acer

32727 Reputation

29 Badges

20 years, 90 days
Ontario, Canada

Social Networks and Content at Maplesoft.com

MaplePrimes Activity


These are replies submitted by acer

@emendes Try using,

  IntegrationTools:-Parts

It's pretty straightforward, here.

Is your objection a solution (depending on the particular example) for which some of the individual log calls evaluate to a nonreal value?

You have not explained your issue clearly.

Someone defaced this page and its title.

Originally is was titled,

"Modular Square Root of a number (mod n), knowing factorization of n"

And its contents were,

"ModularSquareRoot can't handle a really big n because of the factorization problem. But I would like to know if there is any other function than can use as parameters the factorization of n.

I already have an algorithm that does that for n=pq with p, q primers, and could generalize it, but I was wondering whether there was a built-in function that does that."

@Teep I would agree with Tom that it's more straightforward to specify the grid size in terms of the number of blocks horizontally and vertically (rather than as a refinement ratio).

Here is a more general example (uglier end-points, without just an integer range).

It uses seq in a similar manner than I had above, but adjusted for this way of specifying the numbers of blocks.

The procedure C can compute the position of an inner block.
 

restart

with(plots)

x_min := -1.2; x_max := 4.3; y_min := -2.3; y_max := 3.8

-1.2

4.3

-2.3

3.8

x_range := x_max-x_min; y_range := y_max-y_min

5.5

6.1

nx[0] := 3; ny[0] := 2

3

2

Blocks := nx[0]*ny[0]

6

Points1 := [seq(seq([X, Y], X = x_min .. x_max, x_range/nx[0]), Y = y_min .. y_max, y_range/ny[0])]; nops(%); (nx[0]+1)*(ny[0]+1)

[[-1.2, -2.3], [.633333333, -2.3], [2.466666666, -2.3], [4.299999999, -2.3], [-1.2, .750000000], [.633333333, .750000000], [2.466666666, .750000000], [4.299999999, .750000000], [-1.2, 3.800000000], [.633333333, 3.800000000], [2.466666666, 3.800000000], [4.299999999, 3.800000000]]

12

12

plot(Points1, style = point, color = red, symbol = solidcircle, symbolsize = 20)

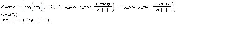
nx[1] := 3*3; ny[1] := 3*2

9

6

Blocks := nx[1]*ny[1]

54

Points2 := [seq(seq([X, Y], X = x_min .. x_max, x_range/nx[1]), Y = y_min .. y_max, y_range/ny[1])]; nops(%); (nx[1]+1)*(ny[1]+1)

