acer

32727 Reputation

29 Badges

20 years, 90 days
Ontario, Canada

Social Networks and Content at Maplesoft.com

MaplePrimes Activity


These are replies submitted by acer

@michalkvasnicka On what grounds do you make this strong claim?

Could you give your example?

Additional details that might be relevant include: Maple version, Operating system, Maple language pack (if any).

In case anyone's interested, I'm submitting a bug report about this weakness in simplify ,

restart;

ee := cos(omega*t + alpha)/2
      - cos(omega*t + alpha + Pi/3)/2
      - sin(omega*t + alpha + Pi/6)/2:

expand(ee);
                               0

lprint( simplify(ee) );
  1/2*cos(omega*t+alpha)-1/2*cos(omega*t+alpha+1/3*Pi)-1/2*sin(omega*t+alpha+1/6*Pi)

lprint( simplify(ee, trig) );
  1/2*cos(omega*t+alpha)-1/2*cos(omega*t+alpha+1/3*Pi)-1/2*sin(omega*t+alpha+1/6*Pi)

@nm The scenario you describe -- with nested calls to commands without proper regard for what they might return and a reasonable chance of a mistaken call -- sounds to me like inadequate type checking, parameter checking, and quality of programming on the user's part.

@tomleslie I agree with you, Tom.

This member's habit of posting only images is very rude and unhelpful behavior.

Why are you using squiggly brackets {...} ? Those are for creating sets.

Your code attempts to add/subtract sets, which does not make sense.

Use round brackets as delimiters.

@mmcdara It's not difficult to roll your own code that constructs the XML for the running sequence of GUI Tables to embed.

The following was done in Maple 2015.2.

It would be nice is DocumentTools:-Tabulate offered an option to treat mxn or mxnx3 float[8] Arrays as images. Then you could use the Tab2 approach directly. I'll submit a Software Change Request.

restart;

F := proc()
  local blankblock,i, im, p, S, xml;
  uses DocumentTools, DocumentTools:-Layout;

  for i from 1 to 4 do

    # delay for demo purpose only
    if i<>1 then Threads:-Sleep(1.5); end if;

    # p is some plot, and im is some image
    # This is just a toy example, p and im don't have
    # any special meaning.
    #
    S := Statistics:-Sample(Uniform(0,1),[1..50,1..3,1..3]);
    p := plots:-pointplot(S[..,1..2,1], size=[300,300],
                          symbolsize=15, symbol=solidcircle);
    im := Array(S,datatype=float[8]);

    xml[i] := Table(Column(weight=40),Column(weight=20),
                    Column(weight=40),
                    interior=none,alignment=center,
                    widthmode=pixels,width=500,
                    Row(align=center,
                        Cell(InlinePlot(p)),
                        Cell(sprintf("Iteration %a of 4",i)),
                        Cell(Image(im,height=270,width=270))));

    blankblock := DocumentBlock(Group(Input(Textfield("\n"))));
    InsertContent(Worksheet(seq(op([xml[j],
                                    blankblock]),j=1..i)));

  end do;

  return NULL;

end proc:

 

F();

 

Download Tab3.mw

@Carl Love I too prefer eval over assign.

Partly that's because -- much more often than not -- I find it convenient to not have any scalar  numeric values assigned to the names involved with formulas. 

Having mixed expressions with floats and symbols often makes manipulation (factoring, simplification, integration, etc) problematic. I see so many worksheets where people have problems because they introduced numeric values to parameter names far too early.

 

@Carl Love The OP's original was done in Maple 12.

Here is your code executed in Maple 12.02 (with map replacing elementwise ~, and time replacing CodeTools:-Usage).

I also added the fsolve approach from my Answer. (I've deliberately used option discont for plotting all five, and deliberately kept the default adaptive option since some of the curves get steep. So the plotting options are the same.)

In Maple 12 the indexed RootOf approach takes about 19 seconds to compute the plot while the fsolve approach takes about 5.5 seconds.

In my Maple 2019.0  the indexed RootOf approach takes about 120 seconds to compute the plot while the fsolve approach takes about 7 seconds.

That's all done using 64bit Linux.

I will try and dig into why `evalf/RootOf` has slowed down between Maple 12 and Maple 2019.

But I don't see why the OP would want to use the indexed RootOfs rather than fsolve for plotting the roots of a univariate polynomial, even in Maple 12.02 for this degree 5 example.

restart:

kernelopts(version);

`Maple 12.02, X86 64 LINUX, Dec 10 2008 Build ID 377066`

gm := V -> 1/sqrt(1-V^2):
T := (1/sqrt(1-V^2))*(w-k*V):
S := (1/sqrt(1-V^2))*(w*V-k):

f := -135/4*T^5+369/16*T^3*S^2+47/4*I*T^4-93/16*I*T^2*S^2+T^3-2/3*T^3*S*B-27/16*S^4*T+3/16*I*S^4-1/3*T*S^2+2/9*S^3*T*B:

Hgen:= simplify(rationalize(f)):

I don't think that setting _EnvExplicit to true can possibly do anything beneficial for a polynomial of this complexity. While I also don't think that it can cause harm, since there's no reason to set it, I'd rather not risk it. So, the next line is commented out.

