acer

32577 Reputation

29 Badges

20 years, 29 days
Ontario, Canada

Social Networks and Content at Maplesoft.com

MaplePrimes Activity


These are replies submitted by acer

@Ronan It looks as if you might have accidentally saved your own packages to that DirectSearch.mla file at some time in the past.

One way that could happen is if you used `savelib`, and it was writable and first in `libname`. 

This is one reason why I prefer to store to .mla files only by using LibraryTools:-Save (not savelib) and specifiy the library file destination explicitly.

You may wish to (remove and) reinstall a clean instance of DirectSearch v.2.

@tomleslie I could get around that abs error by a slight adjustment to Carl's code (but without having to raise Digits or set UseHardwareFloats=false, etc).

Eg,

restart:
ABS:= (a,b,c)-> [a-b*c <= k*c, a-b*c >= -k*c]:
(L,M,U):= seq([cat](x, __, 1..3), x= [l,m,u]):
Cons:= 
    (op@ABS)~(
        map(op@index, [L,M,U], [1,1,2]),
        [.67, 2.5, 1.5, 1, 3, 2, 1.5, 3.5, 2.5],
        map(op@index, [U,M,L], [2,3,3])
    )[],
    add(L) + 4*add(M) + add(U) = 6,
    (L <=~ M)[], (M <=~ U)[]
:
Sol:= Optimization:-NLPSolve(k, {Cons}, assume= nonnegative)[2]:
evalf[5](Sol);

    [k = 0.23607, l__1 = 0.40747, l__2 = 0.31246, l__3 = 0.16437, 

     m__1 = 0.45430, m__2 = 0.36753, m__3 = 0.16437, u__1 = 0.54121, 

     u__2 = 0.44972, u__3 = 0.17998]

@C_R You might be interested to know that there are some common terms for some of these things.

Your examples may be considered as functional programming (in Maple). Good examples are scarce in the Help pages, eg. 1, 2. Basically, Maple allows for a quite useful functional syntax.

Sometimes elements of this are called functional operators but that's a slight misnomer here since functional programming can cover a broader flavour of procedure than just an operator -- in Maple's technical sense.)

I too am a fan of using an anonymous procedure (or some concoction from a functional algebra) when I want to make convenient multiple references to the same thing, from within a single statement.

Depending on who you're talking to, you might hear some comparison of such anonymous procedure use in Maple with pure functions in Mma.

@C_R You're welcome. Here it is again, and below a slightly more involved alternative, for your information:

[Int(1/sqrt(x), x), 'int(1/sqrt(x), x)', 'sin(1.2)', 'cos((1/6)*Pi)']

[Int(1/x^(1/2), x), int(1/sqrt(x), x), sin(1.2), cos((1/6)*Pi)]

 

The original approach:
((proc (x::uneval) options operator, arrow; x end proc) = value)([Int(1/x^(1/2), x), int(1/sqrt(x), x), sin(1.2), cos((1/6)*Pi)])

[Int(1/x^(1/2), x), int(1/sqrt(x), x), sin(1.2), cos((1/6)*Pi)] = [2*x^(1/2), 2*x^(1/2), .9320390860, (1/2)*3^(1/2)]

 

We could alternatively have applied the identity  x->x
along with value@eval (which calls value after calling eval).

Both sides of the equation get applied to the result of
1-level evaluation of the reference.
((proc (x) options operator, arrow; x end proc) = `@`(value, eval))(eval([Int(1/x^(1/2), x), int(1/sqrt(x), x), sin(1.2), cos((1/6)*Pi)], 1))

[Int(1/x^(1/2), x), int(1/sqrt(x), x), sin(1.2), cos((1/6)*Pi)] = [2*x^(1/2), 2*x^(1/2), .9320390860, (1/2)*3^(1/2)]

 

Notes on how the alternative works:

The reference, with full evaluation:
[Int(1/x^(1/2), x), int(1/sqrt(x), x), sin(1.2), cos((1/6)*Pi)]

[Int(1/x^(1/2), x), 2*x^(1/2), .9320390860, (1/2)*3^(1/2)]

The reference, but with 1-level evaluation:
eval([Int(1/x^(1/2), x), int(1/sqrt(x), x), sin(1.2), cos((1/6)*Pi)], 1)

[Int(1/x^(1/2), x), int(1/sqrt(x), x), sin(1.2), cos((1/6)*Pi)]

NULL

Download expr_equals_evalexpr_acc.mw

@tomleslie My Maple 2021.2 and Maple 2021.1 for Linux both have this command result,

interface(typesetting);

              standard

Curiously, the GUI's menubar's Tools->Options/Display shows "Extended" for the "Typesetting level" item.

