acer

32727 Reputation

29 Badges

20 years, 90 days
Ontario, Canada

Social Networks and Content at Maplesoft.com

MaplePrimes Activity


These are replies submitted by acer

I see that Carl had already come up with the same thing, while I was fiddling.

If I recall correctly then, no, the only way to export a dualaxisplot to jpeg in Maple 12 is through the right-click context-menu. I don't think that it can be done programmatically (ie. via plotsetup and plotdevice).

Are you looking for the lprint command?

If that is not the case then could you reformulate your query in the form of a sentence?

If you want each re-execution to be preserved automatically then you could use a DataTable embedded component. That has the benefit that it stores data across a restart.

You could even write a procedure that computed the final result in question, augmented the embedded component, and then printed/returned  the current result. Or any other bells and whistles you want.

Perhaps you could be much more specific about how you'd like it to behave.

@zander17 Yes, I too would worry that it may cause trouble (for Maple) if it picks up the wrong MKL libraries.

I'm not sure how to force Maple's call_external (which is what define_external sets up) to utilize your MKL dlls when accessing a function in your operator.dll, while still allowing Maple to always find its own MKL dlls when doing its own stock computations.

If it's of interest, you can examine OS environment variables from within Maple using its getenv command.

Would it be possible for you to link your operator.dll against the static versions of your MKL libraries?

I realize that you are using Maple 2015, but I suspect that this might be accomplished straightforwardly using the `valuesplit` suboption of the `colorscheme` option.

But `valuesplit` was introduced in Maple 2016, if I recall correctly.

@Adam Ledger 

While individual read statements might error-out, that won't prevent subsequent read statements from still being executed if you use the menubar to re-execute the entire worksheet or a selected portion.

So, no, what you've now proposed won't provide significant, additional flow control over your worksheet. What you've suggested won't gain you anything towards your goal as I understand it.

If you want certain statements to only execute (under the UI action to re-execute entire worksheet, or selection) if some previous computation succeeded then program your control flow properly, to test for success before proceeding.

There is a wealth of functionality in the Maple programming language for doing adequate defensive programming and controlling the execution flow. (Eg, re-usable procedures, and conditional statements involving type-checks, quantitative or structural comparison, etc.)

note: I intended my Answer to convey that what you were doing wrong was using the wrong tool for the job. You seem to have interpreted my answer in completely the opposite way -- as if I were encouraging to use that wrong tool even more. I wasn't.

Perhaps you could consider writing your procedures in Code Edit Regions.

@minhhieuh2003 The way that you try to use ImageTools:-Embed to obtain a return value does not make sense.

The way that you to try and use print doe not make sense -- I don't understand why you keep trying that. The way that you try and use your Tsprintf for images does not make sense.

I've corrected what I can, but it's impossible to figure out what you intend all your procedures to do since you never bother to describe your goals.

help_insert_picture_ac.mw

I have tagged your Question as Product = Maple 2016

It would be helpful if you could do that yourself on future Questions, if you are not using the latest version and you don't inially upload a worksheet attachment.

note: Why do you use Maple 2016.0 and not the free upgrade to Maple 2016.2?

@minhhieuh2003 Why would you write that without uploading a worksheet that demonstrates what didn't work for you?

@lima_daniel 

Yes, hopefully it would behave itself, if you added more names to the list L.

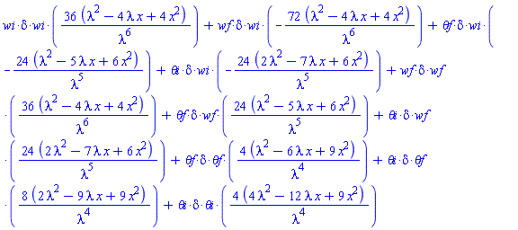
Here is a variant that also includes a forced display of the terms in each product. (This is for visual display only; the result ans1 is an expression which can be used mathematically. But not this handling of raw2 below, which is designed just to print specially.)

