tomleslie

13876 Reputation

20 Badges

15 years, 357 days

MaplePrimes Activity


These are replies submitted by tomleslie

All Maple-related communication should take place only on this site.

You asked

I have this problem from which I want to separate constant but could not get after following your said procedure. can you pls solve for me
restart;
ode := N*diff(Phi(eta), eta, eta) - M^2*Phi(eta) = p;
                     
bc := Phi(-sigma) = 1, Phi(sigma) = -k;

The attached shows the

  1. complete solution
  2. the values of the two integration constants (although why you want these separately beats me

#
# Set up and solve the problem the easy way.
#
  ode := N*diff(Phi(eta), eta, eta) - M^2*Phi(eta) = p;
  bc := Phi(-sigma) = 1, Phi(sigma) = -k;
  sol:=simplify(dsolve([ode, bc]));

N*(diff(diff(Phi(eta), eta), eta))-M^2*Phi(eta) = p

 

Phi(-sigma) = 1, Phi(sigma) = -k

 

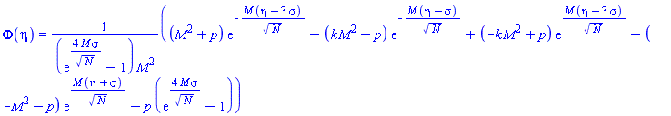
Phi(eta) = ((M^2+p)*exp(-M*(eta-3*sigma)/N^(1/2))+(M^2*k-p)*exp(-M*(eta-sigma)/N^(1/2))+(-M^2*k+p)*exp(M*(eta+3*sigma)/N^(1/2))+(-M^2-p)*exp(M*(eta+sigma)/N^(1/2))-p*(exp(4*M*sigma/N^(1/2))-1))/((exp(4*M*sigma/N^(1/2))-1)*M^2)

(1)

#
# Get the general solution in terms of a couple
# of integration constants
#
  genSol:=dsolve(ode);
#
# Use odetest() on this solution and the supplied
# boundary conditions, to determine required
# values for the integration constants
#
  solve
  ( odetest
    ( genSol, [ode, bc])[2..3],
    [_C1, _C2]
  )[];
#
# Substitute these constants of integration in the
# general solution - givess the saem answer as the
# previous execution group
#
  simplify( eval(genSol, %));

Phi(eta) = exp(M*eta/N^(1/2))*_C2+exp(-M*eta/N^(1/2))*_C1-p/M^2

 

[_C1 = -(M^2*exp(-M*sigma/N^(1/2))*k+M^2*exp(M*sigma/N^(1/2))+p*exp(M*sigma/N^(1/2))-exp(-M*sigma/N^(1/2))*p)/(M^2*((exp(-M*sigma/N^(1/2)))^2-(exp(M*sigma/N^(1/2)))^2)), _C2 = (k*M^2*exp(M*sigma/N^(1/2))+M^2*exp(-M*sigma/N^(1/2))-p*exp(M*sigma/N^(1/2))+exp(-M*sigma/N^(1/2))*p)/(M^2*((exp(-M*sigma/N^(1/2)))^2-(exp(M*sigma/N^(1/2)))^2))]

 

Phi(eta) = ((M^2+p)*exp(-M*(eta-3*sigma)/N^(1/2))+(M^2*k-p)*exp(-M*(eta-sigma)/N^(1/2))+(-M^2*k+p)*exp(M*(eta+3*sigma)/N^(1/2))+(-M^2-p)*exp(M*(eta+sigma)/N^(1/2))-p*(exp(4*M*sigma/N^(1/2))-1))/((exp(4*M*sigma/N^(1/2))-1)*M^2)

(2)

 

Download odeProb.mw

@AHSAN 

in the Mapleprimes toolbar to upload your complete worksheet

 

@AHSAN 

than the attached

  restart:
  with(plots):

#
# Set up a "toy" example of an 2nd order ode
# with no initial/ boundary conditions and
# solve it.
#
# Note that the colution contains two "unknown"
# constants which Maple writes as _C1 and _C2
#
  genSol:= dsolve(  diff(y(x),x,x) = 2*y(x) + 1
                 );

y(x) = exp(2^(1/2)*x)*_C2+exp(-2^(1/2)*x)*_C1-1/2

(1)

#
# So how are these two unknown constants to be
# determined? The only way is to actually provide
# two boundary conditions. So one could repeat
# the above problem, but this time with a couple
# of boundary conditions - as in the following,
# which will produce a solution with no arbitrary
# constants
#
  Sol:= dsolve( [ diff(y(x),x,x) = 2*y(x) + 1,
                   y(0)=1,
                   D(y)(0)=0
                 ]
               );

y(x) = (3/4)*exp(2^(1/2)*x)+(3/4)*exp(-2^(1/2)*x)-1/2

(2)

