Ronan

1401 Reputation

16 Badges

14 years, 39 days
East Grinstead, United Kingdom

MaplePrimes Activity


These are replies submitted by Ronan


@John Fredsted  Thank you for your help. This worked.

restart

mylibdir := cat(kernelopts(homedir), kernelopts(dirsep), "maple", kernelopts(dirsep), "toolbox", kernelopts(dirsep), "personal", kernelopts(dirsep), "lib")

"C:\Users\Ronan.Ronan-PC\maple\toolbox\personal\lib"

(1)

NULL

libname := mylibdir, libname

"C:\Users\Ronan.Ronan-PC\maple\toolbox\personal\lib", "C:\Program Files\Maple 2016\lib", "C:\Users\Ronan.Ronan-PC\maple\toolbox\personal\lib"

(2)

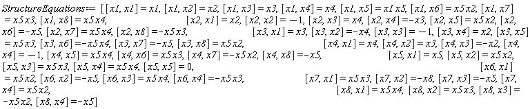
RTest := module () export Point2, Point3, LinePts, Line, LinePrll, LinePrpnd, Linepts, Quadrance; option package;  Point2 := proc (x1, y1) options operator, arrow; [x1, y1] end proc; Point3 := proc (x1, y1, z1) options operator, arrow; [x1, y1, z1] end proc; Linepts := proc (p1, p2) options operator, arrow; (p2[2]-p1[2])*x+(p1[1]-p2[1])*y-p2[2]*p1[1]+p1[2]*p2[1] end proc; Line := proc (a, b, c) options operator, arrow; a*x+b*y+c end proc; LinePrll := proc (l1, l2) options operator, arrow; is(coeff(l1, x)*coeff(l2, y)-coeff(l2, x)*coeff(l1, y) = 0) end proc; LinePrpnd := proc (l1, l2) options operator, arrow; is(coeff(l1, x)*coeff(l2, x)+coeff(l1, y)*coeff(l2, y) = 0) end proc; Quadrance := proc (a1, a2) options operator, arrow; (a1[1]-a2[1])^2+(a1[2]-a2[2])^2 end proc end module

_m643596096

(3)

``

NULL

savelib('RTest')

restart

with(RTest)

[Line, LinePrll, LinePrpnd, LinePts, Linepts, Point2, Point3, Quadrance]

(4)

NULL


Download Library_Creation1.mw

 

 

@John Fredsted 

Sorry to be a pain on this. Now it procudes Error cannot open C:\........\lib, for writing.

Any ideas what would cause this. Using Maple 2016.

in Mable 2016 libname gives  "C:\Program Files\Maple 2016\lib"

Interesting it works in Maple 18

in Maple 18 libname gives "C:\Program Files\Maple 18\lib"  ,  "." What is this "."

It Must be where RTest was stored because it is not showing up .....Maple 18\lib.

 


 Ok Thank you. That helps. I don't get the savelib part. I just cant make sense of the maple documentation.

restart

RTest := module () export Point2, Point3, LinePts, Line, LnPrll, LnPrpnd, Quadrance; option package;  Point2 := proc (x1, y1) options operator, arrow; [x1, y1] end proc; Point3 := proc (x1, y1, z1) options operator, arrow; [x1, y1, z1] end proc; Line := proc (a, b, c) options operator, arrow; a*x+b*y+c end proc; LnPrll := proc (l1, l2) options operator, arrow; is(coeff(l1, x)*coeff(l2, y)-coeff(l2, x)*coeff(l1, y) = 0) end proc; LnPrpnd := proc (l1, l2) options operator, arrow; is(coeff(l1, x)*coeff(l2, x)+coeff(l1, y)*coeff(l2, y) = 0) end proc; Quadrance := proc (a1, a2) options operator, arrow; (a1[1]-a2[1])^2+(a1[2]-a2[2])^2 end proc end module

