delvin

60 Reputation

6 Badges

3 years, 105 days

MaplePrimes Activity


These are questions asked by delvin

I want to ask a question, but I cannot submit it using the link below. I tried several times, but it didn’t work. I wrote it like this, but I didn’t get the desired answer.

 

http://www.mapleprimes.com/questions/231499-Changing-The-Variables-


 

NULL

restart:
with(PDEtools):
tr1:={x=xi- lambda*t - delta,u(x,t)=Theta(xi) };


PDE := diff(u(x,t),t) + diff(u(x,t),x) + alpha*u(x,t)^2*diff(u(x,t),x)
      + beta*diff(u(x,t), t, x$2);

ode := dchange(tr1,PDE,[xi,Theta(xi)]);

{x = -lambda*t-delta+xi, u(x, t) = Theta(xi)}

 

diff(u(x, t), t)+diff(u(x, t), x)+alpha*u(x, t)^2*(diff(u(x, t), x))+beta*(diff(diff(diff(u(x, t), t), x), x))

 

diff(Theta(xi), xi)+alpha*Theta(xi)^2*(diff(Theta(xi), xi))

(1)

NULL

NULL


 

Download 963.mw

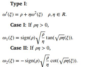
Hi,

I want to solve the equation shown in the image, along with its given conditions, using Maple and obtain the same results as in the image, but it does not work. Could you please help me?

NULL

restart:
interface(showassumed = 0):


df := diff(w(xi), xi) = rho + eta*w(xi)^2:

 

# Condition (1): rho * eta>0,
assume(rho * eta>0);

w1 := dsolve([df, w(0)=0]);

w(xi) = tan(xi*(rho*eta)^(1/2))*(rho*eta)^(1/2)/eta

(1)
 

 

Download 852.mw

 Hi,

How can I replace all the expressions diff(G(xi), xi)/G(xi) with the new variable w(xi) in the next step? (Even the ones that have powers)