Without too much effort you could put the various steps into a couple of re-usable procedures: to construct ans1 and to construct and specially print raw2.

restart

c := -(lambda*`θf`+lambda*`θi`+2*wf-2*wi)/lambda^3

d := (lambda*`θf`+2*lambda*`θi`+3*wf-3*wi)/lambda^2:

g := 6*c*x+2*d:

h := delta*g:

expr := expand(g*h)

4*delta*`θf`^2/lambda^2+16*delta*`θi`^2/lambda^2+36*delta*wi^2/lambda^4+36*delta*wf^2/lambda^4+72*delta*x^2*`θf`*`θi`/lambda^4+144*delta*x^2*`θf`*wf/lambda^5-144*delta*x^2*`θf`*wi/lambda^5-72*delta*x*`θf`*`θi`/lambda^3-120*delta*x*`θf`*wf/lambda^4+120*delta*x*`θf`*wi/lambda^4+144*delta*x^2*`θi`*wf/lambda^5-144*delta*x^2*`θi`*wi/lambda^5-168*delta*x*`θi`*wf/lambda^4+168*delta*x*`θi`*wi/lambda^4-288*delta*x^2*wf*wi/lambda^6+288*delta*x*wf*wi/lambda^5+36*delta*x^2*`θf`^2/lambda^4+144*delta*x^2*wi^2/lambda^6+24*delta*`θf`*wf/lambda^3-72*delta*wf*wi/lambda^4-144*delta*x*wi^2/lambda^5+16*delta*`θf`*`θi`/lambda^2-24*delta*x*`θf`^2/lambda^3-48*delta*x*`θi`^2/lambda^3+144*delta*x^2*wf^2/lambda^6+48*delta*`θi`*wf/lambda^3-48*delta*`θi`*wi/lambda^3+36*delta*x^2*`θi`^2/lambda^4-144*delta*x*wf^2/lambda^5-24*delta*`θf`*wi/lambda^3

L := [wi, wf, `θf`, `θi`];

[wi, wf, `θf`, `θi`]

CC := map(proc (p) options operator, arrow; delta*(`*`(op(p))) end proc, C):

ee := expand(expr):

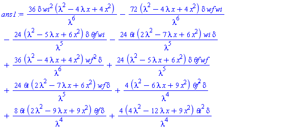
ans1 := thaw(collect(ee, map(rhs, CCC), simplify));

36*delta*wi^2*(lambda^2-4*lambda*x+4*x^2)/lambda^6-72*(lambda^2-4*lambda*x+4*x^2)*delta*wf*wi/lambda^6-24*(lambda^2-5*lambda*x+6*x^2)*delta*`θf`*wi/lambda^5-24*`θi`*(2*lambda^2-7*lambda*x+6*x^2)*wi*delta/lambda^5+36*(lambda^2-4*lambda*x+4*x^2)*wf^2*delta/lambda^6+24*(lambda^2-5*lambda*x+6*x^2)*delta*`θf`*wf/lambda^5+24*`θi`*(2*lambda^2-7*lambda*x+6*x^2)*wf*delta/lambda^5+4*(lambda^2-6*lambda*x+9*x^2)*`θf`^2*delta/lambda^4+8*`θi`*(2*lambda^2-9*lambda*x+9*x^2)*`θf`*delta/lambda^4+4*(4*lambda^2-12*lambda*x+9*x^2)*`θi`^2*delta/lambda^4

simplify(expr-ans1);

0

CCCC := map(proc (p) options operator, arrow; delta*(`*`(op(p))) = freeze(`%*`(p[1], delta, p[2])) end proc, C):

raw2 := thaw(collect(ff, map(rhs, CCCC), proc (p) options operator, arrow; _K(simplify(p)) end proc)):

subsindets(raw2,specfunc(anything,`%*`),
           proc(p)
             local i;
             uses Typesetting;
             mrow(seq([eval('Typeset'(op(i,p))),mo("⋅")][],
                      i=1..nops(p)-1),
                  eval('Typeset'(op(nops(p),p))));
           end proc);