_m1047098624

(1)

the Library folder should be C:\Program Files\Maple 2016\lib

savelib(RTest.mla)

Error, invalid input: savelib expects its 1st argument, to be of type symbol, but received RTest . mla

 

``


Download test_Package.mw

@John Fredsted 

 

 

This may be of some assistence to you

 

https://www.youtube.com/user/MaplesoftVideo/videos?view=0

https://www.youtube.com/watch?v=AZDw3SJE_jE

And Peter Stones site

http://www.peterstone.name/Maplepgs/maple_index.html

 

http://www.mapleprimes.com/maplesoftblog/203933-A-New-Section-Style-With-Programmatic

This is 2nd in the list on the right of your screen.

 

@Carl Love I have the quite a few looks in help for this. Haven't found anything useful on it. It seems a very powerful tool. I could ask a list of questions on this but would rather do some basic study on it and see how I can apply it myself before asking questions.

 


 You probably can't solve this without assinging values to to constants. Convert the constants to rational numbers. I just made up random values for them. Then run Groebner basis using tdeg. Convert the Basis using the FGLM command to plex form. Gives 4 equations that can be solved in sequence.

Actually you can run Basis([Q1,Q2,Q3,Q4],plex(p1,p2,q1,q2)) and it gets you straight to the 4 equations.

I just picked this method because I was using Groebnr recently.

restart

(1)

``

``

with(Groebner)

[Basis, FGLM, HilbertDimension, HilbertPolynomial, HilbertSeries, Homogenize, InitialForm, InterReduce, IsBasis, IsProper, IsZeroDimensional, LeadingCoefficient, LeadingMonomial, LeadingTerm, MatrixOrder, MaximalIndependentSet, MonomialOrder, MultiplicationMatrix, MultivariateCyclicVector, NormalForm, NormalSet, RationalUnivariateRepresentation, Reduce, RememberBasis, SPolynomial, Solve, SuggestVariableOrder, Support, TestOrder, ToricIdealBasis, TrailingTerm, UnivariatePolynomial, Walk, WeightedDegree]

(2)

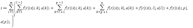
delta12 := 2; 1; gamma11 := 3; 1; s11 := 5; 1; s12 := 7; 1; F := 9; 1; mu1 := 2; -1; upsilon := 3; -1; delta1 := 2/3; 1; gamma12 := 3/2; 1; upsilon1 := 5/2; 1; gamma22 := 2; 1; gamma21 := 4; 1; mu2 := 3; 1; upsilon2 := 1/2; -1; delta2 := 1; 1; s21 := 5/3

5/3

(3)

Q1 := -mu1*p1-upsilon1*q1+gamma11*q1*(p1^2+q1^2)+gamma12*q1*(p2^2+q2^2)-delta1*(2*p1*q1*p2-q2*(p1^2-q1^2))-s11*F*q1+s12*F*q2

-2*p1-(95/2)*q1+3*q1*(p1^2+q1^2)+(3/2)*q1*(p2^2+q2^2)-(4/3)*p1*q1*p2+(2/3)*q2*(p1^2-q1^2)+63*q2

(4)

Q2 := -mu1*q1+upsilon1*p1-gamma11*p1*(p1^2+q1^2)-gamma12*p1*(p2^2+q2^2)-delta1*(2*p1*q1*q2+p2*(p1^2-q1^2))-s11*F*p1-s12*F*p2

-2*q1-(85/2)*p1-3*p1*(p1^2+q1^2)-(3/2)*p1*(p2^2+q2^2)-(4/3)*p1*q1*q2-(2/3)*p2*(p1^2-q1^2)-63*p2

(5)

Q3 := -mu2*p2-upsilon2*q2+gamma21*q2*(p1^2+q1^2)+gamma22*q2*(p2^2+q2^2)+delta2*(3*p1^2*q1-q1^3)+s21*F*q1