NULL

eq2 := c*a0*(-lambda*diff(G(xi), xi) - mu*G(xi))/G(xi) - c*a0*diff(G(xi), xi)^2/G(xi)^2 - alpha*a0*diff(G(xi), xi)/((1 - 2*f(sqrt(lambda^2 - 4*mu)*y)*diff(G(xi), xi)/(sqrt(epsilon*lambda^2 - 4*epsilon*mu)*G(xi)) - f(sqrt(lambda^2 - 4*mu)*y)*lambda/sqrt(epsilon*lambda^2 - 4*epsilon*mu))*G(xi)) - alpha*a0*lambda/(2*(1 - 2*f(sqrt(lambda^2 - 4*mu)*y)*diff(G(xi), xi)/(sqrt(epsilon*lambda^2 - 4*epsilon*mu)*G(xi)) - f(sqrt(lambda^2 - 4*mu)*y)*lambda/sqrt(epsilon*lambda^2 - 4*epsilon*mu))) + alpha*a0*sqrt(epsilon*lambda^2 - 4*epsilon*mu)*epsilon*f(sqrt(lambda^2 - 4*mu)*y)/(2*(1 - 2*f(sqrt(lambda^2 - 4*mu)*y)*diff(G(xi), xi)/(sqrt(epsilon*lambda^2 - 4*epsilon*mu)*G(xi)) - f(sqrt(lambda^2 - 4*mu)*y)*lambda/sqrt(epsilon*lambda^2 - 4*epsilon*mu))) + alpha*a0*diff(G(xi), xi)/((1 + 2*f(sqrt(lambda^2 - 4*mu)*y)*diff(G(xi), xi)/(sqrt(epsilon*lambda^2 - 4*epsilon*mu)*G(xi)) + f(sqrt(lambda^2 - 4*mu)*y)*lambda/sqrt(epsilon*lambda^2 - 4*epsilon*mu))*G(xi)) + alpha*a0*lambda/(2*(1 + 2*f(sqrt(lambda^2 - 4*mu)*y)*diff(G(xi), xi)/(sqrt(epsilon*lambda^2 - 4*epsilon*mu)*G(xi)) + f(sqrt(lambda^2 - 4*mu)*y)*lambda/sqrt(epsilon*lambda^2 - 4*epsilon*mu))) + alpha*a0*sqrt(epsilon*lambda^2 - 4*epsilon*mu)*epsilon*f(sqrt(lambda^2 - 4*mu)*y)/(2*(1 + 2*f(sqrt(lambda^2 - 4*mu)*y)*diff(G(xi), xi)/(sqrt(epsilon*lambda^2 - 4*epsilon*mu)*G(xi)) + f(sqrt(lambda^2 - 4*mu)*y)*lambda/sqrt(epsilon*lambda^2 - 4*epsilon*mu))) - beta*a0^2*diff(G(xi), xi)^2/(G(xi)^2*(1 - 2*f(sqrt(lambda^2 - 4*mu)*y)*diff(G(xi), xi)/(sqrt(epsilon*lambda^2 - 4*epsilon*mu)*G(xi)) - f(sqrt(lambda^2 - 4*mu)*y)*lambda/sqrt(epsilon*lambda^2 - 4*epsilon*mu))) - beta*a0^2*diff(G(xi), xi)*lambda/(2*(1 - 2*f(sqrt(lambda^2 - 4*mu)*y)*diff(G(xi), xi)/(sqrt(epsilon*lambda^2 - 4*epsilon*mu)*G(xi)) - f(sqrt(lambda^2 - 4*mu)*y)*lambda/sqrt(epsilon*lambda^2 - 4*epsilon*mu))*G(xi)) + beta*a0^2*diff(G(xi), xi)*sqrt(epsilon*lambda^2 - 4*epsilon*mu)*epsilon*f(sqrt(lambda^2 - 4*mu)*y)/(2*(1 - 2*f(sqrt(lambda^2 - 4*mu)*y)*diff(G(xi), xi)/(sqrt(epsilon*lambda^2 - 4*epsilon*mu)*G(xi)) - f(sqrt(lambda^2 - 4*mu)*y)*lambda/sqrt(epsilon*lambda^2 - 4*epsilon*mu))*G(xi)) + beta*a0^2*diff(G(xi), xi)^2/(G(xi)^2*(1 + 2*f(sqrt(lambda^2 - 4*mu)*y)*diff(G(xi), xi)/(sqrt(epsilon*lambda^2 - 4*epsilon*mu)*G(xi)) + f(sqrt(lambda^2 - 4*mu)*y)*lambda/sqrt(epsilon*lambda^2 - 4*epsilon*mu))) + beta*a0^2*diff(G(xi), xi)*lambda/(2*(1 + 2*f(sqrt(lambda^2 - 4*mu)*y)*diff(G(xi), xi)/(sqrt(epsilon*lambda^2 - 4*epsilon*mu)*G(xi)) + f(sqrt(lambda^2 - 4*mu)*y)*lambda/sqrt(epsilon*lambda^2 - 4*epsilon*mu))*G(xi)) + beta*a0^2*diff(G(xi), xi)*sqrt(epsilon*lambda^2 - 4*epsilon*mu)*epsilon*f(sqrt(lambda^2 - 4*mu)*y)/(2*(1 + 2*f(sqrt(lambda^2 - 4*mu)*y)*diff(G(xi), xi)/(sqrt(epsilon*lambda^2 - 4*epsilon*mu)*G(xi)) + f(sqrt(lambda^2 - 4*mu)*y)*lambda/sqrt(epsilon*lambda^2 - 4*epsilon*mu))*G(xi)) - gamma*a0^3*diff(G(xi), xi)^3/(G(xi)^3*(1 - 2*f(sqrt(lambda^2 - 4*mu)*y)*diff(G(xi), xi)/(sqrt(epsilon*lambda^2 - 4*epsilon*mu)*G(xi)) - f(sqrt(lambda^2 - 4*mu)*y)*lambda/sqrt(epsilon*lambda^2 - 4*epsilon*mu))) - gamma*a0^3*diff(G(xi), xi)^2*lambda/(2*G(xi)^2*(1 - 2*f(sqrt(lambda^2 - 4*mu)*y)*diff(G(xi), xi)/(sqrt(epsilon*lambda^2 - 4*epsilon*mu)*G(xi)) - f(sqrt(lambda^2 - 4*mu)*y)*lambda/sqrt(epsilon*lambda^2 - 4*epsilon*mu))) + gamma*a0^3*diff(G(xi), xi)^2*sqrt(epsilon*lambda^2 - 4*epsilon*mu)*epsilon*f(sqrt(lambda^2 - 4*mu)*y)/(2*G(xi)^2*(1 - 2*f(sqrt(lambda^2 - 4*mu)*y)*diff(G(xi), xi)/(sqrt(epsilon*lambda^2 - 4*epsilon*mu)*G(xi)) - f(sqrt(lambda^2 - 4*mu)*y)*lambda/sqrt(epsilon*lambda^2 - 4*epsilon*mu))) + gamma*a0^3*diff(G(xi), xi)^3/(G(xi)^3*(1 + 2*f(sqrt(lambda^2 - 4*mu)*y)*diff(G(xi), xi)/(sqrt(epsilon*lambda^2 - 4*epsilon*mu)*G(xi)) + f(sqrt(lambda^2 - 4*mu)*y)*lambda/sqrt(epsilon*lambda^2 - 4*epsilon*mu))) + gamma*a0^3*diff(G(xi), xi)^2*lambda/(2*G(xi)^2*(1 + 2*f(sqrt(lambda^2 - 4*mu)*y)*diff(G(xi), xi)/(sqrt(epsilon*lambda^2 - 4*epsilon*mu)*G(xi)) + f(sqrt(lambda^2 - 4*mu)*y)*lambda/sqrt(epsilon*lambda^2 - 4*epsilon*mu))) + gamma*a0^3*diff(G(xi), xi)^2*sqrt(epsilon*lambda^2 - 4*epsilon*mu)*epsilon*f(sqrt(lambda^2 - 4*mu)*y)/(2*G(xi)^2*(1 + 2*f(sqrt(lambda^2 - 4*mu)*y)*diff(G(xi), xi)/(sqrt(epsilon*lambda^2 - 4*epsilon*mu)*G(xi)) + f(sqrt(lambda^2 - 4*mu)*y)*lambda/sqrt(epsilon*lambda^2 - 4*epsilon*mu)));

