]^3*a[4], 30*a[1]*a[3]^2*a[4]^2, 20*a[1]*a[3]*a[4]^3, 5*a[1]*a[4]^4, a[2]^5, 5*a[2]^4*a[3], 5*a[2]^4*a[4], 10*a[2]^3*a[3]^2, 20*a[2]^3*a[3]*a[4], 10*a[2]^3*a[4]^2, 10*a[2]^2*a[3]^3, 30*a[2]^2*a[3]^2*a[4], 30*a[2]^2*a[3]*a[4]^2, 10*a[2]^2*a[4]^3, 5*a[2]*a[3]^4, 20*a[2]*a[3]^3*a[4], 30*a[2]*a[3]^2*a[4]^2, 20*a[2]*a[3]*a[4]^3, 5*a[2]*a[4]^4, a[3]^5, 5*a[3]^4*a[4], 10*a[3]^3*a[4]^2, 10*a[3]^2*a[4]^3, 5*a[3]*a[4]^4, a[4]^5]

({op})(pn)

{a[1]^5, a[2]^5, a[3]^5, a[4]^5, 5*a[1]*a[2]^4, 5*a[1]*a[3]^4, 5*a[1]*a[4]^4, 10*a[1]^2*a[2]^3, 10*a[1]^2*a[3]^3, 10*a[1]^2*a[4]^3, 10*a[1]^3*a[2]^2, 10*a[1]^3*a[3]^2, 10*a[1]^3*a[4]^2, 5*a[1]^4*a[2], 5*a[1]^4*a[3], 5*a[1]^4*a[4], 5*a[2]*a[3]^4, 5*a[2]*a[4]^4, 10*a[2]^2*a[3]^3, 10*a[2]^2*a[4]^3, 10*a[2]^3*a[3]^2, 10*a[2]^3*a[4]^2, 5*a[2]^4*a[3], 5*a[2]^4*a[4], 5*a[3]*a[4]^4, 10*a[3]^2*a[4]^3, 10*a[3]^3*a[4]^2, 5*a[3]^4*a[4], 20*a[1]*a[2]*a[3]^3, 20*a[1]*a[2]*a[4]^3, 30*a[1]*a[2]^2*a[3]^2, 30*a[1]*a[2]^2*a[4]^2, 20*a[1]*a[2]^3*a[3], 20*a[1]*a[2]^3*a[4], 20*a[1]*a[3]*a[4]^3, 30*a[1]*a[3]^2*a[4]^2, 20*a[1]*a[3]^3*a[4], 30*a[1]^2*a[2]*a[3]^2, 30*a[1]^2*a[2]*a[4]^2, 30*a[1]^2*a[2]^2*a[3], 30*a[1]^2*a[2]^2*a[4], 30*a[1]^2*a[3]*a[4]^2, 30*a[1]^2*a[3]^2*a[4], 20*a[1]^3*a[2]*a[3], 20*a[1]^3*a[2]*a[4], 20*a[1]^3*a[3]*a[4], 20*a[2]*a[3]*a[4]^3, 30*a[2]*a[3]^2*a[4]^2, 20*a[2]*a[3]^3*a[4], 30*a[2]^2*a[3]*a[4]^2, 30*a[2]^2*a[3]^2*a[4], 20*a[2]^3*a[3]*a[4], 60*a[1]*a[2]*a[3]*a[4]^2, 60*a[1]*a[2]*a[3]^2*a[4], 60*a[1]*a[2]^2*a[3]*a[4], 60*a[1]^2*a[2]*a[3]*a[4]}

NULL


 

Download 30-7-22_Q_sort_equation_by_numerical_coeffs_ver_2.mw

@Ronan Sorry about that! 

@Carl Love Ok so I see now.  Just tested it this way

(f, (E, V) -> V)(expand(A), exp(T))  gives  f(A, exp(T)), exp(T)

 

@Christian Wolinski Very nice solution. I don't quite get the technicality of the (E,V)->V So E=expand(A) and V =exp(T) in this case and somehow (solve,((E,V)->V))(expand(A),exp(T))  includes exp(T) in the answer.   I notice the " " after solve and the enclosing (....) are necessary.  I did check through help but didn't see an explination. Of course maybe I missed that.

Edit:- I see that (E,V)->V))(expand(A),exp(T)   is eqivalent to 

f := (E, V) -> V;

f(expand(A), exp(T));

@Carl Love Can you explain what index means in relation to solve? 

@Carl Love You are correct.  It took me a while to remenber the syntax to use.

 Interesting problem.  So I gather there are "s" nested summation loops. I asked a question a few months ago that required with a variable number of summation loops. @Carl Love answered it.

Is it possible to Add/sum by mapping multiple values from a list - MaplePrimes

So just to clarify can t[j] and t[i]  be replaced with T[j] , T[i] to totaly distinguish them from t?

I presume the inputs are M and s.

 Edit:-On problems like this a I start with small values for s and M and build the nested summations/products to handle them before trying for the total solution. I attach  document to see if my begining intrepertations are correct.


 

restart

NULL

`#mover(mi("l"),mo("&tilde;"))` := proc (t) options operator, arrow; sum(beta[j, s]*t^(M-1-s), s = 0 .. M-1) end proc

proc (t) options operator, arrow; sum(beta[j, s]*t^(M-1-s), s = 0 .. M-1) end proc

(1)

eval(`#mover(mi("l"),mo("&tilde;"))`(t), M = 5)

t^4*beta[j, 0]+t^3*beta[j, 1]+t^2*beta[j, 2]+t*beta[j, 3]+beta[j, 4]

(2)

T[j], T[i] := j/(M-1), i/(M-1)

j/(M-1), i/(M-1)

(3)

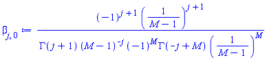
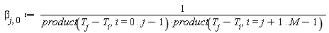
beta[j, 0] := 1/((product(T[j]-T[i], i = 0 .. j-1))*(product(T[j]-T[i], i = j+1 .. M-1)))

(-1)^(j+1)*(1/(M-1))^(j+1)/(GAMMA(j+1)*(M-1)^(-j)*(-1)^M*GAMMA(-j+M)*(1/(M-1))^M)

(4)

eval(beta[j, 0], [M = 5, j = 3])

-128/3

(5)

``

eval(`#mover(mi("l"),mo("&tilde;"))`(t), [M = 5, j = 3])

t^4*beta[3, 0]+t^3*beta[3, 1]+t^2*beta[3, 2]+t*beta[3, 3]+beta[3, 4]

(6)

``


 

Download 28-3-22_A_repetative_summation.mw

 

First 16 17 18 19 20 21 22 Last Page 18 of 33