-3*p2-(1/2)*q2+4*q2*(p1^2+q1^2)+2*q2*(p2^2+q2^2)+3*p1^2*q1-q1^3+15*q1

(6)

Q4 := -mu2*q2+upsilon2*p2-gamma21*p2*(p1^2+q1^2)-gamma22*p2*(p2^2+q2^2)+delta2*(-p1^3+3*p1*q1^2)-s21*F*p1

-3*q2+(1/2)*p2-4*p2*(p1^2+q1^2)-2*p2*(p2^2+q2^2)-p1^3+3*q1^2*p1-15*p1

(7)

for i to 4 do Q || i := expand(Q || i) end do

-3*q2+(1/2)*p2-4*p1^2*p2-4*p2*q1^2-2*p2^3-2*p2*q2^2-p1^3+3*q1^2*p1-15*p1

(8)

``

``

``

GrB := Basis([Q1, Q2, Q3, Q4], tdeg(p1, p2, q1, q2)):

nops(GrB)

17

(9)

for i to nops(GrB) do i, indets(GrB[i]), GrB[i] end do

17, {p1, p2, q1, q2}, 592578269604476160594827614911477308162842405749109663347782390051923633004734174356430848*q2^5-8188889431536302140049751824134114906625554964566164162808109058039884470794985989956085253*p1*q2^2-24587233360022679803255608473895527568022923297141513181262174962649694644760668886897649567*p2*q1*q2+22786588476144950976672317740111064360367964454837626088933514396538117801522803510392374704*p2*q2^2+6438311734146197038829024314893026689264219187493417543118078385389241447385754107564452960*q1^2*q2-74150883012538497614206422982582748488283239434922347917088240024849446654045185759181533896*q1*q2^2+71929283757489671359324863077977284676436810037206875951623104916272397592262490703718196960*q2^3-21720093936910349498352115640826397108357333106684075471160032664468997417496322730988596*p1+137351033017067908196563406622928915908161196049004058575377798466548792647206274749712680*p2-905803076041354676839091395975885239909593554832874332384756219299565023992245509280524332*q1-39703025086530695609460658571362762190918220343050444181437599764040744395055532110554852*q2

(10)

GrB2 := FGLM(GrB, tdeg(p1, p2, q1, q2), plex(p1, p2, q1, q2))