(* _EnvExplicit := true; *)

H:=[solve(numer(Hgen),w)]
:

If the solve goes as planned, then H will be a list with a single entry, a RootOf expression.

nops(H), type(H, list(RootOf));

1, true

So, H is indeed of the the form that I hoped.

 

The part of  this worksheet that solves your issue of the slowness of allvalues is in the next line. The key point is that numeric values are supplied for B and V before the expression is passed to allvalues.

st := time():
Hav:= [allvalues(eval(H[], [B= 1, V= 0.8]))]:
(time()-st)*`seconds`;

.984*seconds

nops(Hav), type(Hav, list(RootOf));

5, true

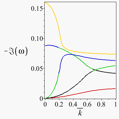
There's no need for you to re-enter all those plot options. Your entire plot can be done as below.

st:=time():
P:=plot(
   map(Im,Hav), k= 0..1, discont,
   color= [red, black, green, blue, yellow],
   linestyle= solid, thickness= 2,
   axesfont = ["TimesNewRoman", 18],
   labelfont = ["TimesNewRoman", 22], labels = [conjugate(k), Im(conjugate(omega))],
   axes = "boxed",
   gridlines= false
):
time()-st;
P;
   

18.963

restart:

gm := V -> 1/sqrt(1-V^2):
T := (1/sqrt(1-V^2))*(w-k*V):
S := (1/sqrt(1-V^2))*(w*V-k):

f := -135/4*T^5+369/16*T^3*S^2+47/4*I*T^4-93/16*I*T^2*S^2+T^3-2/3*T^3*S*B-27/16*S^4*T+3/16*I*S^4-1/3*T*S^2+2/9*S^3*T*B:

Hgen:= simplify(rationalize(f)):

HHp := proc(kk) option remember, system;
         local res;
         res := fsolve(eval(numer(Hgen),[B=1,V=0.8,k=kk]),w);
       end proc:

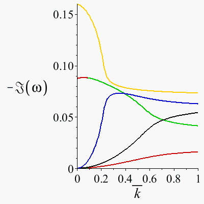
st := time():
opts := thickness=2, symbol=solidcircle, symbolsize=12:
forget(HHp);
pplt1 := plot(k->Im(HHp(k)[1]), 0..1, color=yellow, discont=true, opts):
pplt2 := plot(k->Im(HHp(k)[2]), 0..1, color=blue, discont=true, opts):
pplt3 := plot(k->Im(HHp(k)[3]), 0..1, color=black, discont=true, opts):
pplt4 := plot(k->Im(HHp(k)[4]), 0..1, color=green, discont=true, opts):
pplt5 := plot(k->Im(HHp(k)[5]), 0..1, color=red, discont=true, opts):
P := plots:-display(pplt5, pplt4, pplt3, pplt2, pplt1, gridlines = false,
                    axesfont = ["TimesNewRoman", 18],
                    labelfont = ["TimesNewRoman", 22],
                    labels = [conjugate(k), Im(conjugate(omega))]):
(time()-st)*`seconds`;
P;

5.311*seconds

 

ImagRootPlot_fsolve_Maple12.02.mw

ImagRootPlot_fsolve_Maple2019.0.mw

 

I don't understand why anyone would choose the relatively inefficient indexed RootOf approach here.

restart;
with(plots):

gm := V -> 1/sqrt(1-V^2):
T := (1/sqrt(1-V^2))*(w-k*V):
S := (1/sqrt(1-V^2))*(w*V-k):

f := unapply(-135/4*T^5+369/16*T^3*S^2+47/4*I*T^4-93/16*I*T^2*S^2+T^3-2/3*T^3*S*B-27/16*S^4*T+3/16*I*S^4-1/3*T*S^2+2/9*S^3*T*B,w,V,k):

Hgen := simplify(simplify(expand(rationalize(f(w, V, k)))), size)

(1/144)*(-4860*(-w+k*V)*((k^4+(4/135-(41/60)*w^2)*k^2+(1/20)*w^4-(4/405)*w^2)*V^4-(79/30)*k*(k^2-(35/79)*w^2+32/2133)*w*V^3+(-(41/60)*k^4+(-16/405+(107/30)*w^2)*k^2-(41/60)*w^4+(16/405)*w^2)*V^2+(7/6)*k*(k^2-(79/35)*w^2+32/945)*w*V+(1/20)*k^4+(4/405-(41/60)*w^2)*k^2+w^4-(4/135)*w^2)*(1-V^2)^(1/2)+1692*(V-1)*(V+1)*((-((93/188)*I)*w^2*k^2+((3/188)*I)*w^4-(8/423)*B*w^3*k+(8/141)*B*k^3*w+I*k^4)*V^4+(-(8/141)*B*k^4+(8/423)*B*w^4-(16/141)*B*w^2*k^2+((87/94)*I)*w^3*k-((283/94)*I)*w*k^3)*V^3+(-((93/188)*I)*w^4+(16/141)*B*w^3*k+((387/94)*I)*w^2*k^2-((93/188)*I)*k^4+(16/141)*B*k^3*w)*V^2+(-((283/94)*I)*w^3*k+(8/423)*B*k^4-(8/141)*B*w^4-(16/141)*B*w^2*k^2+((87/94)*I)*w*k^3)*V+((3/188)*I)*k^4-(8/423)*B*k^3*w+I*w^4+(8/141)*B*w^3*k-((93/188)*I)*w^2*k^2))/((V-1)^3*(V+1)^3)