I have previously noted that, and found it a weirdly confusing state of affairs in Maple 2021, and supposed that it was an intentional change (whose ramifications I don't really grok). I have not changed the GUI's setting away from default, on installation. And I launch Maple without any initialization file.

Anyway... if I manually make the call,

   interface(typesetting=extended):

then I can reproduce the undesired rendering that you showed. But by default I get it as I showed it.

@mmcdara Suppose that one has a preassigned list of strings L of length m*n (not all entries the same, say).

Then there are a variety of other ways in which one could construct m-by-n Matrix without having to manually enter the columns or rows (ie. as individual lists). And one could place the entries column-wise or row-wise, without having to transpose.

For amusement, here are some examples. (Not an exhaustive collection...)

restart;
interface(rtablesize=100):
with(ListTools,LengthSplit):
(m,n):=4,6;
L:=[$"a".."z"][1..m*n];
Matrix([LengthSplit(L,2)]);
Matrix([LengthSplit(L,m)]);
ArrayTools:-Reshape(Vector(L),[m,n]);
Matrix([seq(L[(i-1)*m+1..i*m],i=1..iquo(nops(L),m))]);
Matrix([seq(L[[seq((i-1)*m+j,i=1..iquo(nops(L),m))]],j=1..m)]);

The OP has also mentioned,
   Matrix(m, n, (i, j)-> L[j+n*(i-1)])
for one of the flavours laying down entries row-wise, ie. like my,
   Matrix([LengthSplit(L,n)])
Both are easy, and fine. (I sometimes have an internal resistance to using a user-defined procedure which might get called many times, if I can get by with seq and indexing. That's just me. It doesn't matter here, and it avoids production of collectible garbage sublists.)

@janhardo 

If you actually intended z(phi)=exp(I*phi) then note that is not what you wrote. Your earlier text did not have phi in the exponent because it lacked any bracketing. If it were then I might guess that you want to differentiate with respect to phi. I shouldn't have to read your cited Dutch article to get such a basic detail as the actual syntax of the example.

other_diff_2c.mw

@janhardo How am I supposed to guess what you mean by the following?

   z= e^i. phi

What is the variable with which to differentiate?

How does it appear (suppressed?) in the terms on the right-hand-side?

As for a re-usable procedure, well, it can be constructed to do all kinds of things. But guessing the intended scope is inefficient. If you care to carefully and completely describe your full goals then progress could be meaningful.

The purpose of combine(...,power) was previously made clear. It is to handle the following kind of simplification (which may or may not always be relevant, depending on what further examples you concoct...)

diff(x^n, x);

x^n*n/x

combine(%, power);

n*x^(n-1)

I really hope that you understand that it is impossible for anyone to create a procedure that will produce your as-yet-unstated, desired form of output for all future examples which are not yet known. That is not a Maple thing; it is a logical consequence.

A simple re-usable procedure that prints both the equation and its derivative, for those standard Calculus examples. This is merely to keep the input short and clean looking.

You could even hide the code that defines procedure B, eg. in the worksheet's Startup Region.

restart;

interface(typesetting=extended):

Typesetting:-Settings(typesetprime=true):

 

B := proc(eqn::function=anything)
  local var::symbol,oldvar::symbol;
  uses Typesetting;
  (var,oldvar) := op(1,lhs(eqn)), Settings(':-prime');
  Settings(':-prime'=var);
  print(eqn);
  print(combine(diff(eqn,var),':-power'));
  Settings(':-prime'=oldvar);
  return NULL;
end proc:

 

B(y(x) = x^n)

y(x) = x^n

diff(y(x), x) = n*x^(n-1)

 

B(y(x) = f(x)^n)

y(x) = f(x)^n

diff(y(x), x) = (diff(f(x), x))*n*f(x)^(n-1)

 

B(h(x) = f(x)*g(x))

h(x) = f(x)*g(x)

diff(h(x), x) = (diff(f(x), x))*g(x)+f(x)*(diff(g(x), x))

 

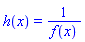
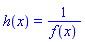
B(h(x) = 1/f(x))

h(x) = 1/f(x)

diff(h(x), x) = -(diff(f(x), x))/f(x)^2

 