c*a0*(-lambda*(diff(G(xi), xi))-mu*G(xi))/G(xi)-c*a0*(diff(G(xi), xi))^2/G(xi)^2-alpha*a0*(diff(G(xi), xi))/((1-2*f((lambda^2-4*mu)^(1/2)*y)*(diff(G(xi), xi))/((epsilon*lambda^2-4*epsilon*mu)^(1/2)*G(xi))-f((lambda^2-4*mu)^(1/2)*y)*lambda/(epsilon*lambda^2-4*epsilon*mu)^(1/2))*G(xi))-alpha*a0*lambda/(2-4*f((lambda^2-4*mu)^(1/2)*y)*(diff(G(xi), xi))/((epsilon*lambda^2-4*epsilon*mu)^(1/2)*G(xi))-2*f((lambda^2-4*mu)^(1/2)*y)*lambda/(epsilon*lambda^2-4*epsilon*mu)^(1/2))+alpha*a0*(epsilon*lambda^2-4*epsilon*mu)^(1/2)*epsilon*f((lambda^2-4*mu)^(1/2)*y)/(2-4*f((lambda^2-4*mu)^(1/2)*y)*(diff(G(xi), xi))/((epsilon*lambda^2-4*epsilon*mu)^(1/2)*G(xi))-2*f((lambda^2-4*mu)^(1/2)*y)*lambda/(epsilon*lambda^2-4*epsilon*mu)^(1/2))+alpha*a0*(diff(G(xi), xi))/((1+2*f((lambda^2-4*mu)^(1/2)*y)*(diff(G(xi), xi))/((epsilon*lambda^2-4*epsilon*mu)^(1/2)*G(xi))+f((lambda^2-4*mu)^(1/2)*y)*lambda/(epsilon*lambda^2-4*epsilon*mu)^(1/2))*G(xi))+alpha*a0*lambda/(2+4*f((lambda^2-4*mu)^(1/2)*y)*(diff(G(xi), xi))/((epsilon*lambda^2-4*epsilon*mu)^(1/2)*G(xi))+2*f((lambda^2-4*mu)^(1/2)*y)*lambda/(epsilon*lambda^2-4*epsilon*mu)^(1/2))+alpha*a0*(epsilon*lambda^2-4*epsilon*mu)^(1/2)*epsilon*f((lambda^2-4*mu)^(1/2)*y)/(2+4*f((lambda^2-4*mu)^(1/2)*y)*(diff(G(xi), xi))/((epsilon*lambda^2-4*epsilon*mu)^(1/2)*G(xi))+2*f((lambda^2-4*mu)^(1/2)*y)*lambda/(epsilon*lambda^2-4*epsilon*mu)^(1/2))-beta*a0^2*(diff(G(xi), xi))^2/(G(xi)^2*(1-2*f((lambda^2-4*mu)^(1/2)*y)*(diff(G(xi), xi))/((epsilon*lambda^2-4*epsilon*mu)^(1/2)*G(xi))-f((lambda^2-4*mu)^(1/2)*y)*lambda/(epsilon*lambda^2-4*epsilon*mu)^(1/2)))-(1/2)*beta*a0^2*(diff(G(xi), xi))*lambda/((1-2*f((lambda^2-4*mu)^(1/2)*y)*(diff(G(xi), xi))/((epsilon*lambda^2-4*epsilon*mu)^(1/2)*G(xi))-f((lambda^2-4*mu)^(1/2)*y)*lambda/(epsilon*lambda^2-4*epsilon*mu)^(1/2))*G(xi))+(1/2)*beta*a0^2*(diff(G(xi), xi))*(epsilon*lambda^2-4*epsilon*mu)^(1/2)*epsilon*f((lambda^2-4*mu)^(1/2)*y)/((1-2*f((lambda^2-4*mu)^(1/2)*y)*(diff(G(xi), xi))/((epsilon*lambda^2-4*epsilon*mu)^(1/2)*G(xi))-f((lambda^2-4*mu)^(1/2)*y)*lambda/(epsilon*lambda^2-4*epsilon*mu)^(1/2))*G(xi))+beta*a0^2*(diff(G(xi), xi))^2/(G(xi)^2*(1+2*f((lambda^2-4*mu)^(1/2)*y)*(diff(G(xi), xi))/((epsilon*lambda^2-4*epsilon*mu)^(1/2)*G(xi))+f((lambda^2-4*mu)^(1/2)*y)*lambda/(epsilon*lambda^2-4*epsilon*mu)^(1/2)))+(1/2)*beta*a0^2*(diff(G(xi), xi))*lambda/((1+2*f((lambda^2-4*mu)^(1/2)*y)*(diff(G(xi), xi))/((epsilon*lambda^2-4*epsilon*mu)^(1/2)*G(xi))+f((lambda^2-4*mu)^(1/2)*y)*lambda/(epsilon*lambda^2-4*epsilon*mu)^(1/2))*G(xi))+(1/2)*beta*a0^2*(diff(G(xi), xi))*(epsilon*lambda^2-4*epsilon*mu)^(1/2)*epsilon*f((lambda^2-4*mu)^(1/2)*y)/((1+2*f((lambda^2-4*mu)^(1/2)*y)*(diff(G(xi), xi))/((epsilon*lambda^2-4*epsilon*mu)^(1/2)*G(xi))+f((lambda^2-4*mu)^(1/2)*y)*lambda/(epsilon*lambda^2-4*epsilon*mu)^(1/2))*G(xi))-gamma*a0^3*(diff(G(xi), xi))^3/(G(xi)^3*(1-2*f((lambda^2-4*mu)^(1/2)*y)*(diff(G(xi), xi))/((epsilon*lambda^2-4*epsilon*mu)^(1/2)*G(xi))-f((lambda^2-4*mu)^(1/2)*y)*lambda/(epsilon*lambda^2-4*epsilon*mu)^(1/2)))-(1/2)*gamma*a0^3*(diff(G(xi), xi))^2*lambda/(G(xi)^2*(1-2*f((lambda^2-4*mu)^(1/2)*y)*(diff(G(xi), xi))/((epsilon*lambda^2-4*epsilon*mu)^(1/2)*G(xi))-f((lambda^2-4*mu)^(1/2)*y)*lambda/(epsilon*lambda^2-4*epsilon*mu)^(1/2)))+(1/2)*gamma*a0^3*(diff(G(xi), xi))^2*(epsilon*lambda^2-4*epsilon*mu)^(1/2)*epsilon*f((lambda^2-4*mu)^(1/2)*y)/(G(xi)^2*(1-2*f((lambda^2-4*mu)^(1/2)*y)*(diff(G(xi), xi))/((epsilon*lambda^2-4*epsilon*mu)^(1/2)*G(xi))-f((lambda^2-4*mu)^(1/2)*y)*lambda/(epsilon*lambda^2-4*epsilon*mu)^(1/2)))+gamma*a0^3*(diff(G(xi), xi))^3/(G(xi)^3*(1+2*f((lambda^2-4*mu)^(1/2)*y)*(diff(G(xi), xi))/((epsilon*lambda^2-4*epsilon*mu)^(1/2)*G(xi))+f((lambda^2-4*mu)^(1/2)*y)*lambda/(epsilon*lambda^2-4*epsilon*mu)^(1/2)))+(1/2)*gamma*a0^3*(diff(G(xi), xi))^2*lambda/(G(xi)^2*(1+2*f((lambda^2-4*mu)^(1/2)*y)*(diff(G(xi), xi))/((epsilon*lambda^2-4*epsilon*mu)^(1/2)*G(xi))+f((lambda^2-4*mu)^(1/2)*y)*lambda/(epsilon*lambda^2-4*epsilon*mu)^(1/2)))+(1/2)*gamma*a0^3*(diff(G(xi), xi))^2*(epsilon*lambda^2-4*epsilon*mu)^(1/2)*epsilon*f((lambda^2-4*mu)^(1/2)*y)/(G(xi)^2*(1+2*f((lambda^2-4*mu)^(1/2)*y)*(diff(G(xi), xi))/((epsilon*lambda^2-4*epsilon*mu)^(1/2)*G(xi))+f((lambda^2-4*mu)^(1/2)*y)*lambda/(epsilon*lambda^2-4*epsilon*mu)^(1/2)))