[23529905144891662130957340897985972312689276274497286197156421123362404217913344*q2^21+5669277369278238894379366702557124216874783101828007958382041118101180795146207232*q2^19+517504442041772340209755304090945814442473670104605422413411434899841221982325755904*q2^17-1673141918698417015670758404051809076047854587269396795704583484619166852781991120512*q2^15-4148347321052562742073381069917678146910417168131195382866724142328209560540112016579*q2^13+13227196642107897504794138804070048094330201183615590373786672595173402713616857291921*q2^11-324761287574034180221762897002387964115887520233913996182546800548655312296974049568*q2^9+4026926275605470840464403894948857645082998125830684298577814951295355397119662939*q2^7-2883155636228620580609498678948186996140109625304971279509632275551613102169082*q2^5-4492195105642454327216937953173659821420804568151469887748650469670001549281*q2^3+1308107123169304843127495424319349686979253573360024371138702058001363337*q2, -18495251288260757861344781741648014476775101683984202117929009455111064670768473931126567232765673953873392585100077315914904994775083809335762048542236312836512137057426176168098294543369347490262874396091808959093124048414688771291094153182322745031464016209482353458034907400377339587661889233771361169048117210565053359337937049205623712903387727738904687414085887251134460652937072745047807449764808572531497172435037232893845898846502436819379176251952751585440744204902796912412417447369100911398799554430335398411306309632823588844652150632462043384887995614739479039047149863997208316787911129122647090116132931776693229123949547225088*q2^19-4456266304865066866522077621576181322538418522659162766345426723065130527360468502715490779920393473182290111142983363451196116958685978477385850215624036247778682210160682133267182671890048997060299047565421214107913626539830132017426835956927048716929827521881627820010553400309620100188372871756205407296881723535145292729106997196130360049943943745967410659318278000792246261503813454543683707986839067718167144189427000075857308384307742701627287428936036000472274979139539842236493918187650613034440276415280683238842913945527646004762436671682605287722665403198381300364763350052621725513107703000302929775953444338233471570245380187619328*q2^17-406783229160352346750990985480126279075320418621820284659003495844275173866954838992171281522239658065521190721987595558838842591467914380405730441306364622741914989898149190351274764642622475606529421822188493213088253913699516173744529511337296500023129996085657927139119421019203461306566894902276473393439581383726229526091257672770116013694385983737494786146837689205443763390909036343118202494645401410910903648465623604043434218841497453589685560339329077597462295875616931681891009103458558619583193169165383201943006143816126875394016435747848278434517603401457771793885737039941693049734451044865073082048722831871649624602156519298461696*q2^15+1314381828533233882884694369653494347797768185379331791631550606512505400580338647145788814571530587135389169004860265584524490107292789570503700558107989577590774359493497852229793681646252998048255317218714128739713780255797064412974123804295351657230161937816192881279982516931681996617841062567656661200938912351547860540573184020241183159036062668286925395553342024151948863949596694515988992657285356260053067042269349131746711830152609124950142789314542801353248457047050159127220398729896868502732962972887220320931896167649763723241483534087921001301344820396269434879674748106968775224771768608690505651067563894244447952050155769968311168*q2^13+3263190916010190122075950199983057956163906246860798097663729940936607223849143593569138063110471487104508235535004742670104287281504095091516863006213642869109626710922712245017336146336412078761799028742144808042731654888504032442524340133817570071779104731164781234477988437566657804579250733514102022541623891175455301161649746881051707200613009293678514488812324770803846486004838441930477722617895474284313176730938631505219221891553805377719669193009754017030565713979339490607890971750810986601028739114461248081471914541361074474649064022390868951881026566385365257503316439685181808875378046399406983027863532818071709001469295426214825929*q2^11-10390894045244315662951695098920934580231095943793902060721981695131181082105029079915741890389879830614730401122777092048822707212682397981835454262852614760682246985192469942318722596345822705827631324617030646257352144699714872837017977167735899866846477044371316021843614221177630653797220088727620588348333763785897524959315469331507366117835148453624531988622435022923202048157756144796680265739373187691869844831441406978340031712904221835833568005280772546455124399994443844386208274923770859726522227993670301695504405498657819577088103198746012359107776852969307512970019925230881832066596601167659652251145216435102434217869871513895367614*q2^9+235837434198626190420669581725727182177715502337260240893454552316507989590317015453586528008259928314736176059358916536995322613017907730452168505348338950307037459947235208701415451546071749732916118995724275324297952923731356439081836114499840123968224777980861726282998817172223465641461947688020069180444426026624024532693440282677900050138711783801353448893478289092813643919186174954074891593864619879122280077014466015117570282630468042487756228095507501329138413484468319557586234252938737986912186555717390906295984877194294990860727357988728197855284193974662226107158463405048897204507799360932805750421739689360823356566390658204099373*q2^7-2716604266112159814715977313149435248445221533300929632757455294792229585475