60

70

P1 := pointplot(Points2, color = red, symbol = solidcircle, symbolsize = 15); P1

Typesetting:-mrow(Typesetting:-mi("C", italic = "true", mathvariant = "italic"), Typesetting:-mo("≔", mathvariant = "normal", fence = "false", separator = "false", stretchy = "false", symmetric = "false", largeop = "false", movablelimits = "false", accent = "false", lspace = "0.2777778em", rspace = "0.2777778em"), Typesetting:-mo("proc", bold = "true", mathvariant = "bold", fontweight = "bold", fence = "false", separator = "false", stretchy = "false", symmetric = "false", largeop = "false", movablelimits = "false", accent = "false", lspace = "0.0em", rspace = "0.0em"), Typesetting:-mfenced(Typesetting:-mrow(Typesetting:-mi("xidx", italic = "true", mathvariant = "italic"), Typesetting:-mo("∷", mathvariant = "normal", fence = "false", separator = "false", stretchy = "false", symmetric = "false", largeop = "false", movablelimits = "false", accent = "false", lspace = "0.2777778em", rspace = "0.2777778em"), Typesetting:-mi("posint", italic = "true", mathvariant = "italic"), Typesetting:-mo(",", mathvariant = "normal", fence = "false", separator = "true", stretchy = "false", symmetric = "false", largeop = "false", movablelimits = "false", accent = "false", lspace = "0.0em", rspace = "0.3333333em"), Typesetting:-mi("yidx", italic = "true", mathvariant = "italic"), Typesetting:-mo("∷", mathvariant = "normal", fence = "false", separator = "false", stretchy = "false", symmetric = "false", largeop = "false", movablelimits = "false", accent = "false", lspace = "0.2777778em", rspace = "0.2777778em"), Typesetting:-mi("posint", italic = "true", mathvariant = "italic"), Typesetting:-mo(",", mathvariant = "normal", fence = "false", separator = "true", stretchy = "false", symmetric = "false", largeop = "false", movablelimits = "false", accent = "false", lspace = "0.0em", rspace = "0.3333333em"), Typesetting:-mi("nx", italic = "true", mathvariant = "italic"), Typesetting:-mo("∷", mathvariant = "normal", fence = "false", separator = "false", stretchy = "false", symmetric = "false", largeop = "false", movablelimits = "false", accent = "false", lspace = "0.2777778em", rspace = "0.2777778em"), Typesetting:-mi("posint", italic = "true", mathvariant = "italic"), Typesetting:-mo(",", mathvariant = "normal", fence = "false", separator = "true", stretchy = "false", symmetric = "false", largeop = "false", movablelimits = "false", accent = "false", lspace = "0.0em", rspace = "0.3333333em"), Typesetting:-mi("ny", italic = "true", mathvariant = "italic"), Typesetting:-mo("∷", mathvariant = "normal", fence = "false", separator = "false", stretchy = "false", symmetric = "false", largeop = "false", movablelimits = "false", accent = "false", lspace = "0.2777778em", rspace = "0.2777778em"), Typesetting:-mi("posint", italic = "true", mathvariant = "italic")), mathvariant = "normal"), Typesetting:-mi(""), Typesetting:-mspace(height = "0.0ex", width = "0.0em", depth = "0.0ex", linebreak = "newline"), Typesetting:-mo(" ", mathvariant = "normal", fence = "false", separator = "false", stretchy = "false", symmetric = "false", largeop = "false", movablelimits = "false", accent = "false", lspace = "0.0em", rspace = "0.0em"), Typesetting:-mo(" ", mathvariant = "normal", fence = "false", separator = "false", stretchy = "false", symmetric = "false", largeop = "false", movablelimits = "false", accent = "false", lspace = "0.0em", rspace = "0.0em"), Typesetting:-mo(" ", mathvariant = "normal", fence = "false", separator = "false", stretchy = "false", symmetric = "false", largeop = "false", movablelimits = "false", accent = "false", lspace = "0.0em", rspace = "0.0em"), Typesetting:-mo("if", bold = "true", mathvariant = "bold", fontweight = "bold", fence = "false", separator = "false", stretchy = "false", symmetric = "false", largeop = "false", movablelimits = "false", accent = "false", lspace = "0.0em", rspace = "0.0em"), Typesetting:-mo(" ", mathvariant = "normal", fence = "false", separator = "false", stretchy = "false", symmetric = "false", largeop = "false", movablelimits = "false", accent = "false", lspace = "0.0em", rspace = "0.0em"), Typesetting:-mi("xidx", italic = "true", mathvariant = "italic"), Typesetting:-mo(">", mathvariant = "normal", fence = "false", separator = "false", stretchy = "false", symmetric = "false", largeop = "false", movablelimits = "false", accent = "false", lspace = "0.2777778em", rspace = "0.2777778em"), Typesetting:-mi("nx", italic = "true", mathvariant = "italic"), Typesetting:-mo(" ", mathvariant = "normal", fence = "false", separator = "false", stretchy = "false", symmetric = "false", largeop = "false", movablelimits = "false", accent = "false", lspace = "0.0em", rspace = "0.0em"), Typesetting:-mo("then", bold = "true", mathvariant = "bold", fontweight = "bold", fence = "false", separator = "false", stretchy = "false", symmetric = "false", largeop = "false", movablelimits = "false", accent = "false", lspace = "0.0em", rspace = "0.0em"), Typesetting:-mo(" ", mathvariant = "normal", fence = "false", separator = "false", stretchy = "false", symmetric = "false", largeop = "false", movablelimits = "false", accent = "false", lspace = "0.0em", rspace = "0.0em"), Typesetting:-mo("error", bold = "true", mathvariant = "bold", fontweight = "bold", fence = "false", separator = "false", stretchy = "false", symmetric = "false", largeop = "false", movablelimits = "false", accent = "false", lspace = "0.0em", rspace = "0.0em"), Typesetting:-mo(" ", mathvariant = "normal", fence = "false", separator = "false", stretchy = "false", symmetric = "false", largeop = "false", movablelimits = "false", accent = "false", lspace = "0.0em", rspace = "0.0em"), Typesetting:-ms("xidx cannot be greater than nx, %1, but received %2"), Typesetting:-mo(",", mathvariant = "normal", fence = "false", separator = "true", stretchy = "false", symmetric = "false", largeop = "false", movablelimits = "false", accent = "false", lspace = "0.0em", rspace = "0.3333333em"), Typesetting:-mi("nx", italic = "true", mathvariant = "italic"), Typesetting:-mo(",", mathvariant = "normal", fence = "false", separator = "true", stretchy = "false", symmetric = "false", largeop = "false", movablelimits = "false", accent = "false", lspace = "0.0em", rspace = "0.3333333em"), Typesetting:-mi("xidx", italic = "true", mathvariant = "italic"), Typesetting:-mo(";", mathvariant = "normal", fence = "false", separator = "true", stretchy = "false", symmetric = "false", largeop = "false", movablelimits = "false", accent = "false", lspace = "0.0em", rspace = "0.2777778em"), Typesetting:-mo(" ", mathvariant = "normal", fence = "false", separator = "false", stretchy = "false", symmetric = "false", largeop = "false", movablelimits = "false", accent = "false", lspace = "0.0em", rspace = "0.0em"), Typesetting:-mo("end", bold = "true", mathvariant = "bold", fontweight = "bold", fence = "false", separator = "false", stretchy = "false", symmetric = "false", largeop = "false", movablelimits = "false", accent = "false", lspace = "0.0em", rspace = "0.0em"), Typesetting:-mo(" ", mathvariant = "normal", fence = "false", separator = "false", stretchy = "false", symmetric = "false", largeop = "false", movablelimits = "false", accent = "false", lspace = "0.0em", rspace = "0.0em"), Typesetting:-mo("if", bold = "true", mathvariant = "bold", fontweight = "bold", fence = "false", separator = "false", stretchy = "false", symmetric = "false", largeop = "false", movablelimits = "false", accent = "false", lspace = "0.0em", rspace = "0.0em"), Typesetting:-mo(";", mathvariant = "normal", fence = "false", separator = "true", stretchy = "false", symmetric = "false", largeop = "false", movablelimits = "false", accent = "false", lspace = "0.0em", rspace = "0.2777778em"), Typesetting:-mspace(height = "0.0ex", width = "0.0em", depth = "0.0ex", linebreak = "newline"), Typesetting:-mo(" ", mathvariant = "normal", fence = "false", separator = "false", stretchy = "false", symmetric = "false", largeop = "false", movablelimits = "false", accent = "false", lspace = "0.0em", rspace = "0.0em"), Typesetting:-mo(" ", mathvariant = "normal", fence = "false", separator = "false", stretchy = "false", symmetric = "false", largeop = "false", movablelimits = "false", accent = "false", lspace = "0.0em", rspace = "0.0em"), Typesetting:-mo(" ", mathvariant = "normal", fence = "false", separator = "false", stretchy = "false", symmetric = "false", largeop = "false", movablelimits = "false", accent = "false", lspace = "0.0em", rspace = "0.0em"), Typesetting:-mo("if", bold = "true", mathvariant = "bold", fontweight = "bold", fence = "false", separator = "false", stretchy = "false", symmetric = "false", largeop = "false", movablelimits = "false", accent = "false", lspace = "0.0em", rspace = "0.0em"), Typesetting:-mo(" ", mathvariant = "normal", fence = "false", separator = "false", stretchy = "false", symmetric = "false", largeop = "false", movablelimits = "false", accent = "false", lspace = "0.0em", rspace = "0.0em"), Typesetting:-mi("yidx", italic = "true", mathvariant = "italic"), Typesetting:-mo(">", mathvariant = "normal", fence = "false", separator = "false", stretchy = "false", symmetric = "false", largeop = "false", movablelimits = "false", accent = "false", lspace = "0.2777778em", rspace = "0.2777778em"), Typesetting:-mi("ny", italic = "true", mathvariant = "italic"), Typesetting:-mo(" ", mathvariant = "normal", fence = "false", separator = "false", stretchy = "false", symmetric = "false", largeop = "false", movablelimits = "false", accent = "false", lspace = "0.0em", rspace = "0.0em"), Typesetting:-mo("then", bold = "true", mathvariant = "bold", fontweight = "bold", fence = "false", separator = "false", stretchy = "false", symmetric = "false", largeop = "false", movablelimits = "false", accent = "false", lspace = "0.0em", rspace = "0.0em"), Typesetting:-mo(" ", mathvariant = "normal", fence = "false", separator = "false", stretchy = "false", symmetric = "false", largeop = "false", movablelimits = "false", accent = "false", lspace = "0.0em", rspace = "0.0em"), Typesetting:-mo("error", bold = "true", mathvariant = "bold", fontweight = "bold", fence = "false", separator = "false", stretchy = "false", symmetric = "false", largeop = "false", movablelimits = "false", accent = "false", lspace = "0.0em", rspace = "0.0em"), Typesetting:-mo(" ", mathvariant = "normal", fence = "false", separator = "false", stretchy = "false", symmetric = "false", largeop = "false", movablelimits = "false", accent = "false", lspace = "0.0em", rspace = "0.0em"), Typesetting:-ms("yidx cannot be greater than ny, %1, but received %2"), Typesetting:-mo(",", mathvariant = "normal", fence = "false", separator = "true", stretchy = "false", symmetric = "false", largeop = "false", movablelimits = "false", accent = "false", lspace = "0.0em", rspace = "0.3333333em"), Typesetting:-mi("ny", italic = "true", mathvariant = "italic"), Typesetting:-mo(",", mathvariant = "normal", fence = "false", separator = "true", stretchy = "false", symmetric = "false", largeop = "false", movablelimits = "false", accent = "false", lspace = "0.0em", rspace = "0.3333333em"), Typesetting:-mi("yidx", italic = "true", mathvariant = "italic"), Typesetting:-mo(";", mathvariant = "normal", fence = "false", separator = "true", stretchy = "false", symmetric = "false", largeop = "false", movablelimits = "false", accent = "false", lspace = "0.0em", rspace = "0.2777778em"), Typesetting:-mo(" ", mathvariant = "normal", fence = "false", separator = "false", stretchy = "false", symmetric = "false", largeop = "false", movablelimits = "false", accent = "false", lspace = "0.0em", rspace = "0.0em"), Typesetting:-mo("end", bold = "true", mathvariant = "bold", fontweight = "bold", fence = "false", separator = "false", stretchy = "false", symmetric = "false", largeop = "false", movablelimits = "false", accent = "false", lspace = "0.0em", rspace = "0.0em"), Typesetting:-mo(" ", mathvariant = "normal", fence = "false", separator = "false", stretchy = "false", symmetric = "false", largeop = "false", movablelimits = "false", accent = "false", lspace = "0.0em", rspace = "0.0em"), Typesetting:-mo("if", bold = "true", mathvariant = "bold", fontweight = "bold", fence = "false", separator = "false", stretchy = "false", symmetric = "false", largeop = "false", movablelimits = "false", accent = "false", lspace = "0.0em", rspace = "0.0em"), Typesetting:-mo(";", mathvariant = "normal", fence = "false", separator = "true", stretchy = "false", symmetric = "false", largeop = "false", movablelimits = "false", accent = "false", lspace = "0.0em", rspace = "0.2777778em"), Typesetting:-mspace(height = "0.0ex", width = "0.0em", depth = "0.0ex", linebreak = "newline"), Typesetting:-mo(" ", mathvariant = "normal", fence = "false", separator = "false", stretchy = "false", symmetric = "false", largeop = "false", movablelimits = "false", accent = "false", lspace = "0.0em", rspace = "0.0em"), Typesetting:-mo(" ", mathvariant = "normal", fence = "false", separator = "false", stretchy = "false", symmetric = "false", largeop = "false", movablelimits = "false", accent = "false", lspace = "0.0em", rspace = "0.0em"), Typesetting:-mo(" ", mathvariant = "normal", fence = "false", separator = "false", stretchy = "false", symmetric = "false", largeop = "false", movablelimits = "false", accent = "false", lspace = "0.0em", rspace = "0.0em"), Typesetting:-mfenced(Typesetting:-mrow(Typesetting:-mi("x_min", italic = "true", mathvariant = "italic"), Typesetting:-mo("+", mathvariant = "normal", fence = "false", separator = "false", stretchy = "false", symmetric = "false", largeop = "false", movablelimits = "false", accent = "false", lspace = "0.2222222em", rspace = "0.2222222em"), Typesetting:-mfrac(Typesetting:-mfenced(Typesetting:-mrow(Typesetting:-mi("xidx", italic = "true", mathvariant = "italic"), Typesetting:-mo("&uminus0;", mathvariant = "normal", fence = "false", separator = "false", stretchy = "false", symmetric = "false", largeop = "false", movablelimits = "false", accent = "false", lspace = "0.2222222em", rspace = "0.2222222em"), Typesetting:-mfrac(Typesetting:-mn("1", mathvariant = "normal"), Typesetting:-mrow(Typesetting:-mn("2", mathvariant = "normal")), linethickness = "1", denomalign = "center", numalign = "center", bevelled = "false")), mathvariant = "normal"), Typesetting:-mrow(Typesetting:-mfenced(Typesetting:-mrow(Typesetting:-mi("nx", italic = "true", mathvariant = "italic")), mathvariant = "normal")), linethickness = "1", denomalign = "center", numalign = "center", bevelled = "false"), Typesetting:-mo("⋅", mathvariant = "normal", fence = "false", separator = "false", stretchy = "false", symmetric = "false", largeop = "false", movablelimits = "false", accent = "false", lspace = "0.0em", rspace = "0.0em"), Typesetting:-mfenced(Typesetting:-mrow(Typesetting:-mi("x_max", italic = "true", mathvariant = "italic"), Typesetting:-mo("−", mathvariant = "normal", fence = "false", separator = "false", stretchy = "false", symmetric = "false", largeop = "false", movablelimits = "false", accent = "false", lspace = "0.2222222em", rspace = "0.2222222em"), Typesetting:-mi("x_min", italic = "true", mathvariant = "italic")), mathvariant = "normal"), Typesetting:-mo(",", mathvariant = "normal", fence = "false", separator = "true", stretchy = "false", symmetric = "false", largeop = "false", movablelimits = "false", accent = "false", lspace = "0.0em", rspace = "0.3333333em"), Typesetting:-mspace(height = "0.0ex", width = "0.0em", depth = "0.0ex", linebreak = "newline"), Typesetting:-mo(" ", mathvariant = "normal", fence = "false", separator = "false", stretchy = "false", symmetric = "false", largeop = "false", movablelimits = "false", accent = "false", lspace = "0.0em", rspace = "0.0em"), Typesetting:-mo(" ", mathvariant = "normal", fence = "false", separator = "false", stretchy = "false", symmetric = "false", largeop = "false", movablelimits = "false", accent = "false", lspace = "0.0em", rspace = "0.0em"), Typesetting:-mo(" ", mathvariant = "normal", fence = "false", separator = "false", stretchy = "false", symmetric = "false", largeop = "false", movablelimits = "false", accent = "false", lspace = "0.0em", rspace = "0.0em"), Typesetting:-mo(" ", mathvariant = "normal", fence = "false", separator = "false", stretchy = "false", symmetric = "false", largeop = "false", movablelimits = "false", accent = "false", lspace = "0.0em", rspace = "0.0em"), Typesetting:-mi("y_min", italic = "true", mathvariant = "italic"), Typesetting:-mo("+", mathvariant = "normal", fence = "false", separator = "false", stretchy = "false", symmetric = "false", largeop = "false", movablelimits = "false", accent = "false", lspace = "0.2222222em", rspace = "0.2222222em"), Typesetting:-mfrac(Typesetting:-mfenced(Typesetting:-mrow(Typesetting:-mi("yidx", italic = "true", mathvariant = "italic"), Typesetting:-mo("−", mathvariant = "normal", fence = "false", separator = "false", stretchy = "false", symmetric = "false", largeop = "false", movablelimits = "false", accent = "false", lspace = "0.2222222em", rspace = "0.2222222em"), Typesetting:-mfrac(Typesetting:-mn("1", mathvariant = "normal"), Typesetting:-mrow(Typesetting:-mn("2", mathvariant = "normal")), linethickness = "1", denomalign = "center", numalign = "center", bevelled = "false")), mathvariant = "normal"), Typesetting:-mrow(Typesetting:-mfenced(Typesetting:-mrow(Typesetting:-mi("ny", italic = "true", mathvariant = "italic")), mathvariant = "normal")), linethickness = "1", denomalign = "center", numalign = "center", bevelled = "false"), Typesetting:-mo("⋅", mathvariant = "normal", fence = "false", separator = "false", stretchy = "false", symmetric = "false", largeop = "false", movablelimits = "false", accent = "false", lspace = "0.0em", rspace = "0.0em"), Typesetting:-mfenced(Typesetting:-mrow(Typesetting:-mi("y_max", italic = "true", mathvariant = "italic"), Typesetting:-mo("−", mathvariant = "normal", fence = "false", separator = "false", stretchy = "false", symmetric = "false", largeop = "false", movablelimits = "false", accent = "false", lspace = "0.2222222em", rspace = "0.2222222em"), Typesetting:-mi("y_min", italic = "true", mathvariant = "italic")), mathvariant = "normal")), mathvariant = "normal", open = "[", close = "]"), Typesetting:-mo(";", mathvariant = "normal", fence = "false", separator = "true", stretchy = "false", symmetric = "false", largeop = "false", movablelimits = "false", accent = "false", lspace = "0.0em", rspace = "0.2777778em"), Typesetting:-mspace(height = "0.0ex", width = "0.0em", depth = "0.0ex", linebreak = "newline"), Typesetting:-mo(" ", mathvariant = "normal", fence = "false", separator = "false", stretchy = "false", symmetric = "false", largeop = "false", movablelimits = "false", accent = "false", lspace = "0.0em", rspace = "0.0em"), Typesetting:-mo("end", bold = "true", mathvariant = "bold", fontweight = "bold", fence = "false", separator = "false", stretchy = "false", symmetric = "false", largeop = "false", movablelimits = "false", accent = "false", lspace = "0.0em", rspace = "0.0em"), Typesetting:-mo(" ", mathvariant = "normal", fence = "false", separator = "false", stretchy = "false", symmetric = "false", largeop = "false", movablelimits = "false", accent = "false", lspace = "0.0em", rspace = "0.0em"), Typesetting:-mo("proc", bold = "true", mathvariant = "bold", fontweight = "bold", fence = "false", separator = "false", stretchy = "false", symmetric = "false", largeop = "false", movablelimits = "false", accent = "false", lspace = "0.0em", rspace = "0.0em"), Typesetting:-mo(":", mathvariant = "normal", fence = "false", separator = "false", stretchy = "false", symmetric = "false", largeop = "false", movablelimits = "false", accent = "false", lspace = "0.2777778em", rspace = "0.2777778em"))