B(h(x) = f(g(x)))

h(x) = f(g(x))

diff(h(x), x) = (D(f))(g(x))*(diff(g(x), x))

 

# optional
Typesetting:-Suppress~([f(x),g(x),h(x),y(x)]):

 

B(y(x) = x^n)

y(x) = x^n

diff(y(x), x) = n*x^(n-1)

 

B(y(x) = f(x)^n)

y(x) = f(x)^n

diff(y(x), x) = (diff(f(x), x))*n*f(x)^(n-1)

 

B(h(x) = f(x)*g(x))

h(x) = f(x)*g(x)

diff(h(x), x) = (diff(f(x), x))*g(x)+f(x)*(diff(g(x), x))

 

B(h(x) = 1/f(x))

h(x) = 1/f(x)

diff(h(x), x) = -(diff(f(x), x))/f(x)^2

 

B(h(x) = f(g(x)))

h(x) = f(g(x))

diff(h(x), x) = (D(f))(g(x))*(diff(g(x), x))

``

Download other_diff_2.mw

@Preben Alsholm Yes, that is the point: the second behaves differently due to automatic simplification, which occurs in the Maple kernel between parsing and normal evaluation.

note: I plan on submitting a bug report about the fact that the mouse-copying action of 2D Output in the GUI utilizes the "wrong" one. (I might even have done so sometime in the past. I have a hazy recollection about all this.)

When we see the following output (including the case of 2D Output, which is merely fancier pretty-printing) the underlying expression is a product of two reciprocals. It is not a reciprocal of a product, despite how it may get pretty-printed.

> 1/4*1/(x-2);
                                          1
                                      ---------
                                      4 (x - 2)

> dismantle(%);

SUM(3)
   PROD(3)
      SUM(5)
         NAME(4): x
         INTPOS(2): 1
         INTNEG(2): -2
         INTPOS(2): 1
      INTNEG(2): -1
   RATIONAL(3): 1/4
      INTPOS(2): 1
      INTPOS(2): 4

The unintended automatic simplification occurs in the case that the input is pasted in as (mistakenly) the reciprocal of a product.

@janhardo You can use a consistent approach so that all these examples are handled.

restart;

interface(typesetting=extended):

Typesetting:-Settings(typesetprime=true):

 

Typesetting:-Settings(prime=s):

 

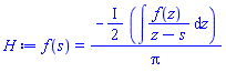
H := f(s) = (int(f(z)/(z-s), z))/(2*Pi*I)

H; `assuming`([simplify(convert(diff(H, `$`(s, n)), factorial))], [n::posint])

f(s) = -((1/2)*I)*(int(f(z)/(z-s), z))/Pi

diff(f(s), [`$`(s, n)]) = -((1/2)*I)*factorial(n)*(int(f(z)*(z-s)^(-1-n), z))/Pi

 

Typesetting:-Settings(prime=x):

 

eq := y(x) = x^n

eq(x); combine(diff(eq(x), x), power)

y(x) = x^n

diff(y(x), x) = x^(n-1)*n

 

eq := y(x) = f(x)^n

eq(x); combine(diff(eq(x), x), power)

y(x) = f(x)^n

diff(y(x), x) = (diff(f(x), x))*n*f(x)^(n-1)

 

eq := h(x) = f(x)*g(x)

eq(x); combine(diff(eq(x), x), power)

h(x) = f(x)*g(x)

diff(h(x), x) = (diff(f(x), x))*g(x)+f(x)*(diff(g(x), x))

eq := h(x) = 1/f(x)

eq(x); combine(diff(eq(x), x), power)

h(x) = 1/f(x)

diff(h(x), x) = -(diff(f(x), x))/f(x)^2

eq := h(x) = f(g(x))

eq(x); combine(diff(eq(x), x), power)

h(x) = f(g(x))

diff(h(x), x) = (D(f))(g(x))*(diff(g(x), x))

 

# optional
Typesetting:-Suppress~([f(x),g(x),h(x),y(x)]):

 

eq := y(x) = x^n

eq(x); combine(diff(eq(x), x), power)

y(x) = x^n

diff(y(x), x) = x^(n-1)*n

 

eq := y(x) = f(x)^n

eq(x); combine(diff(eq(x), x), power)

y(x) = f(x)^n

diff(y(x), x) = (diff(f(x), x))*n*f(x)^(n-1)