881237140800985959871167825425884989104754887635441319108165554352693322368588645732077799833018530349225446432573260015926872557650618013277722715117214085887902537873585748026390890874768682205779369210091459578548994525860842933106923174405142550848535317885138081294027844622477957224840418664390631646564487601652879861380041327013696422024096785211589655843117589304492845526767767085850366535761917743709648986899895152394738096053126432423272936594284378527171754281867972489056551426232191339621689085289754838193747870216486879883644729919539307179992082398116*q2^5-2987470457714316820376663376261489678743674796281966813440673426996666055301317898056618872940587944788047446506863092227602832144057647424949306992244361191146037088415719336274416696020106849742762274051489806372168540924741087699155345603566761822998755460734941523384409172711487789324377342321114373564565303092187704897198236017536546454242971454258762616117931616141443506124753208726170388754709686067524747524785495267809528599802469419661638514099028613954579232147322670459069295420140340711846725027440851424049008764882278486247922491599187057450591620619995782760972377269232984220185683568508603997335201091552906375517585185961*q2^3+96013226779836323367617362523779424044530021376376253614734535770626736256613614483575818209764228904778736698348526559546539853023440551094123973625857422025638922639272143624845550502523648506865684575708702529595890383409292110659725675496245173856808896522971243459325590313248951175723487324199282198373017926330335426317167913880367518377544815722962252841333819822182092493407957908437444191477504989356104604927997683166456471090887539983076300945248318316496889605573385510987155918724973310732030274804668374175551492490253799804153928196584740458435058714257590435668283932177787794133403592633806370380268992664401397541665678*q1-126763189804835288313306953030178391118374054052450455263498891260251595589976269144884042811971736170230677004284352775371630110831079130875574534568147774235185574003377998210821036614878745707297805472918141788813818307597926664209278464984986254920968622215552040914339146243057720711948731410765741019021286164396149169343648101882220307665549516167287859756120370093827721688281372793318170840903677941630415530195808420788505606452149407975491810201557476131651460198564643502155526294421820639451813324895469043009903265467520896008587225452537682213127343133935862322675961350830051437258613727031620515823120648855677976157100776*q2, 116122036494064527780443542321897761698158544199793204954858534564368841522388931809440753493391455349764525979284786258698388296009538955020616449430755260682459169607351632952006555956308402614748921757252591998993704113616493680203054624233391953963304796244123905361941053666345995866277351913293442743317237661986855209435155265327072729162111428978533726055938052522865182841683401884685221468737457599297410566807188399656363150993565013267784007144681019862865898697620304565288695462036264167099143219671201108921358104350703349183874984861104039053765224502382548740042908992758423083869941979978354782914378185538758311186792078901248*q2^19+27978375008672539081496646262752802197441046453710024801751651696452680205382858898550169851424638698672438820563476320886259422097795665341365597881477927130800326405498812769884985959933138956626127940969306097156593471329684810675154603064565202693567500601255780480102416631062778021640336643391756052057750497065848512413914675206176856830913990226895368749670857483545998339026858607451873139815205765741996437279680615681873511128487835582282659510403659482093346706067003954387728549054198808453222909959465545981376932707972633047208204357438508463355078595670894090930023817136434209848610016051320886099489891706921114208569547133288448*q2^17+2553932288996530510761800900268632904312939874919701213036942357684780648177534674312911071728180338583343971507587802063237137031507160922019816077431674907606393389557489575223718799427340303643546372680945822324158136959008495275123224870305812408100159207112743856545548021500770265083035442363769835024918019962615391190866075492400970358423921345047524118188339493964875387508773469886571442477506116214903222434718285067546336848665087574951035490973175039686930312069612708880638074714569033937385712809142185614320265426023208734966955596765369480212595166986936639319135772648267190541421316280254177281833989906996584686678391514912735232*q2^15-8256649013814646658337060104783800426022156796759430468731646919195543712712576563511499806557644739594656943688351796161816356391186523710826228565978696656985393613669127975301539683809841649824477709263338827688324448425674163446063489220010972209289472828717488044314372832417930581159467108732587758177911224892096154012920046547060673634218062613418609456203054263525871338611329850489590537171951978533787221100869518732279227900717613726291665660539147808428848182358514868393720149445763942297466247867242832214724111377525108592674460472465718921620812764963143862891213566418208913178617711089756776902736775318314045208270271308674677248*q2^13-20473882003273914869773834712838407999355035440561349187891741969332648612707862450007602024843187699395995662098172512316449783627842055823438607381796400273937900604362886245633923895765131769267476823169561117254267343041233643936276250873653940470538172400928275072290612390017739890600072984799759121194697516613534938557029022725766979134373678255333904891309073594229760958734005457030561339834925767346770870301268740051137490080816773973993137633321094008923742583915527289949615988645