(1)

NULL

Download 123.mw

Hi,

In order to obtain an algebraic system, one must set the coeffcients of (H + G′/G2)i to zero. Solve the obtained algebraic system.

But the expressions were not arranged correctly, but no answer was obtained, while the answer was as follows:

 

``NULL

restart

with(PDEtools):
df:= diff(diff(G(xi), xi)/(G(xi)^2), xi)= A+B*(diff(G(xi), xi)/(G(xi)^2))^2+ c*(diff(G(xi), xi)/(G(xi)^2));

(diff(diff(G(xi), xi), xi))/G(xi)^2-2*(diff(G(xi), xi))^2/G(xi)^3 = A+B*(diff(G(xi), xi))^2/G(xi)^4+c*(diff(G(xi), xi))/G(xi)^2

(1)

a := [a0, a1, a2, a3, a4, a5, a6, a7, a8, a9, a10]:

 

NULL

p:= -2: q:= 2:

Y1 :=xi -> (add(a[i+3]*(H+(diff(G(xi), xi)/(G(xi)^2)))^i, i = p .. q)):

NULL

eq1 := -4*(k^2)*m*diff(Y1(xi), xi,xi) - 4*l*(Y1(xi)^2)+(4*(nu^2)-4*nu*n+n^2-4)*Y1(xi):

eq2:=subs(df,eq1);

-4*k^2*m*(6*a0*(A+B*(diff(G(xi), xi))^2/G(xi)^4+c*(diff(G(xi), xi))/G(xi)^2)^2/(H+(diff(G(xi), xi))/G(xi)^2)^4-2*a0*((diff(diff(diff(G(xi), xi), xi), xi))/G(xi)^2-6*(diff(diff(G(xi), xi), xi))*(diff(G(xi), xi))/G(xi)^3+6*(diff(G(xi), xi))^3/G(xi)^4)/(H+(diff(G(xi), xi))/G(xi)^2)^3+2*a1*(A+B*(diff(G(xi), xi))^2/G(xi)^4+c*(diff(G(xi), xi))/G(xi)^2)^2/(H+(diff(G(xi), xi))/G(xi)^2)^3-a1*((diff(diff(diff(G(xi), xi), xi), xi))/G(xi)^2-6*(diff(diff(G(xi), xi), xi))*(diff(G(xi), xi))/G(xi)^3+6*(diff(G(xi), xi))^3/G(xi)^4)/(H+(diff(G(xi), xi))/G(xi)^2)^2+a3*((diff(diff(diff(G(xi), xi), xi), xi))/G(xi)^2-6*(diff(diff(G(xi), xi), xi))*(diff(G(xi), xi))/G(xi)^3+6*(diff(G(xi), xi))^3/G(xi)^4)+2*a4*(A+B*(diff(G(xi), xi))^2/G(xi)^4+c*(diff(G(xi), xi))/G(xi)^2)^2+2*a4*(H+(diff(G(xi), xi))/G(xi)^2)*((diff(diff(diff(G(xi), xi), xi), xi))/G(xi)^2-6*(diff(diff(G(xi), xi), xi))*(diff(G(xi), xi))/G(xi)^3+6*(diff(G(xi), xi))^3/G(xi)^4))-4*l*(a0/(H+(diff(G(xi), xi))/G(xi)^2)^2+a1/(H+(diff(G(xi), xi))/G(xi)^2)+a2+a3*(H+(diff(G(xi), xi))/G(xi)^2)+a4*(H+(diff(G(xi), xi))/G(xi)^2)^2)^2+(n^2-4*n*nu+4*nu^2-4)*(a0/(H+(diff(G(xi), xi))/G(xi)^2)^2+a1/(H+(diff(G(xi), xi))/G(xi)^2)+a2+a3*(H+(diff(G(xi), xi))/G(xi)^2)+a4*(H+(diff(G(xi), xi))/G(xi)^2)^2)