 

eq := h(x) = f(x)*g(x)

eq(x); combine(diff(eq(x), x), power)

h(x) = f(x)*g(x)

diff(h(x), x) = (diff(f(x), x))*g(x)+f(x)*(diff(g(x), x))

eq := h(x) = 1/f(x)

eq(x); combine(diff(eq(x), x), power)

h(x) = 1/f(x)

diff(h(x), x) = -(diff(f(x), x))/f(x)^2

eq := h(x) = f(g(x))

eq(x); combine(diff(eq(x), x), power)

h(x) = f(g(x))

diff(h(x), x) = (D(f))(g(x))*(diff(g(x), x))

Download other_diff.mw

If you wanted you could make a simple re-usable procedure that printed both the eq and its derivative for those standard Calculus examples. That's just to keep the input terser.

 

@janhardo I have difficulty understanding some of your sentences, which gets in the way of my understanding your goals.

Perhaps you are trying to achieve something more like one of these, in your followup.

restart

interface(typesetting = extended)

Typesetting:-Settings(typesetprime = true)

Typesetting:-Settings(prime = x)
Typesetting:-Suppress(y(x))

eq := y = x^n

y(x) = x^n

combine(diff(eq, x), power)

diff(y(x), x) = n*x^(n-1)

combine(diff(eq(x), x), power)

diff(y(x), x) = n*x^(n-1)

eq := y(x) = x^n

y(x) = x^n

combine(diff(eq, x), power)

diff(y(x), x) = n*x^(n-1)

combine(diff(eq(x), x), power)

diff(y(x), x) = n*x^(n-1)

Download some_diff.mw

@janhardo For the sake of formatting...

restart;

interface(typesetting=extended):
Typesetting:-Settings(typesetprime=true):
Typesetting:-Settings(prime=s):

H := f(s) = int(f(z)/(z - s), z)/((2*Pi)*I);

f(s) = -((1/2)*I)*(int(f(z)/(z-s), z))/Pi

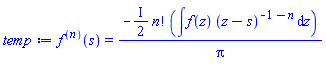
temp:=simplify(convert(diff(H,s$n),factorial)) assuming n::posint;

diff(f(s), [`$`(s, n)]) = -((1/2)*I)*factorial(n)*(int(f(z)*(z-s)^(-1-n), z))/Pi

subsindets(collect(temp,int,
                   u->eval('Typesetting:-Typeset'(subs(I=-1/i,numer(u))/denom(u)))),
           specfunc(int),
           u->`&conint;`(subsindets(op(1,u),
                                    And(`^`,satisfies(u->sign(op(2,u))=-1)),
                                    u->1/op(1,u)^(-op(2,u)))));

Typesetting:-mrow(Typesetting:-msup(Typesetting:-mi("f"), Typesetting:-mfenced(Typesetting:-mi("n"))), Typesetting:-mo("&ApplyFunction;"), Typesetting:-mfenced(Typesetting:-mi("s"))) = Typesetting:-mfrac(Typesetting:-mrow(Typesetting:-mi("n"), Typesetting:-mo("&excl;", Typesetting:-msemantics = "!")), Typesetting:-mrow(Typesetting:-mn("2"), Typesetting:-mo("&InvisibleTimes;"), Typesetting:-mi("i"), Typesetting:-mo("&InvisibleTimes;"), Typesetting:-mi("&pi;")))*`&conint;`(f(z)/(z-s)^(1+n))

Download some_int3.mw

@janhardo 

diff(y(x), x) = n*x^(n-1)

map(int, %, x)

y(x) = x^n

@janhardo Man is the measure of all things. Of things that are, that they are. And of things that are not, that they are not.

Of course  (z-s)^(-1-n)  is the same as  1/(z-s)^(n+1) .

Also,  1/I  is the same as  -I  , and Maple converts the former the latter as part of its automatic simplification.

I don't have much interest in fiddling around to get the output in exactly the right format as you seem to need. Of course it can be done, programmatically. But I don't have time for that minor difference.

The key aspect of answering your query lay in attaining the general derivative, by making the differentiation actually happen for general, unspecified n.

I did that.

I also showed how the result (which came here in pochammer form) could be converted to factorial form.

Formatting exponents and positions of multiplicands in the result is a relatively minor aesthetic. 

First 117 118 119 120 121 122 123 Last Page 119 of 596