#
# Despite what studying textbooks might lead you,
# to believe, most ODEs cannot be solved "exactly"
# and have to be solved "numerically", which Maple
# will also do - the following will return a procedure
# from which a "numerical" solution to the original
# problem may be determined
#
  numSol:= dsolve( [ diff(y(x),x,x) = 2*y(x) + 1,
                   y(0)=1,
                   D(y)(0)=0
                 ],
                 numeric
               );

proc (x_rkf45) local _res, _dat, _vars, _solnproc, _xout, _ndsol, _pars, _n, _i; option `Copyright (c) 2000 by Waterloo Maple Inc. All rights reserved.`; if 1 < nargs then error "invalid input: too many arguments" end if; _EnvDSNumericSaveDigits := Digits; Digits := 15; if _EnvInFsolve = true then _xout := evalf[_EnvDSNumericSaveDigits](x_rkf45) else _xout := evalf(x_rkf45) end if; _dat := Array(1..4, {(1) = proc (_xin) local _xout, _dtbl, _dat, _vmap, _x0, _y0, _val, _dig, _n, _ne, _nd, _nv, _pars, _ini, _par, _i, _j, _k, _src; option `Copyright (c) 2002 by Waterloo Maple Inc. All rights reserved.`; table( [( "complex" ) = false ] ) _xout := _xin; _pars := []; _dtbl := array( 1 .. 4, [( 1 ) = (array( 1 .. 26, [( 1 ) = (datatype = float[8], order = C_order, storage = rectangular), ( 2 ) = (datatype = float[8], order = C_order, storage = rectangular), ( 3 ) = ([0, 0, 0, Array(1..0, 1..2, {}, datatype = float[8], order = C_order)]), ( 4 ) = (Array(1..63, {(1) = 2, (2) = 2, (3) = 0, (4) = 0, (5) = 0, (6) = 0, (7) = 1, (8) = 0, (9) = 0, (10) = 0, (11) = 0, (12) = 0, (13) = 0, (14) = 0, (15) = 0, (16) = 0, (17) = 0, (18) = 1, (19) = 30000, (20) = 0, (21) = 0, (22) = 1, (23) = 4, (24) = 0, (25) = 1, (26) = 15, (27) = 1, (28) = 0, (29) = 1, (30) = 3, (31) = 3, (32) = 0, (33) = 1, (34) = 0, (35) = 0, (36) = 0, (37) = 0, (38) = 0, (39) = 0, (40) = 0, (41) = 0, (42) = 0, (43) = 1, (44) = 0, (45) = 0, (46) = 0, (47) = 0, (48) = 0, (49) = 0, (50) = 50, (51) = 1, (52) = 0, (53) = 0, (54) = 0, (55) = 0, (56) = 0, (57) = 0, (58) = 0, (59) = 10000, (60) = 0, (61) = 1000, (62) = 0, (63) = 0}, datatype = integer[8])), ( 5 ) = (Array(1..28, {(1) = .0, (2) = 0.10e-5, (3) = .0, (4) = 0.500001e-14, (5) = .0, (6) = 0.16825529186138485e-2, (7) = .0, (8) = 0.10e-5, (9) = .0, (10) = .0, (11) = .0, (12) = .0, (13) = 1.0, (14) = .0, (15) = .49999999999999, (16) = .0, (17) = 1.0, (18) = 1.0, (19) = .0, (20) = .0, (21) = 1.0, (22) = 1.0, (23) = .0, (24) = .0, (25) = 0.10e-14, (26) = .0, (27) = .0, (28) = .0}, datatype = float[8], order = C_order)), ( 6 ) = (Array(1..2, {(1) = 1.0, (2) = .0}, datatype = float[8], order = C_order)), ( 7 ) = ([Array(1..4, 1..7, {(1, 1) = .0, (1, 2) = .203125, (1, 3) = .3046875, (1, 4) = .75, (1, 5) = .8125, (1, 6) = .40625, (1, 7) = .8125, (2, 1) = 0.6378173828125e-1, (2, 2) = .0, (2, 3) = .279296875, (2, 4) = .27237892150878906, (2, 5) = -0.9686851501464844e-1, (2, 6) = 0.1956939697265625e-1, (2, 7) = .5381584167480469, (3, 1) = 0.31890869140625e-1, (3, 2) = .0, (3, 3) = -.34375, (3, 4) = -.335235595703125, (3, 5) = .2296142578125, (3, 6) = .41748046875, (3, 7) = 11.480712890625, (4, 1) = 0.9710520505905151e-1, (4, 2) = .0, (4, 3) = .40350341796875, (4, 4) = 