211370864594725382024928980418801219697268249444809463456194752480515437670626976557273478561430100882655436946893517869091956975207602721922020206122373132*q2^11+65273755072378713353146213985613868963544189412048851721106630014059277007467059138837874973505774590453294246434008718091538654611202664086103488744167559823095908206166932666892905865933202140397907283561012303971909040336529376571274941297229909419114443244898445464472127718800891986687623074246106078985402873779115881952955507934156670490084842146264497150928870587981462785681521202086171458702666123960841264072805320162984449771499717692447829428217293748586513228592271185178363087992340023943772626459617488478577827155080297378894390197281907347082355321136128357740446636312344796403394680982963677028454503023651906280340875106406686276*q2^9-1591312768425483123336090051897937730718248955364770080809199989430173311839215900603660671480979166769365213893947207569928526598637324473309280095283890821301590947858260090533945659470769144747337815857407662912351645009710058993996743480579710657007357447427018181620262163393654921546721783951670501984689247980286722686350454553136766449548295862502010660269094681030784981377439718254415244873791475418219143575496289799186935431103937688798947474869294108624373833212752144048734902116222674947633198076636213138924628811063604932716206093140921227653602581015543694542506702827464928359028131465706196784872768635034584083748376343028470218*q2^7+19506308206952299447092814239516251356560095037419077677353269383823654688259834273753870461134838703354344357772951166001656108845870882070127565229074739140118186114604369955508366613748959183319652645739439662534546401481482828899631975408871884442712691920390859666804681022222656964597076058642794746974979250187851066156906055677487357746258814091155168297519330541140437154334522800186605009905801141452967731910336235974411208893330230327927350786496436880657033510371144141188888037488433691312227655389858223807298523631546725454710050449866520838536265215347016336386645314033495039620235989090342413778578000178434184765722314934483439*q2^5-8890033897267756946830115250570253088139146016462439207821942929228295416184120143776593807060244567129958488262835844389188648873490356709519569622124185774507443008628832679795006606750413650225529626928386127045765537105820628266184446272986556003444473471725751251004594702883910816788673350014979108068284351219659371084865501594346583549322190683998267949248693127077636255139784493668496830570213412967747034012916882792820126490426770254234688553750033247457935674997970446193270791546229381021596962864859987051659098189675935460762487204528504466922175315326819627189997282439842056774490454784475575701224308197933275439319049238562*q2^3+240033066949590808419043406309448560111325053440940634036836339426566840641534036208939545524410572261946841745871316398866349632558601377735309934064643555064097306598180359062113876256309121267164211439271756323989725958523230276649314188740612934642022241307428108648313975783122377939308718310498205495932544815825838565792919784700918795943862039307405632103334549555455231233519894771093610478693762473390261512319994207916141177727218849957690752363120795791242224013933463777467889796812433276830075687011670935438878731225634499510384820491461851146087646785643976089170709830444469485333508981584515925950672481661003493854164195*p2-24765328181853848357384873103720062928316418787504556175501132823427902197743797310768944622744105087633342964880620598858580514239402631470333260184042493201573109426919045896405739986704995462515535414647869360287542198278559853666204494718343671130250623100287998747814835095716190054465611424031455386108819801557045165156877202697693234402448282842404793039408591294719433909255256081918199603379551830258582764829709012447308801413534723542474174347746767709896011448920984062552467340743685177003369809068672997969348551687607799946320385703908572078046388767482506371573899708389433528627833977379580195574667690269115102716139751948*q2, -390290566340339964450841979725464004484168918359040029278772591371723554419219715842640841856876550753764429336494118982409565748262342792847113658594797961554695506229716114326238308950708520160125525528382198517342464502378750014015940282261952602233012386636039024484726912271080532726519308837396274649898279776328640419651075706949219870194719763592378720885364412098444676026990239992926507154227713037096638087372267682098929537653918741634954201780519749982831285200329636543364135716922946732297861468984978379800962111505423917141512401633618165385964240179317172477608505727190130370906923806993157848175041270514412429684891711438848*q2^19-94036265559049573700137647118346357576147517062868584911588711831241489320509392231083092640937154603769577006173954976880806079235850950079324856876413993057951281041749514612288300600310258502177149846839874373229058122282749106626545276386556452948183813836526192359888960812678374890251161359807639770046971989743827269274641067720863892180744210677226442585076886373352822421811626554111683684069001986053691043886611341088410705689573847754710856430156186049653691480056168434525366712118869523610977665611824342138233593023216207233145622847343578439987136474984217322984547000633054105037501516670163730349227635808124202820702611280232448*q2^17-8583835913618820574203492452075672450998789445777846939940038025087931576748605305502607495156563035623219792317822458797546454888340949199800651046269447056018663782685476241930911711484090944463934105772931817399230088197652770985050297762507055824047