C(9, 1, nx[1], ny[1])

[3.994444444, -1.791666667]

display(P1, pointplot(C(9, 1, nx[1], ny[1]), color = blue, symbol = solidcircle, symbolsize = 20), pointplot([C(4, 5, nx[1], ny[1]), C(3, 2, nx[1], ny[1])], color = blue, symbol = solidcircle, symbolsize = 20))

 

``

Download Grid_Example_ac2.mw

@MapleUser2017 The name of the module is MyMat.

So you'd load it using the  with(MyMat)  call.

You keep trying to utilize the name MyLib to refer to the module which you had assigned to MyMat, but that's wrong. The name MyLib is just a name that you introduced for referring to the .mla filename or its location.

This has been mentioned about 4 or 5 times now. It seems that the problem lies not in your Maple installation.

Upload an attachment that contain a definition for f(x,y).

It need not recreate f by previous computations (integrations or what have you). You may be able to lprint the call f(x,y).

But being able to reproduce the issue is important.

Long explanations alone are less useful, for a performance issue.

Could you upload an attachment which can be used to recreate the precise issue?

It only need contain the definition of f(x,y), not all the lead-up computations (integrations, say) to it.

You might be able to just lprint the result of the call f(x,y).

@Adam Ledger My point was not about the fact that `^` is a kernel builtin. My point was that there's no reason to think that the implementation would be the most naive full iterated multiplication.

For big integers it might call a GMP function, so perhaps see here. But why wouldn't all integers be handled as well as that.

I don't understand what you mean by "which factorization". The exponent is stored in binary.

@ThU The OP asked how to combine all the exp terms. But your collect suggestion does not combine all the products of exp terms. I feel that I may be missing your point, sorry. Could you please clarify?

@Adam Ledger You are equating the Maple call x^n with "multiplying x n times".

And that's what I was trying to clarify -- the nature of that belief by you.

I wrote nothing about your code's quality. I am wondering why you think that the Maple kernel implements (large) integer powering with full iterated multiplication. Why do you not imagine that it too might be doing something better?

What is your justification for your expectation that you would be able to write Library-level code that implements binary powering that is faster than the Maple kernel?

You write, "...exponentiation by squares should be faster." Well, to what precisely do you think you are comparing that?

@lima_daniel The line which initially assigns to x has strange output in your original attachment. Does the call to sqrt in that line really produce just a float? Is Asch unassigned? Do you have any initialization file?

Is you Maple otherwise behaving normally? (If you had issues similar to this I'd have expected it to be noticed by you before now...)

@Kitonum  I forgot about this issue (with the NAG LP function in hardware floats). I know it happened for some (but definitely not all!) people's machines, and seems relevant to Windows 64bit rather than Linux.

@Kitonum If the goal is to fit a linear model then the code as written (to call Statistics:-Fit with model a+b*x supplied literally as first argument) may work unexpectedly if a or b are assigned, say, numeric values at the higher level at which LinModel is called. One easy way to deal with that is to declare a and b as local.

Or LinModel could call CurveFitting:-LeastSquares and omit the model argument.

@Earl The reason that Kitonum's original didn't pretty-print as nicely in your Maple 2016 is that you have its default of standard for interface(typesetting), while in Maple 2019 the default is extended.

If you execute interface(typesetting=extended): in Maple 2016.2 then it too will show as Kitonum's original.

One way to force it -- regardless of typesetting level -- is to make the following adjustment to the code. The inert=false option has the additional effect of making all the (+) plus signs render in usual output blue/black rather than gray.

LongSum:=proc(f,n0,n)
 InertForm:-Display(`%+`(seq(f(k),k=1..n0)),
                    ':-inert'=false)+`...`+f(n);
end proc:

LongSum(n->x[n], 2, n);
LongSum(n->n/(n+1), 3, k);
LongSum(n->n/(n+1), 3, 100);
First 208 209 210 211 212 213 214 Last Page 210 of 599