Typesetting:-mrow(Typesetting:-mrow(Typesetting:-mi("wi"), Typesetting:-mo("⋅"), Typesetting:-mi("δ"), Typesetting:-mo("⋅"), Typesetting:-mi("wi")), Typesetting:-mo("⋅"), Typesetting:-mfenced(Typesetting:-mfrac(Typesetting:-mrow(Typesetting:-mn("36"), Typesetting:-mo("⁢"), Typesetting:-mfenced(Typesetting:-mrow(Typesetting:-msup(Typesetting:-mi("λ"), Typesetting:-mn("2")), Typesetting:-mo("−"), Typesetting:-mrow(Typesetting:-mn("4"), Typesetting:-mo("⁢"), Typesetting:-mi("λ"), Typesetting:-mo("⁢"), Typesetting:-mi("x")), Typesetting:-mo("+"), Typesetting:-mrow(Typesetting:-mn("4"), Typesetting:-mo("⁢"), Typesetting:-msup(Typesetting:-mi("x"), Typesetting:-mn("2")))))), Typesetting:-msup(Typesetting:-mi("λ"), Typesetting:-mn("6")))))+Typesetting:-mrow(Typesetting:-mrow(Typesetting:-mi("wf"), Typesetting:-mo("⋅"), Typesetting:-mi("δ"), Typesetting:-mo("⋅"), Typesetting:-mi("wi")), Typesetting:-mo("⋅"), Typesetting:-mfenced(Typesetting:-mrow(Typesetting:-mo("&uminus0;"), Typesetting:-mfrac(Typesetting:-mrow(Typesetting:-mn("72"), Typesetting:-mo("⁢"), Typesetting:-mfenced(Typesetting:-mrow(Typesetting:-msup(Typesetting:-mi("λ"), Typesetting:-mn("2")), Typesetting:-mo("−"), Typesetting:-mrow(Typesetting:-mn("4"), Typesetting:-mo("⁢"), Typesetting:-mi("λ"), Typesetting:-mo("⁢"), Typesetting:-mi("x")), Typesetting:-mo("+"), Typesetting:-mrow(Typesetting:-mn("4"), Typesetting:-mo("⁢"), Typesetting:-msup(Typesetting:-mi("x"), Typesetting:-mn("2")))))), Typesetting:-msup(Typesetting:-mi("λ"), Typesetting:-mn("6"))))))+Typesetting:-mrow(Typesetting:-mrow(Typesetting:-mi("`θf`"), Typesetting:-mo("⋅"), Typesetting:-mi("δ"), Typesetting:-mo("⋅"), Typesetting:-mi("wi")), Typesetting:-mo("⋅"), Typesetting:-mfenced(Typesetting:-mrow(Typesetting:-mo("&uminus0;"), Typesetting:-mfrac(Typesetting:-mrow(Typesetting:-mn("24"), Typesetting:-mo("⁢"), Typesetting:-mfenced(Typesetting:-mrow(Typesetting:-msup(Typesetting:-mi("λ"), Typesetting:-mn("2")), Typesetting:-mo("−"), Typesetting:-mrow(Typesetting:-mn("5"), Typesetting:-mo("⁢"), Typesetting:-mi("λ"), Typesetting:-mo("⁢"), Typesetting:-mi("x")), Typesetting:-mo("+"), Typesetting:-mrow(Typesetting:-mn("6"), Typesetting:-mo("⁢"), Typesetting:-msup(Typesetting:-mi("x"), Typesetting:-mn("2")))))), Typesetting:-msup(Typesetting:-mi("λ"), Typesetting:-mn("5"))))))+Typesetting:-mrow(Typesetting:-mrow(Typesetting:-mi("`θi`"), Typesetting:-mo("⋅"), Typesetting:-mi("δ"), Typesetting:-mo("⋅"), Typesetting:-mi("wi")), Typesetting:-mo("⋅"), Typesetting:-mfenced(Typesetting:-mrow(Typesetting:-mo("&uminus0;"), Typesetting:-mfrac(Typesetting:-mrow(Typesetting:-mn("24"), Typesetting:-mo("⁢"), Typesetting:-mfenced(Typesetting:-mrow(Typesetting:-mrow(Typesetting:-mn("2"), Typesetting:-mo("⁢"), Typesetting:-msup(Typesetting:-mi("λ"), Typesetting:-mn("2"))), Typesetting:-mo("−"), Typesetting:-mrow(Typesetting:-mn("7"), Typesetting:-mo("⁢"), Typesetting:-mi("λ"), Typesetting:-mo("⁢"), Typesetting:-mi("x")), Typesetting:-mo("+"), Typesetting:-mrow(Typesetting:-mn("6"), Typesetting:-mo("⁢"), Typesetting:-msup(Typesetting:-mi("x"), Typesetting:-mn("2")))))), Typesetting:-msup(Typesetting:-mi("λ"), Typesetting:-mn("5"))))))+Typesetting:-mrow(Typesetting:-mrow(Typesetting:-mi("wf"), Typesetting:-mo("⋅"), Typesetting:-mi("δ"), Typesetting:-mo("⋅"), Typesetting:-mi("wf")), Typesetting:-mo("⋅"), Typesetting:-mfenced(Typesetting:-mfrac(Typesetting:-mrow(Typesetting:-mn("36"), Typesetting:-mo("⁢"), Typesetting:-mfenced(Typesetting:-mrow(Typesetting:-msup(Typesetting:-mi("λ"), Typesetting:-mn("2")), Typesetting:-mo("−"), Typesetting:-mrow(Typesetting:-mn("4"), Typesetting:-mo("⁢"), Typesetting:-mi("λ"), Typesetting:-mo("⁢"), Typesetting:-mi("x")), Typesetting:-mo("+"), Typesetting:-mrow(Typesetting:-mn("4"), Typesetting:-mo("⁢"), Typesetting:-msup(Typesetting:-mi("x"), Typesetting:-mn("2")))))), Typesetting:-msup(Typesetting:-mi("λ"), Typesetting:-mn("6")