798416998967773905233360822320089863727682135512730733138099825758415043342773424051900586254385675423607989268580071299589054708314000841163829176949711391933117716751353169883767620125421790375348593104378837256173801765786688755883788991528134762634941091527939086458658672533806691202333679352715446246481652614317315385395226119277399311443910602617708455965957113073181893304365919953272832*q2^15+27753403905375661488424987496456453445319429211815088175271599156379790150047346964901072237051408344425455603504296587155421094532986633917607730923269787955128402509179237427283750450854554602882668802339422440761201798768302055142842192447279185445357532039448634789971631056460342659980509289455722408314613388137180456450287825925429214619487143792291069276826931583708106772989114186381235514943755024301812333898055370271615171505113415470754780810367580878915069780457636583617441382375156903327585517987246264350788235098832777365156181428253274872992641554385370877269222822099096233040727542038013255126798724513029570249119363104162313728*q2^13+68805420426715272510965415684074832410415251714680264454833735445400562521387845234226742524193284753037419283264138377880392870417165297625963868560191136982593097447091141042685687714143301956517252278196737542074429755687448175990563233677510285462320087072236030166618872334030468268819118623305383578373473400476572340653714033799985559611768168560524924134802959713288789282074109298292978629317634120466210875227618217347245659046518251392191709870181468095537438874618661012062666953177993031231437660389151584106251526392457028330346450879459768677073492114555014942648959870245694984192688653948343937538554025641909671607286977546395657652*q2^11-219407520297995989695831675671499217935731879234597533908967356146581202836972126891710935153043244495888336109670727031600374080895234564379052842779352744713447486983810050157047875919172190265948505027033324758478939482486826927538022012633700561774820657644660694813607322092622798637926283815289966356393065630361902863961604558496994215233622209227918554332974617473537695389896356892820534571904912832327366369891666738111352769201390947038213807268025355486860802822847959533322868368800913634569814358507943261393544457747319334373785897037521623904832740268540561575659362704363489220149935771804845706844436322570182987932491392631371445791*q2^9+5412285920625771775853597173065194025942082020330806347089349617853863243129258570110831222661350211530933955137170133553450380353506256441170790225412923928092610390647912313243830810135578496645086257509656715164143354625885041113840574758429916952340731463795775947355962785129745244349679374553470994124530688581767684329474344733470607402316638315374383909414981549000313493057858271504183448117670757100014021590992374880872708619746011728663415431883902808608077779254385963661579598109015530400354325864409190824681562679457270697672589180706004330133440013122980553320555546779569537294936217286021176433589909280751602228899477166376142518*q2^7-67399143184164577734161118512532542529013436301758779058578412359050392518741810300075623512168767929646400129049227940128995953594595477753066605620328666713453386630892913623484473661421085261660581489176648423803288744275683205292704106562788975116558377411402669071434572135810774401449180360195309794669071183128994382975419060400200958039132429229644644056069384853268695866329797602930301319277929761628264083294188395874222847436839061010366689335080480221165008632748220500754270978257549473572017800569468903205107859156505589305532032796314050114441173210958859894591933935454433840187737280303846595084045651403534679566296376669990069*q2^5+57767965188517067354866076614545992050932089229740265407544903101056798927925397473706005713420600011255683233042912696428768679519052550148669023326851044337411675662218167229250995297701838161931040338626868730749004107070409682776340978116004184800429663798612990334106100142469444695682024667964946998204735490746280882764069844639017310110346018032082281548476760016399225068692305610045881740222302587344867490035105806032794879031292741227552478536844644874755862407430548318352162647569955898213879995187918557220053667107393900156168256983448975079313592934636131342843948273873141928613507938100221779240408198550107724408825816638552*q2^3+480066133899181616838086812618897120222650106881881268073672678853133681283068072417879091048821144523893683491742632797732699265117202755470619868129287110128194613196360718124227752512618242534328422878543512647979451917046460553298628377481225869284044482614856217296627951566244755878617436620996410991865089631651677131585839569401837591887724078614811264206669099110910462467039789542187220957387524946780523024639988415832282355454437699915381504726241591582484448027866927554935779593624866553660151374023341870877757462451268999020769640982923702292175293571287952178341419660888938970667017963169031851901344963322006987708328390*p1+47218523162563506606359754791822860875638392954402128101232582859473190275048703674703843336324679960537904057520998432027259617667523628575634898267949658367834461224148571870659797502070405771278005365837441897251534788503664320714030806163375524926614829915308279717595020890319203574867425971354977016068108947978758631562480561492512971718962997571926373035781882812875147623470560925078967775915475769435807239417190524181497876879643846637970934629322940326995322002712994695846142907398787436812125985876944599676342828219329809465466491031847857697963005389052535368205129296996645425749682625205470110136255530902112116717254693583*q2]