0.20297467708587646e-1, (4, 5) = -0.6054282188415527e-2, (4, 6) = -0.4770040512084961e-1, (4, 7) = .77858567237854}, datatype = float[8], order = C_order), Array(1..6, 1..6, {(1, 1) = .0, (1, 2) = .0, (1, 3) = .0, (1, 4) = .0, (1, 5) = .0, (1, 6) = 1.0, (2, 1) = .25, (2, 2) = .0, (2, 3) = .0, (2, 4) = .0, (2, 5) = .0, (2, 6) = 1.0, (3, 1) = .1875, (3, 2) = .5625, (3, 3) = .0, (3, 4) = .0, (3, 5) = .0, (3, 6) = 2.0, (4, 1) = .23583984375, (4, 2) = -.87890625, (4, 3) = .890625, (4, 4) = .0, (4, 5) = .0, (4, 6) = .2681884765625, (5, 1) = .1272735595703125, (5, 2) = -.5009765625, (5, 3) = .44921875, (5, 4) = -0.128936767578125e-1, (5, 5) = .0, (5, 6) = 0.626220703125e-1, (6, 1) = -0.927734375e-1, (6, 2) = .626220703125, (6, 3) = -.4326171875, (6, 4) = .1418304443359375, (6, 5) = -0.861053466796875e-1, (6, 6) = .3131103515625}, datatype = float[8], order = C_order), Array(1..6, {(1) = .0, (2) = .386, (3) = .21, (4) = .63, (5) = 1.0, (6) = 1.0}, datatype = float[8], order = C_order), Array(1..6, {(1) = .25, (2) = -.1043, (3) = .1035, (4) = -0.362e-1, (5) = .0, (6) = .0}, datatype = float[8], order = C_order), Array(1..6, 1..5, {(1, 1) = .0, (1, 2) = .0, (1, 3) = .0, (1, 4) = .0, (1, 5) = .0, (2, 1) = 1.544, (2, 2) = .0, (2, 3) = .0, (2, 4) = .0, (2, 5) = .0, (3, 1) = .9466785280815533, (3, 2) = .25570116989825814, (3, 3) = .0, (3, 4) = .0, (3, 5) = .0, (4, 1) = 3.3148251870684886, (4, 2) = 2.896124015972123, (4, 3) = .9986419139977808, (4, 4) = .0, (4, 5) = .0, (5, 1) = 1.2212245092262748, (5, 2) = 6.019134481287752, (5, 3) = 12.537083329320874, (5, 4) = -.687886036105895, (5, 5) = .0, (6, 1) = 1.2212245092262748, (6, 2) = 6.019134481287752, (6, 3) = 12.537083329320874, (6, 4) = -.687886036105895, (6, 5) = 1.0}, datatype = float[8], order = C_order), Array(1..6, 1..5, {(1, 1) = .0, (1, 2) = .0, (1, 3) = .0, (1, 4) = .0, (1, 5) = .0, (2, 1) = -5.6688, (2, 2) = .0, (2, 3) = .0, (2, 4) = .0, (2, 5) = .0, (3, 1) = -2.4300933568337584, (3, 2) = -.20635991570891224, (3, 3) = .0, (3, 4) = .0, (3, 5) = .0, (4, 1) = -.10735290581452621, (4, 2) = -9.594562251021896, (4, 3) = -20.470286148096154, (4, 4) = .0, (4, 5) = .0, (5, 1) = 7.496443313968615, (5, 2) = -10.246804314641219, (5, 3) = -33.99990352819906, (5, 4) = 11.708908932061595, (5, 5) = .0, (6, 1) = 8.083246795922411, (6, 2) = -7.981132988062785, (6, 3) = -31.52159432874373, (6, 4) = 16.319305431231363, (6, 5) = -6.0588182388340535}, datatype = float[8], order = C_order), Array(1..3, 1..5, {(1, 1) = .0, (1, 2) = .0, (1, 3) = .0, (1, 4) = .0, (1, 5) = .0, (2, 1) = 10.126235083446911, (2, 2) = -7.487995877607633, (2, 3) = -34.800918615557414, (2, 4) = -7.9927717075687275, (2, 5) = 1.0251377232956207, (3, 1) = -.6762803392806898, (3, 2) = 6.087714651678606, (3, 3) = 16.43084320892463, (3, 4) = 24.767225114183653, (3, 5) = -6.5943891257167815}, datatype = float[8], order = C_order)]), ( 9 ) = ([Array(1..2, {(1) = .1, (2) = .1}, datatype = float[8], order = C_order), Array(1..2, {(1) = .0, (2) = .0}, datatype = float[8], order = C_order), Array(1..2, {(1) = .0, (2) = .0}, datatype = float[8], order = C_order), Array(1..2, {(1) = .0, (2) = .0}, datatype = float[8], order = C_order), Array(1..2, {(1) = .0, (2) = .0}, datatype = float[8], order = C_order), Array(1..2, 1..2, {(1, 1) = .0, (1, 2) = .0, (2, 1) = .0, (2, 2) = .0}, datatype = float[8], order = C_order), Array(1..2, 1..2, {(1, 1) = .0, (1, 2) = .0, (2, 1) = .0, (2, 2) = .0}, datatype = float[8], order = C_order), Array(1..2, {(1) = .0, (2) = .0}, datatype = float[8], order = C_order), Array(1..2, 1..2, {(1, 1) = .0, (1, 2) = .0, (2, 1) = .0, (2, 2) = .0}, datatype = float[8], order = C_order), Array(1..2, 1..6, {(1, 1) = .0, (1, 2) = .0, (1, 3) = .0, (1, 4) = .0, (1, 5) = .0, (1, 6) = .0, (2, 1) = .0, (2, 2) = .0, (2, 3) = .0, (2, 4) = .0, (2, 5) = .0, (2, 6) = .0}, datatype = float[8], order = C_order), Array(1..2, {(1) = 0, (2) = 0}, datatype = integer[8]), Array(1..2, {(1) = .0, (2) = .0}, datatype = float[8], order = C_order), Array(1..2, {(1) = .0, (2) = .0}, datatype = float[8], order = C_order), Array(1..2, {(1) = .0, (2) = .0}, datatype = float[8], order = C_order), Array(1..2, {(1) = .0, (2) = .0}, datatype = float[8], order = C_order), Array(1..2, {(1) = .0, (2) = .0}, datatype = float[8], order = C_order), Array(1..4, {(1) = .0, (2) = .0, (3) = .0, (4) = .0}, datatype = float[8], order = C_order), Array(1..2, {(1) = 0, (2) = 0}, datatype = integer[8])]), ( 8 ) = ([Array(1..2, {(1) = 1.0, (2) = .0}, datatype = float[8], order = C_order), Array(1..2, {(1) = .0, (2) = .0}, datatype = float[8], order = C_order), Array(1..2, {(1) = .0, (2) = 3.0}, datatype = float[8], order = C_order), 0, 0]), ( 11 ) = (Array(1..6, 0..2, {(1, 1) = .0, (1, 2) = .0, (2, 0) = .0, (2, 1) = .0, (2, 2) = .0, (3, 0) = .0, (3, 1) = .0, (3, 2) = .0, (4, 0) = .0, (4, 1) = .0, (4, 2) = .0, (5, 0) = .0, (5, 1) = .0, (5, 2) = .0, (6, 0) = .0, (6, 1) = .0, (6, 2) = .0}, datatype = float[8], order = C_order)), ( 10 ) = ([proc (N, X, Y, YP) option `[Y[1] = y(x), Y[2] = diff(y(x),x)]`; YP[2] := 2*Y[1]+1; YP[1] := Y[2]; 0 end proc, -1, 0, 0, 0, 0, 0, 0, 0, 0]), ( 13 ) = (), ( 12 ) = (), ( 15 ) = ("rkf45"), ( 14 ) = ([0, 0]), ( 18 ) = ([]), ( 19 ) = (0), ( 16 ) = ([0, 0, 0, 0, 0, []]), ( 17 ) = ([proc (N, X, Y, YP) option `[Y[1] = y(x), Y[2] = diff(y(x),x)]`; YP[2] := 2*Y[1]+1; YP[1] := Y[2]; 0 end proc, -1, 0, 0, 0, 0, 0, 0, 0, 0]), ( 22 ) = (0), ( 23 ) = (0), ( 20 ) = ([]), ( 21 ) = (0), ( 26 ) = (Array(1..0, {})), ( 25 ) = (Array(1..0, {})), ( 24 ) = (0)  ] ))  ] ); _y0 := Array(0..2, {(1) = 0., (2) = 1.}); _vmap := array( 1 .. 2, [( 1 ) = (1), ( 2 ) = (2)  ] ); _x0 := _dtbl[1][5][5]; _n := _dtbl[1][4][1]; _ne := _dtbl[1][4][3]; _nd := _dtbl[1][4][4]; _nv := _dtbl[1][4][16]; if not type(_xout, 'numeric') then if member(_xout, ["start", "left", "right"]) then if _Env_smart_dsolve_numeric = true or _dtbl[1][4][10] = 1 then if _xout = "left" then if type(_dtbl[2], 'table') then return _dtbl[2][5][1] end if elif _xout = "right" then if type(_dtbl[3], 'table') then return _dtbl[3][5][1] end if end if end if; return _dtbl[1][5][5] elif _xout = "method" then return _dtbl[1][15] elif _xout = "storage" then return evalb(_dtbl[1][4][10] = 1) elif _xout = "leftdata" then if not type(_dtbl[2], 'array') then return NULL else return eval(_dtbl[2]) end if elif _xout = "rightdata" then if not type(_dtbl[3], 'array') then return NULL else return eval(_dtbl[3]) end if elif _xout = "enginedata" then return eval(_dtbl[1]) elif _xout = "enginereset" then _dtbl[2] := evaln(_dtbl[2]); _dtbl[3] := evaln(_dtbl[3]); return NULL elif _xout = "initial" then return procname(_y0[0]) elif _xout = "laxtol" then return _dtbl[`if`(member(_dtbl[4], {2, 3}), _dtbl[4], 1)][5][18] elif _xout = "numfun" then return `if`(member(_dtbl[4], {2, 3}), _dtbl[_dtbl[4]][4][18], 0) elif _xout = "parameters" then return [seq(_y0[_n+_i], _i = 1 .. nops(_pars))] elif _xout = "initial_and_parameters" then return procname(_y0[0]), [seq(_y0[_n+_i], _i = 1 .. nops(_pars))] elif _xout = "last" then if _dtbl[4] <> 2 and _dtbl[4] <> 3 or _x0-_dtbl[_dtbl[4]][5][1] = 0. then error "no information is available on last computed point" else _xout := _dtbl[_dtbl[4]][5][1] end if elif _xout = "function" then if _dtbl[1][4][33]-2. = 0 then return eval(_dtbl[1][10], 1) else return eval(_dtbl[1][10][1], 1) end if elif _xout = "map" then return copy(_vmap) elif type(_xin, `=`) and type(rhs(_xin), 'list') and member(lhs(_xin), {"initial", "parameters", "initial_and_parameters"}) then _ini, _par := [], []; if lhs(_xin) = "initial" then _ini := rhs(_xin) elif lhs(_xin) = "parameters" then _par := rhs(_xin) elif select(type, rhs(_xin), `=`) <> [] then _par, _ini := selectremove(type, rhs(_xin), `=`) elif nops(rhs(_xin)) < nops(_pars)+1 then error "insufficient data for specification of initial and parameters" else _par := rhs(_xin)[-nops(_pars) .. -1]; _ini := rhs(_xin)[1 .. -nops(_pars)-1] end if; _xout := lhs(_xout); _i := false; if _par <> [] then _i := `dsolve/numeric/process_parameters`(_n, _pars, _par, _y0) end if; if _ini <> [] then _i := `dsolve/numeric/process_initial`(_n-_ne, _ini, _y0, _pars, _vmap) or _i end if; if _i then `dsolve/numeric/SC/reinitialize`(_dtbl, _y0, _n, procname, _pars); if _Env_smart_dsolve_numeric = true and type(_y0[0], 'numeric') and _dtbl[1][4][10] <> 1 then procname("right") := _y0[0]; procname("left") := _y0[0] end if end if; if _xout = "initial" then return [_y0[0], seq(_y0[_vmap[_i]], _i = 1 .. _n-_ne)] elif _xout = "parameters" then return [seq(_y0[_n+_i], _i = 1 .. nops(_pars))] else return [_y0[0], seq(_y0[_vmap[_i]], _i = 1 .. _n-_ne)], [seq(_y0[_n+_i], _i = 1 .. nops(_pars))] end if elif _xin = "eventstop" then if _nv = 0 then error "this solution has no events" end if; _i := _dtbl[4]; if _i <> 2 and _i <> 3 then return 0 end if; if _dtbl[_i][4][10] = 1 and assigned(_dtbl[5-_i]) and _dtbl[_i][4][9] < 100 and 100 <= _dtbl[5-_i][4][9] then _i := 5-_i; _dtbl[4] := _i; _j := round(_dtbl[_i][4][17]); return round(_dtbl[_i][3][1][_j, 1]) elif 100 <= _dtbl[_i][4][9] then _j := round(_dtbl[_i][4][17]); return round(_dtbl[_i][3][1][_j, 1]) else return 0 end if elif _xin = "eventstatus" then if _nv = 0 then error "this solution has no events" end if; _i := [selectremove(proc (a) options operator, arrow; _dtbl[1][3][1][a, 7] = 1 end proc, {seq(_j, _j = 1 .. round(_dtbl[1][3][1][_nv+1, 1]))})]; return ':-enabled' = _i[1], ':-disabled' = _i[2] elif _xin = "eventclear" then if _nv = 0 then error "this solution has no events" end if; _i := _dtbl[4]; if _i <> 2 and _i <> 3 then error "no events to clear" end if; if _dtbl[_i][4][10] = 1 and assigned(_dtbl[5-_i]) and _dtbl[_i][4][9] < 100 and 100 < _dtbl[5-_i][4][9] then _dtbl[4] := 5-_i; _i := 5-_i end if; if _dtbl[_i][4][9] < 100 then error "no events to clear" elif _nv < _dtbl[_i][4][9]-100 then error "event error condition cannot be cleared" else _j := _dtbl[_i][4][9]-100; if irem(round(_dtbl[_i][3][1][_j, 4]), 2) = 1 then error "retriggerable events cannot be cleared" end if; _j := round(_dtbl[_i][3][1][_j, 1]); for _k to _nv do if _dtbl[_i][3][1][_k, 1] = _j then if _dtbl[_i][3][1][_k, 2] = 3 then error "range events cannot be cleared" end if; _dtbl[_i][3][1][_k, 8] := _dtbl[_i][3][1][_nv+1, 8] end if end do; _dtbl[_i][4][17] := 0; _dtbl[_i][4][9] := 0; if _dtbl[1][4][10] = 1 then if _i = 2 then try procname(procname("left")) catch:  end try else try procname(procname("right")) catch:  end try end if end if end if; return  elif type(_xin, `=`) and member(lhs(_xin), {"eventdisable", "eventenable"}) then if _nv = 0 then error "this solution has no events" end if; if type(rhs(_xin), {('list')('posint'), ('set')('posint')}) then _i := {op(rhs(_xin))} elif type(rhs(_xin), 'posint') then _i := {rhs(_xin)} else error "event identifiers must be integers in the range 1..%1", round(_dtbl[1][3][1][_nv+1, 1]) end if; if select(proc (a) options operator, arrow; _nv < a end proc, _i) <> {} then error "event identifiers must be integers in the range 1..%1", round(_dtbl[1][3][1][_nv+1, 1]) end if; _k := {}; for _j to _nv do if member(round(_dtbl[1][3][1][_j, 1]), _i) then _k := `union`(_k, {_j}) end if end do; _i := _k; if lhs(_xin) = "eventdisable" then _dtbl[4] := 0; _j := [evalb(assigned(_dtbl[2]) and member(_dtbl[2][4][17], _i)), evalb(assigned(_dtbl[3]) and member(_dtbl[3][4][17], _i))]; for _k in _i do _dtbl[1][3][1][_k, 7] := 0; if assigned(_dtbl[2]) then _dtbl[2][3][1][_k, 7] := 0 end if; if assigned(_dtbl[3]) then _dtbl[3][3][1][_k, 7] := 0 end if end do; if _j[1] then for _k to _nv+1 do if _k <= _nv and not type(_dtbl[2][3][4][_k, 1], 'undefined') then userinfo(3, {'events', 'eventreset'}, `reinit #2, event code `, _k, ` to defined init `, _dtbl[2][3][4][_k, 1]); _dtbl[2][3][1][_k, 8] := _dtbl[2][3][4][_k, 1] elif _dtbl[2][3][1][_k, 2] = 0 and irem(iquo(round(_dtbl[2][3][1][_k, 4]), 32), 2) = 1 then userinfo(3, {'events', 'eventreset'}, `reinit #2, event code `, _k, ` to rate hysteresis init `, _dtbl[2][5][24]); _dtbl[2][3][1][_k, 8] := _dtbl[2][5][24] elif _dtbl[2][3][1][_k, 2] = 0 and irem(iquo(round(_dtbl[2][3][1][_k, 4]), 2), 2) = 0 then userinfo(3, {'events', 'eventreset'}, `reinit #2, event code `, _k, ` to initial init `, _x0); _dtbl[2][3][1][_k, 8] := _x0 else userinfo(3, {'events', 'eventreset'}, `reinit #2, event code `, _k, ` to fireinitial init `, _x0-1); _dtbl[2][3][1][_k, 8] := _x0-1 end if end do; _dtbl[2][4][17] := 0; _dtbl[2][4][9] := 0; if _dtbl[1][4][10] = 1 then procname(procname("left")) end if end if; if _j[2] then for _k to _nv+1 do if _k <= _nv and not type(_dtbl[3][3][4][_k, 2], 'undefined') then userinfo(3, {'events', 