))))+Typesetting:-mrow(Typesetting:-mrow(Typesetting:-mi("`θf`"), Typesetting:-mo("⋅"), Typesetting:-mi("δ"), Typesetting:-mo("⋅"), Typesetting:-mi("wf")), Typesetting:-mo("⋅"), Typesetting:-mfenced(Typesetting:-mfrac(Typesetting:-mrow(Typesetting:-mn("24"), Typesetting:-mo("⁢"), Typesetting:-mfenced(Typesetting:-mrow(Typesetting:-msup(Typesetting:-mi("λ"), Typesetting:-mn("2")), Typesetting:-mo("−"), Typesetting:-mrow(Typesetting:-mn("5"), Typesetting:-mo("⁢"), Typesetting:-mi("λ"), Typesetting:-mo("⁢"), Typesetting:-mi("x")), Typesetting:-mo("+"), Typesetting:-mrow(Typesetting:-mn("6"), Typesetting:-mo("⁢"), Typesetting:-msup(Typesetting:-mi("x"), Typesetting:-mn("2")))))), Typesetting:-msup(Typesetting:-mi("λ"), Typesetting:-mn("5")))))+Typesetting:-mrow(Typesetting:-mrow(Typesetting:-mi("`θi`"), Typesetting:-mo("⋅"), Typesetting:-mi("δ"), Typesetting:-mo("⋅"), Typesetting:-mi("wf")), Typesetting:-mo("⋅"), Typesetting:-mfenced(Typesetting:-mfrac(Typesetting:-mrow(Typesetting:-mn("24"), Typesetting:-mo("⁢"), Typesetting:-mfenced(Typesetting:-mrow(Typesetting:-mrow(Typesetting:-mn("2"), Typesetting:-mo("⁢"), Typesetting:-msup(Typesetting:-mi("λ"), Typesetting:-mn("2"))), Typesetting:-mo("−"), Typesetting:-mrow(Typesetting:-mn("7"), Typesetting:-mo("⁢"), Typesetting:-mi("λ"), Typesetting:-mo("⁢"), Typesetting:-mi("x")), Typesetting:-mo("+"), Typesetting:-mrow(Typesetting:-mn("6"), Typesetting:-mo("⁢"), Typesetting:-msup(Typesetting:-mi("x"), Typesetting:-mn("2")))))), Typesetting:-msup(Typesetting:-mi("λ"), Typesetting:-mn("5")))))+Typesetting:-mrow(Typesetting:-mrow(Typesetting:-mi("`θf`"), Typesetting:-mo("⋅"), Typesetting:-mi("δ"), Typesetting:-mo("⋅"), Typesetting:-mi("`θf`")), Typesetting:-mo("⋅"), Typesetting:-mfenced(Typesetting:-mfrac(Typesetting:-mrow(Typesetting:-mn("4"), Typesetting:-mo("⁢"), Typesetting:-mfenced(Typesetting:-mrow(Typesetting:-msup(Typesetting:-mi("λ"), Typesetting:-mn("2")), Typesetting:-mo("−"), Typesetting:-mrow(Typesetting:-mn("6"), Typesetting:-mo("⁢"), Typesetting:-mi("λ"), Typesetting:-mo("⁢"), Typesetting:-mi("x")), Typesetting:-mo("+"), Typesetting:-mrow(Typesetting:-mn("9"), Typesetting:-mo("⁢"), Typesetting:-msup(Typesetting:-mi("x"), Typesetting:-mn("2")))))), Typesetting:-msup(Typesetting:-mi("λ"), Typesetting:-mn("4")))))+Typesetting:-mrow(Typesetting:-mrow(Typesetting:-mi("`θi`"), Typesetting:-mo("⋅"), Typesetting:-mi("δ"), Typesetting:-mo("⋅"), Typesetting:-mi("`θf`")), Typesetting:-mo("⋅"), Typesetting:-mfenced(Typesetting:-mfrac(Typesetting:-mrow(Typesetting:-mn("8"), Typesetting:-mo("⁢"), Typesetting:-mfenced(Typesetting:-mrow(Typesetting:-mrow(Typesetting:-mn("2"), Typesetting:-mo("⁢"), Typesetting:-msup(Typesetting:-mi("λ"), Typesetting:-mn("2"))), Typesetting:-mo("−"), Typesetting:-mrow(Typesetting:-mn("9"), Typesetting:-mo("⁢"), Typesetting:-mi("λ"), Typesetting:-mo("⁢"), Typesetting:-mi("x")), Typesetting:-mo("+"), Typesetting:-mrow(Typesetting:-mn("9"), Typesetting:-mo("⁢"), Typesetting:-msup(Typesetting:-mi("x"), Typesetting:-mn("2")))))), Typesetting:-msup(Typesetting:-mi("λ"), Typesetting:-mn("4")))))+Typesetting:-mrow(Typesetting:-mrow(Typesetting:-mi("`θi`"), Typesetting:-mo("⋅"), Typesetting:-mi("δ"), Typesetting:-mo("⋅"), Typesetting:-mi("`θi`")), Typesetting:-mo("⋅"), Typesetting:-mfenced(Typesetting:-mfrac(Typesetting:-mrow(Typesetting:-mn("4"), Typesetting:-mo("⁢"), Typesetting:-mfenced(Typesetting:-mrow(Typesetting:-mrow(Typesetting:-mn("4"), Typesetting:-mo("⁢"), Typesetting:-msup(Typesetting:-mi("λ"), Typesetting:-mn("2"))), Typesetting:-mo("−"), Typesetting:-mrow(Typesetting:-mn("12"), Typesetting:-mo("⁢"), Typesetting:-mi("λ"), Typesetting:-mo("⁢"), Typesetting:-mi("x")), Typesetting:-mo("+"), Typesetting:-mrow(Typesetting:-mn("9"), Typesetting:-mo("⁢"), Typesetting:-msup(Typesetting:-mi("x"), Typesetting:-mn("2")))))), Typesetting:-msup(Typesetting:-mi("λ"), Typesetting:-mn("4")))))