(11)

``

for i to nops(GrB2) do i, indets(GrB2[i]) end do

4, {p1, q2}

(12)

``


Download solve1.mw

@Carl Love  I don't quiet understand. I took what you did, looked at "help" in Maple and after a good dose of trial and error got it to work.

@Carl Love Thank you, I also manged to use technique to built a diagonal matrix of 1's and insert a 3 x 3 matrix in lower right corner

M1:=<<Matrix(S*(dmax-1),shape=identity);Matrix(S,S&(dmax-1))>|<Matrix(S*(dmax-1),S);C||dmax>>

C||dmax is a 3 x 3 Matrix.

@Kitonum Thanks, easy to follow the logic.

@John Fredsted Thank you

 

@acer That's whats causing it. Thank for all you explaninations on this.

@acer  I should have said I downloaded your wokksheet.and ran it as it is. That is what I meant. Wondering if it is to do with a Maple setting. I'm using Maple 18. Am well aware how to upload worksheets as I usually do an example one, when I have a question, Admittately in 2D format.

@acer 

Very explanitory. I am a bit confused on one point.

after you assign a:=5   M; dispalys as 5 , 10 ,15 20. On my machine M still displays as  a, 2a,  3a, a^2. rtable_eval works fine.

I can't get copy past to work from my screen to show you.

 

a:=5;

5

# You see the 5, not 'a', but this is just an artefact of evaluation during printing.
M;

Matrix([[5, 10], [15, 25]])

 

 

 

@Carl Love 

Ok. That solved my issue. Took a bit of rearranging in the worksheet. I had to use simplify(M) to make it evaluate.

First 28 29 30 31 32 33 Page 30 of 33