_EnvExplicit := false;

false

HH:=[solve(numer(Hgen),w)]:

H := subsindets(HH,RootOf,u->seq(RootOf(op(1,u),_Z,index=i),i=1..5)):
nops(H);

5

st := time():
plt1 := plot(Im(eval(H[1], [B = 1, V=0.8])), k = 0 .. 1, color = red, linestyle = solid, discont = true, thickness=2, axesfont = ["TimesNewRoman", 18], labelfont = ["TimesNewRoman", 22], labels = [conjugate(k), Im(conjugate(omega))], axes = "boxed"):
plt2 := plot(Im(eval(H[2], [B = 1, V=0.8])), k = 0 .. 1, color = black, linestyle = solid, discont = true, thickness=2, axesfont = ["TimesNewRoman", 18], labelfont = ["TimesNewRoman", 22], labels = [conjugate(k), Im(conjugate(omega))], axes = "boxed"):
plt3 := plot(Im(eval(H[3], [B = 1, V=0.8])), k = 0 .. 1, color = green, linestyle = solid, discont = true, thickness=2, axesfont = ["TimesNewRoman", 18], labelfont = ["TimesNewRoman", 22], labels = [conjugate(k), Im(conjugate(omega))], axes = "boxed"):
plt4 := plot(Im(eval(H[4], [B = 1, V=0.8])), k = 0 .. 1, color = blue, linestyle = solid, discont = true, thickness=2, axesfont = ["TimesNewRoman", 18], labelfont = ["TimesNewRoman", 22], labels = [conjugate(k), Im(conjugate(omega))], axes = "boxed"):
plt5 := plot(Im(eval(H[5], [B = 1, V=0.8])), k = 0 .. 1, color = yellow, linestyle = solid, discont = true, thickness=2, axesfont = ["TimesNewRoman", 18], labelfont = ["TimesNewRoman", 22], labels = [conjugate(k), Im(conjugate(omega))], axes = "boxed"):
(time()-st)*`seconds`;

38.425*seconds

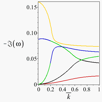
display(plt1, plt2, plt3, plt4, plt5, gridlines = false);

HHp := proc(kk) option remember, system;

         local res;

         res := fsolve(eval(numer(Hgen),[B=1,V=0.8,k=kk]),w);

       end proc:

opts := thickness=2, symbol=solidcircle, symbolsize=12:

forget(HHp);

st := time():

pplt1 := plot(k->Im(HHp(k)[1]), 0..1, color=yellow, discont=true, opts):

pplt2 := plot(k->Im(HHp(k)[2]), 0..1, color=blue, discont=true, opts):

pplt3 := plot(k->Im(HHp(k)[3]), 0..1, color=black, discont=true, opts):

pplt4 := plot(k->Im(HHp(k)[4]), 0..1, color=green, discont=true, opts):

pplt5 := plot(k->Im(HHp(k)[5]), 0..1, color=red, discont=true, opts):

(time()-st)*`seconds`;

10.227*seconds

plots:-display(pplt5, pplt4, pplt3, pplt2, pplt1, gridlines = false,
                    axesfont = ["TimesNewRoman", 18],
                    labelfont = ["TimesNewRoman", 22],
                    labels = [conjugate(k), Im(conjugate(omega))]);

 

Download file3_acc.mw

@tomleslie This works by fortune. That might be fine, since it's quite possible that the OP just needs to give the answer.

But it does not follow that the result is correct to a certain accuracy just because the absolute difference between two iterations (done at increasing working precision) falls below a target tolerance. It happens to produce the right answer for this well behaved example, but in general this approach need not work.

@digerdiga Which version and operating system are you using? 

@Carl Love My guesses are:

LWM = Legendre wavelet operational matrix method

NFSD = Nonstandard Finite Difference

@sand15 You might also be interested in examples like these:

w := (a-2)/(a-4^(1/2)):

eval(w, a = 2);  # notice

                 0

limit(w, a = 2);

                 1
f := a -> (a-4)/(2-sqrt(a)):

f(4);
Error, (in f) numeric exception: division by zero

ee := f(a);

                  a - 4
          ee := --------
                      1/2
                 2 - a

eval(ee,a=4);  # notice

               0

limit(ee,a=4);

              -4

See here for an old discussion.

@tomleslie In the Standard Java GUI, for a call to the interface command to work properly it has to be in a separate Execution Group (or Document Block) from a restart.

I took the liberty of fixing the rtablesize MapleNet property in the doFit2.mw file and inlining it above. I hope that's ok.

First 227 228 229 230 231 232 233 Last Page 229 of 599