(2)

simplify(eq2):

fin1:=simplify(numer(%)):

``

for i from 0 to degree(fin1,H+(diff(G(xi), xi)/(G(xi)^2))) do EQ[i]:=simplify(coeff(fin1,H+(diff(G(xi), xi)/(G(xi)^2)),i)); end do;

4*k^2*(H*G(xi)^2+diff(G(xi), xi))*(-2*(diff(G(xi), xi))^4*a4-G(xi)^2*(8*H*a4+a3)*(diff(G(xi), xi))^3-3*G(xi)^4*H*(4*H*a4+a3)*(diff(G(xi), xi))^2+G(xi)^6*(-8*H^3*a4-3*H^2*a3+a1)*(diff(G(xi), xi))+G(xi)^8*(-2*H^4*a4-H^3*a3+H*a1+2*a0))*m*G(xi)^4*(diff(diff(diff(G(xi), xi), xi), xi))-24*(diff(G(xi), xi))*k^2*(H*G(xi)^2+diff(G(xi), xi))*(-2*(diff(G(xi), xi))^4*a4-G(xi)^2*(8*H*a4+a3)*(diff(G(xi), xi))^3-3*G(xi)^4*H*(4*H*a4+a3)*(diff(G(xi), xi))^2+G(xi)^6*(-8*H^3*a4-3*H^2*a3+a1)*(diff(G(xi), xi))+G(xi)^8*(-2*H^4*a4-H^3*a3+H*a1+2*a0))*m*G(xi)^3*(diff(diff(G(xi), xi), xi))-4*a4*(12*k^2*m*G(xi)^2+2*B^2*m*k^2+a4*l)*(diff(G(xi), xi))^8-8*G(xi)^2*(3*k^2*m*(10*H*a4+a3)*G(xi)^2+a4*((4*B^2*k^2*m+4*a4*l)*H+2*c*B*m*k^2+a3*l))*(diff(G(xi), xi))^7-16*(6*H*k^2*m*(5*H*a4+a3)*G(xi)^2+(3*B^2*a4*k^2*m+7*a4^2*l)*H^2+(7/2)*((8/7)*c*B*m*k^2+a3*l)*a4*H+(m*(B*A+(1/2)*c^2)*k^2+(1/2)*l*a2-(1/4)*(nu-(1/2)*n-1)*(nu-(1/2)*n+1))*a4+(1/4)*a3^2*l)*G(xi)^4*(diff(G(xi), xi))^6-64*G(xi)^6*(-(3/8)*k^2*m*(-20*H^3*a4-6*H^2*a3+a1)*G(xi)^2+((1/2)*k^2*m*B^2*a4+(7/2)*a4^2*l)*H^3+(21/8)*((4/7)*c*B*m*k^2+a3*l)*a4*H^2+((m*(B*A+(1/2)*c^2)*k^2+(3/4)*l*a2-(3/8)*(nu-(1/2)*n-1)*(nu-(1/2)*n+1))*a4+(3/8)*a3^2*l)*H+((1/4)*c*A*m*k^2+(1/8)*a1*l)*a4+(1/8)*a1*B^2*k^2*m+(1/8)*a3*(l*a2-(1/2)*(nu-(1/2)*n-1)*(nu-(1/2)*n+1)))*(diff(G(xi), xi))^5-8*G(xi)^8*(-6*k^2*m*(-5*H^4*a4-2*H^3*a3+H*a1+a0)*G(xi)^2+(B^2*a4*k^2*m+35*a4^2*l)*H^4+35*((8/35)*c*B*m*k^2+a3*l)*a4*H^3+(((12*A*B+6*c^2)*m*k^2+15*l*a2-(15/2)*(nu-(1/2)*n-1)*(nu-(1/2)*n+1))*a4+(15/2)*a3^2*l)*H^2+((8*A*c*k^2*m+5*a1*l)*a4+a1*B^2*k^2*m+5*a3*(l*a2-(1/2)*(nu-(1/2)*n-1)*(nu-(1/2)*n+1)))*H+(A^2*k^2*m+a0*l)*a4+(3*B^2*a0+2*B*a1*c)*m*k^2+(a1*a3+(1/2)*a2^2)*l-(1/2)*(nu-(1/2)*n-1)*a2*(nu-(1/2)*n+1))*(diff(G(xi), xi))^4-32*G(xi)^10*(-(3/4)*H*k^2*m*(-2*H^4*a4-H^3*a3+H*a1+2*a0)*G(xi)^2+7*H^5*a4^2*l+(35/4)*((2/35