'eventreset'}, `reinit #3, event code `, _k, ` to defined init `, _dtbl[3][3][4][_k, 2]); _dtbl[3][3][1][_k, 8] := _dtbl[3][3][4][_k, 2] elif _dtbl[3][3][1][_k, 2] = 0 and irem(iquo(round(_dtbl[3][3][1][_k, 4]), 32), 2) = 1 then userinfo(3, {'events', 'eventreset'}, `reinit #3, event code `, _k, ` to rate hysteresis init `, _dtbl[3][5][24]); _dtbl[3][3][1][_k, 8] := _dtbl[3][5][24] elif _dtbl[3][3][1][_k, 2] = 0 and irem(iquo(round(_dtbl[3][3][1][_k, 4]), 2), 2) = 0 then userinfo(3, {'events', 'eventreset'}, `reinit #3, event code `, _k, ` to initial init `, _x0); _dtbl[3][3][1][_k, 8] := _x0 else userinfo(3, {'events', 'eventreset'}, `reinit #3, event code `, _k, ` to fireinitial init `, _x0+1); _dtbl[3][3][1][_k, 8] := _x0+1 end if end do; _dtbl[3][4][17] := 0; _dtbl[3][4][9] := 0; if _dtbl[1][4][10] = 1 then procname(procname("right")) end if end if else for _k in _i do _dtbl[1][3][1][_k, 7] := 1 end do; _dtbl[2] := evaln(_dtbl[2]); _dtbl[3] := evaln(_dtbl[3]); _dtbl[4] := 0; if _dtbl[1][4][10] = 1 then if _x0 <= procname("right") then try procname(procname("right")) catch:  end try end if; if procname("left") <= _x0 then try procname(procname("left")) catch:  end try end if end if end if; return  elif type(_xin, `=`) and lhs(_xin) = "eventfired" then if not type(rhs(_xin), 'list') then error "'eventfired' must be specified as a list" end if; if _nv = 0 then error "this solution has no events" end if; if _dtbl[4] <> 2 and _dtbl[4] <> 3 then error "'direction' must be set prior to calling/setting 'eventfired'" end if; _i := _dtbl[4]; _val := NULL; if not assigned(_EnvEventRetriggerWarned) then _EnvEventRetriggerWarned := false end if; for _k in rhs(_xin) do if type(_k, 'integer') then _src := _k elif type(_k, 'integer' = 'anything') and type(evalf(rhs(_k)), 'numeric') then _k := lhs(_k) = evalf[max(Digits, 18)](rhs(_k)); _src := lhs(_k) else error "'eventfired' entry is not valid: %1", _k end if; if _src < 1 or round(_dtbl[1][3][1][_nv+1, 1]) < _src then error "event identifiers must be integers in the range 1..%1", round(_dtbl[1][3][1][_nv+1, 1]) end if; _src := {seq(`if`(_dtbl[1][3][1][_j, 1]-_src = 0., _j, NULL), _j = 1 .. _nv)}; if nops(_src) <> 1 then error "'eventfired' can only be set/queried for root-finding events and time/interval events" end if; _src := _src[1]; if _dtbl[1][3][1][_src, 2] <> 0. and _dtbl[1][3][1][_src, 2]-2. <> 0. then error "'eventfired' can only be set/queried for root-finding events and time/interval events" elif irem(round(_dtbl[1][3][1][_src, 4]), 2) = 1 then if _EnvEventRetriggerWarned = false then WARNING(`'eventfired' has no effect on events that retrigger`) end if; _EnvEventRetriggerWarned := true end if; if _dtbl[_i][3][1][_src, 2] = 0 and irem(iquo(round(_dtbl[_i][3][1][_src, 4]), 32), 2) = 1 then _val := _val, undefined elif type(_dtbl[_i][3][4][_src, _i-1], 'undefined') or _i = 2 and _dtbl[2][3][1][_src, 8] < _dtbl[2][3][4][_src, 1] or _i = 3 and _dtbl[3][3][4][_src, 2] < _dtbl[3][3][1][_src, 8] then _val := _val, _dtbl[_i][3][1][_src, 8] else _val := _val, _dtbl[_i][3][4][_src, _i-1] end if; if type(_k, `=`) then if _dtbl[_i][3][1][_src, 2] = 0 and irem(iquo(round(_dtbl[_i][3][1][_src, 