 

Download Final_objective_orig_ac2.mw

@Carl Love The iterative formula x[i+1] = x[i] - 2*f(x[i])/D(f)(x[i]) is sometimes known as the double-step Newton method.

Part of its motivation arises from a desire to mitigate initially slow improvement in the case of an unfortunate choice of starting point.

IIRC there are some theorems -- for polynomials with only real roots -- that reveal that an overshoot can be dealt with handily (potentially starting a normal N.M. sequence aiming for the next greatest root), without having to repeat all earlier evaluations and while retaining monotonic convergence.

I do not recall seeing any modification of that approach in the case of multiple roots. [edit. However, see reference 1.]

My memory is not what it used to be. Google may help.

I could also add (and I suspect that this is more widely known, and I apologize if you already know it) that an iterative formula x[i+1] = x[i] - m*f(x[i])/D(f)(x[i]) is sometimes used to help with the handling of a root known to have multiplicity m (which might also be estimated).

I don't know if the OP is mixing up two concepts on purpose, or by accident, or something else. I don't find the OP's descriptions to be very clear.

[edit] Some references for double-step N.M. via Google, 1, 2, 3

[further edit] The first citation above has subsequently led me to look in Stoer & Bulirsch (my edition: 1980, esp. section 5.5 and theorem 5.5.9 and pp.274-278), where focus is on special case of a univariate polynomial with only real roots. I suppose this was what I was vaguely remembering earlier...

@Carl Love You can find it online, eg. Wikipedia or here.

A partial phrase from that cited Wikipedia page, "...it is actually the three-channel RGB color model supplemented with a 4th alpha channel. Alpha indicates how opaque each pixel is...".

Maple's ImageTools package has support for RGBA, (where the "A" standa for alpha). But its plot drivers do not.

So, for example a COLOR plotting substructure can contain the keyword RGB alongside a mxnx3 float[8] Array, but cannot contain RGBA as a keyword alongside a mxnx4 float[8] Array.

Hence my Answer below, where each point is used to form a separate plotting structure containing its own TRANSPARENCY substructure (all of which can then be displayed together).

@tomleslie By coincidence, I was already editing that sentence, while you were posting your comment. Thanks.

The central point is that the right command here is Search, not Has.

First 213 214 215 216 217 218 219 Last Page 215 of 599