)*c*B*m*k^2+a3*l)*a4*H^4+((m*(2*A*B+c^2)*k^2+5*l*a2-(5/2)*(nu-(1/2)*n-1)*(nu-(1/2)*n+1))*a4+(5/2)*a3^2*l)*H^3+(((5/2)*a1*l+3*c*A*m*k^2)*a4+(5/2)*a3*(l*a2-(1/2)*(nu-(1/2)*n-1)*(nu-(1/2)*n+1)))*H^2+((A^2*k^2*m+a0*l)*a4+(1/2)*k^2*m*B*a1*c+(a1*a3+(1/2)*a2^2)*l-(1/2)*(nu-(1/2)*n-1)*a2*(nu-(1/2)*n+1))*H+(1/2)*((B*A+(1/2)*c^2)*a1+3*B*a0*c)*m*k^2+((1/4)*a0*a3+(1/4)*a1*a2)*l-(1/8)*(nu-(1/2)*n-1)*a1*(nu-(1/2)*n+1))*(diff(G(xi), xi))^3-48*((7/3)*H^6*a4^2*l+(7/2)*H^5*a3*a4*l+(((1/3)*m*(B*A+(1/2)*c^2)*k^2+(5/2)*l*a2-(5/4)*(nu-(1/2)*n-1)*(nu-(1/2)*n+1))*a4+(5/4)*a3^2*l)*H^4+(((5/3)*a1*l+(4/3)*c*A*m*k^2)*a4+(5/3)*a3*(l*a2-(1/2)*(nu-(1/2)*n-1)*(nu-(1/2)*n+1)))*H^3+((A^2*k^2*m+a0*l)*a4+(a1*a3+(1/2)*a2^2)*l-(1/2)*(nu-(1/2)*n-1)*a2*(nu-(1/2)*n+1))*H^2+((1/3)*(B*A+(1/2)*c^2)*a1*m*k^2+((1/2)*a0*a3+(1/2)*a1*a2)*l-(1/4)*(nu-(1/2)*n-1)*a1*(nu-(1/2)*n+1))*H+(1/3)*m*(A*a1*c+3*(B*A+(1/2)*c^2)*a0)*k^2+((1/6)*a0*a2+(1/12)*a1^2)*l-(1/12)*(nu-(1/2)*n-1)*a0*(nu-(1/2)*n+1))*G(xi)^12*(diff(G(xi), xi))^2-8*(4*a4^2*H^7*l+7*a3*a4*H^6*l+((6*l*a2+3*nu*n-3*nu^2-(3/4)*n^2+3)*a4+3*a3^2*l)*H^5+((2*A*c*k^2*m+5*a1*l)*a4+5*a3*(l*a2-(1/2)*(nu-(1/2)*n-1)*(nu-(1/2)*n+1)))*H^4+((4*A^2*k^2*m+4*a0*l)*a4+(4*a1*a3+2*a2^2)*l-2*(nu-(1/2)*n-1)*a2*(nu-(1/2)*n+1))*H^3+((3*a0*a3+3*a1*a2)*l-(3/2)*(nu-(1/2)*n-1)*a1*(nu-(1/2)*n+1))*H^2+(2*k^2*m*A*a1*c+(2*a0*a2+a1^2)*l-(nu-(1/2)*n-1)*a0*(nu-(1/2)*n+1))*H+A*m*(A*a1+6*a0*c)*k^2+a1*l*a0)*G(xi)^14*(diff(G(xi), xi))-8*G(xi)^16*((1/2)*H^8*a4^2*l+H^7*a3*a4*l+((l*a2-(1/2)*(nu-(1/2)*n-1)*(nu-(1/2)*n+1))*a4+(1/2)*a3^2*l)*H^6+(a1*a4*l+a3*(l*a2-(1/2)*(nu-(1/2)*n-1)*(nu-(1/2)*n+1)))*H^5+((A^2*k^2*m+a0*l)*a4+(a1*a3+(1/2)*a2^2)*l-(1/2)*(nu-(1/2)*n-1)*a2*(nu-(1/2)*n+1))*H^4+((a0*a3+a1*a2)*l-(1/2)*(nu-(1/2)*n-1)*a1*(nu-(1/2)*n+1))*H^3+(((1/2)*a1^2+a0*a2)*l-(1/2)*(nu-(1/2)*n-1)*a0*(nu-(1/2)*n+1))*H^2+a1*(A^2*k^2*m+a0*l)*H+(1/2)*a0^2*l+3*k^2*m*A^2*a0)

(3)

 

NULL

for i from 0 to degree(fin1,H+(diff(G(xi), xi)/(G(xi)^2))) do EQ[i]:=simplify(coeff(fin1,H+(diff(G(xi), xi)/(G(xi)^2)),i)); end do;

4*k^2*(H*G(xi)^2+diff(G(xi), xi))*(-2*(diff(G(xi), xi))^4*a4-G(xi)^2*(8*H*a4+a3)*(diff(G(xi), xi))^3-3*G(xi)^4*H*(4*H*a4+a3)*(diff(G(xi), xi))^2+G(xi)^6*(-8*H^3*a4-3*H^2*a3+a1)*(diff(G(xi), xi))+G(xi)^8*(-2*H^4*a4-H^3*a3+H*a1+2*a0))*m*G(xi)^4*(diff(diff(diff(G(xi), xi), xi), xi))-24*(diff(G(xi), xi))*k^2*(H*G(xi)^2+diff(G(xi), xi))*(-2*(diff(G(xi), xi))^4*a4-G(xi)^2*(8*H*a4+a3)*(diff(G(xi), xi))^3-3*G(xi)^4*H*(4*H*a4+a3)*(diff(G(xi), xi))^2+G(xi)^6*(-8*H^3*a4-3*H^2*a3+a1)*(diff(G(xi), xi))+G(xi)^8*(-2*H^4*a4-H^3*a3+H*a1+2*a0))*m*G(xi)^3*(diff(diff(G(xi), xi), xi))-4*a4*(12*k^2*m*G(xi)^2+2*B^2*m*k^2+a4*l)*(diff(G(xi), xi))^8-8*G(xi)^2*(3*k^2*m*(10*H*a4+a3)*G(xi)^2+a4*((4*B^2*k^2*m+4*a4*l)*H+2*c*B*m*k^2+a3*l))*(diff(G(xi), xi))^7-16*(6*H*k^2*m*(5*H*a4+a3)*G(xi)^2+(3*B^2*a4*k^2*m+7*a4^2*l)*H^2+(7/2)*((8/7)*c*B*m*k^2+a3*l)*a4*H+(m*(B*A+(1/2)*c^2)*k^2+(1/2)*l*a2-(1/4)*(nu-(1/2)*n-1)*(nu-(1/2)*n+1))*a4+(1/4)*a3^2*l)*G(xi)^4*(diff(G(xi), xi))^6-64*G(xi)^6*(-(3/8)*k^2*m*(-20*H^3*a4-6*H^2*a3+a1)*G(xi)^2+((1/2)*k^2*m*B^2*a4+(7/2)*a4^2*l)*H^3+(21/8)*((4/7)*c*B*m*k^2+a3*l)*a4*H^2+((m*(B*A+(1/2)*c^2)*k^2+(3/4)*l*a2-(3/8)*(nu-(1/2)*n-1)*(nu-(1/2)*n+1))*a4+(3/8)*a3^2*l)*H+((1/4)*c*A*m*k^2+(1/8)*a1*l)*a4+(1/8)*a1*B^2*k^2*m+(1/8)*a3*(l*a2-(1/2)*(nu-(1/2)*n-1)*(nu-(1/2)*n+1)))*(diff(G(xi), xi))^5-8*G(xi)^8*(-6*k^2*m*(-5*H^4*a4-2*H^3*a3+H*a1+a0)*G(xi)^2+(B^2*a4*k^2*m+35*a4^2*l)*H^4+35*((8/35)*c*B*m*k^2+a3*l)*a4*H^3+(((12*A*B+6*c^2)*m*k^2+15*l*a2-(15/2)*(nu-(1/2)*n-1)*(nu-(1/2)*n+1))*a4+(15/2)*a3^2*l)*H^2+((8*A*c*k^2*m+5*a1*l)*a4+a1*B^2*k^2*m+5*a3*(l*a2-(1/2)*(nu-(1/2)*n-1)*(nu-(1/2)*n+1)))*H+(A^2*k^2*m+a0*l)*a4+(3*B^2*a0+2*B*a1*c)*m*k^2+(a1*a3+(1/2)*a2^2)*l-(1/2)*(nu-(1/2)*n-1)*a2*(nu-(1/2)*n+1))*(diff(G(xi), xi))^4-32*G(xi)^10*(-(3/4)*H*k^2*m*(-2*H^4*a4-H^3*a3+H*a1+2*a0)*G(xi)^2+7*H^5*a4^2*l+(35/4)*((2/35)*c*B*m*k^2+a3*l)*a4*H^4+((m*(2*A*B+c^2)*k^2+5*l*a2-(5/2)*(nu-(1/2)*n-1)*(nu-(1/2)*n+1))*a4+(5/2)*a3^2*l)*H^3+(((5/2)*a1*l+3*c*A*m*k^2)*a4+(5/2)*a3*(l*a2-(1/2)*(nu-(1/2)*n-1)*(nu-(1/2)*n+1)))*H^2+((A^2*k^2*m+a0*l)*a4+(1/2)*k^2*m*B*a1*c+(a1*a3+(1/2)*a2^2)*l-(1/2)*(nu-(1/2)*n-1)*a2*(nu-(1/2)*n+1))*H+(1/2)*((B*A+(1/2)*c^2)*a1+3*B*a0*c)*m*k^2+((1/4)*a0*a3+(1/4)*a1*a2)*l-(1/8)*(nu-(1/2)*n-1)*a1*(nu-(1/2)*n+1))*(diff(G(xi), xi))^3-48*((7/3)*H^6*a4^2*l+(7/2)*H^5*a3*a4*l+(((1/3)*m*(B*A+(1/2)*c^2)*k^2+(5/2)*l*a2-(5/4)*(nu-(1/2)*n-1)*(nu-(1/2)*n+1))*a4+(5/4)*a3^2*l)*H^4+(((5/3)*a1*l+(4/3)*c*A*m*k^2)*a4+(5/3)*a3*(l*a2-(1/2)*(nu-(1/2)*n-1)*(nu-(1/2)*n+1)))*H^3+((A^2*k^2*m+a0*l)*a4+(a1*a3+(1/2)*a2^2)*l-(1/2)*(nu-(1/2)*n-1)*a2*(nu-(1/2)*n+1))*H^2+((1/3)*(B*A+(1/2)*c^2)*a1*m*k^2+((1/2)*a0*a3+(1/2)*a1*a2)*l-(1/4)*(nu-(1/2)*n-1)*a1*(nu-(1/2)*n+1))*H+(1/3)*m*(A*a1*c+3*(B*A+(1/2)*c^2)*a0)*k^2+((1/6)*a0*a2+(1/12)*a1^2)*l-(1/12)*(nu-(1/2)*n-1)*a0*(nu-(1/2)*n+1))*G(xi)^12*(diff(G(xi), xi))^2-8*(4*a4^2*H^7*l+7*a3*a4*H^6*l+((6*l*a2+3*nu*n-3*nu^2-(3/4)*n^2+3)*a4+3*a3^2*l)*H^5+((2*A*c*k^2*m+5*a1*l)*a4+5*a3*(l*a2-(1/2)*(nu-(1/2)*n-1)*(nu-(1/2)*n+1)))*H^4+((4*A^2*k^2*m+4*a0*l)*a4+(4*a1*a3+2*a2^2)*l-2*(nu-(1/2)*n-1)*a2*(nu-(1/2)*n+1))*H^3+((3*a0*a3+3*a1*a2)*l-(3/2)*(nu-(1/2)*n-1)*a1*(nu-(1/2)*n+1))*H^2+(2*k^2*m*A*a1*c+(2*a0*a2+a1^2)*l-(nu-(1/2)*n-1)*a0*(nu-(1/2)*n+1))*H+A*m*(A*a1+6*a0*c)*k^2+a1*l*a0)*G(xi)^14*(diff(G(xi), xi))-8*G(xi)^16*((1/2)*H^8*a4^2*l+H^7*a3*a4*l+((l*a2-(1/2)*(nu-(1/2)*n-1)*(nu-(1/2)*n+1))*a4+(1/2)*a3^2*l)*H^6+(a1*a4*l+a3*(l*a2-(1/2)*(nu-(1/2)*n-1)*(nu-(1/2)*n+1)))*H^5+((A^2*k^2*m+a0*l)*a4+(a1*a3+(1/2)*a2^2)*l-(1/2)*(nu-(1/2)*n-1)*a2*(nu-(1/2)*n+1))*H^4+((a0*a3+a1*a2)*l-(1/2)*(nu-(1/2)*n-1)*a1*(nu-(1/2)*n+1))*H^3+(((1/2)*a1^2+a0*a2)*l-(1/2)*(nu-(1/2)*n-1)*a0*(nu-(1/2)*n+1))*H^2+a1*(A^2*k^2*m+a0*l)*H+(1/2)*a0^2*l+3*k^2*m*A^2*a0)

(4)

Eqs:={seq(EQ[i],i=0..12)}:

 

sol:=solve(Eqs,{a0, a1, a2, a3, a4, H, nu},explicit)

(5)
 

 

Download GGGGGGG2.mw

Hello

I encountered a few problems. One is that in the first section, I wanted to use the definition above instead of f (s ) and g (s ), which means that when the variable changes under the integral sign, it should detect and replace it.

And the next is that in the Equality section, I should sort by p and set the coefficients to zero. And then, for example, solve for the zero power of p and get the value of f0 and use it in subsequent solutions. Can you help me?

restart;
EQUATIONS

equ1:=diff(f(t),t)-1-t-t^2-g(t)-int(f(s)+g(s),s=0..t)=0;

equ2:=diff(g(t),t)+1+t-f(t)+int(f(s)-g(s),s=0..t)=0;
 

diff(f(t), t)-1-t-t^2-g(t)-(int(f(s)+g(s), s = 0 .. t)) = 0

 

diff(g(t), t)+1+t-f(t)+int(f(s)-g(s), s = 0 .. t) = 0

(1)

f(t):=sum(f[i](t)*p^i,i=0..1);

f[0](t)+f[1](t)*p

(2)

g(t):=sum(g[i](t)*p^i,i=0..1);

g[0](t)+g[1](t)*p

(3)


HPMs

hpm1:=(1-p)*(diff(f(t),t)-1-t-t^2)+p*(-diff(f(t),t)+1+t+t^2-g(t)-int(f(s)+g(s),s=0..t))=0;

hpm2:=(1-p)*(diff(g(t),t)+1+t)+p*(diff(g(t),t)-1-t+f(t)-int(f(s)-g(s),s=0..t))=0;

(1-p)*(diff(f[0](t), t)+(diff(f[1](t), t))*p-1-t-t^2)+p*(-(diff(f[0](t), t))-(diff(f[1](t), t))*p+1+t+t^2-g[0](t)-g[1](t)*p-(int(f(s)+g(s), s = 0 .. t))) = 0

 

(1-p)*(diff(g[0](t), t)+(diff(g[1](t), t))*p+1+t)+p*(diff(g[0](t), t)+(diff(g[1](t), t))*p-1-t+f[0](t)+f[1](t)*p-(int(f(s)-g(s), s = 0 .. t))) = 0

(4)

``

Collect

A:=collect(hpm1,p);

(-2*(diff(f[1](t), t))-g[1](t))*p^2+(2*t^2-2*(diff(f[0](t), t))+diff(f[1](t), t)-g[0](t)-(int(f(s)+g(s), s = 0 .. t))+2*t+2)*p-t^2+diff(f[0](t), t)-t-1 = 0

(5)

EqualityNULL

for i from 0 to degree(A,p) do EQ[i]:=simplify(coeff(A,p,i)); end do;

Error, final value in for loop must be numeric or character

 
   

Download HPMsystem.mw

1 2 3 4 5 6 7 Page 1 of 8