4]), 32), 2) = 1 then error "cannot set event code for a rate hysteresis event" end if; userinfo(3, {'events', 'eventreset'}, `manual set event code `, _src, ` to value `, rhs(_k)); _dtbl[_i][3][1][_src, 8] := rhs(_k); _dtbl[_i][3][4][_src, _i-1] := rhs(_k) end if end do; return [_val] elif type(_xin, `=`) and lhs(_xin) = "direction" then if not member(rhs(_xin), {-1, 1, ':-left', ':-right'}) then error "'direction' must be specified as either '1' or 'right' (positive) or '-1' or 'left' (negative)" end if; _src := `if`(_dtbl[4] = 2, -1, `if`(_dtbl[4] = 3, 1, undefined)); _i := `if`(member(rhs(_xin), {1, ':-right'}), 3, 2); _dtbl[4] := _i; _dtbl[_i] := `dsolve/numeric/SC/IVPdcopy`(_dtbl[1], `if`(assigned(_dtbl[_i]), _dtbl[_i], NULL)); if 0 < _nv then for _j to _nv+1 do if _j <= _nv and not type(_dtbl[_i][3][4][_j, _i-1], 'undefined') then userinfo(3, {'events', 'eventreset'}, `reinit #4, event code `, _j, ` to defined init `, _dtbl[_i][3][4][_j, _i-1]); _dtbl[_i][3][1][_j, 8] := _dtbl[_i][3][4][_j, _i-1] elif _dtbl[_i][3][1][_j, 2] = 0 and irem(iquo(round(_dtbl[_i][3][1][_j, 4]), 32), 2) = 1 then userinfo(3, {'events', 'eventreset'}, `reinit #4, event code `, _j, ` to rate hysteresis init `, _dtbl[_i][5][24]); _dtbl[_i][3][1][_j, 8] := _dtbl[_i][5][24] elif _dtbl[_i][3][1][_j, 2] = 0 and irem(iquo(round(_dtbl[_i][3][1][_j, 4]), 2), 2) = 0 then userinfo(3, {'events', 'eventreset'}, `reinit #4, event code `, _j, ` to initial init `, _x0); _dtbl[_i][3][1][_j, 8] := _x0 else userinfo(3, {'events', 'eventreset'}, `reinit #4, event code `, _j, ` to fireinitial init `, _x0-2*_i+5.0); _dtbl[_i][3][1][_j, 8] := _x0-2*_i+5.0 end if end do end if; return _src elif _xin = "eventcount" then if _dtbl[1][3][1] = 0 or _dtbl[4] <> 2 and _dtbl[4] <> 3 then return 0 else return round(_dtbl[_dtbl[4]][3][1][_nv+1, 12]) end if else return "procname" end if end if; if _xout = _x0 then return [_x0, seq(evalf(_dtbl[1][6][_vmap[_i]]), _i = 1 .. _n-_ne)] end if; _i := `if`(_x0 <= _xout, 3, 2); if _xin = "last" and 0 < _dtbl[_i][4][9] and _dtbl[_i][4][9] < 100 then _dat := eval(_dtbl[_i], 2); _j := _dat[4][20]; return [_dat[11][_j, 0], seq(_dat[11][_j, _vmap[_i]], _i = 1 .. _n-_ne-_nd), seq(_dat[8][1][_vmap[_i]], _i = _n-_ne-_nd+1 .. _n-_ne)] end if; if not type(_dtbl[_i], 'array') then _dtbl[_i] := `dsolve/numeric/SC/IVPdcopy`(_dtbl[1], `if`(assigned(_dtbl[_i]), _dtbl[_i], NULL)); if 0 < _nv then for _j to _nv+1 do if _j <= _nv and not type(_dtbl[_i][3][4][_j, _i-1], 'undefined') then userinfo(3, {'events', 'eventreset'}, `reinit #5, event code `, _j, ` to defined init `, _dtbl[_i][3][4][_j, _i-1]); _dtbl[_i][3][1][_j, 8] := _dtbl[_i][3][4][_j, _i-1] elif _dtbl[_i][3][1][_j, 2] = 0 and irem(iquo(round(_dtbl[_i][3][1][_j, 4]), 32), 2) = 1 then userinfo(3, {'events', 'eventreset'}, `reinit #5, event code `, _j, ` to rate hysteresis init `, _dtbl[_i][5][24]); _dtbl[_i][3][1][_j, 8] := _dtbl[_i][5][24] elif _dtbl[_i][3][1][_j, 2] = 0 and irem(iquo(round(_dtbl[_i][3][1][_j, 4]), 2), 2) = 0 then userinfo(3, {'events', 'eventreset'}, `reinit #5, event code `, _j, ` to initial init `, _x0); _dtbl[_i][3][1][_j, 8] := _x0 else userinfo(3, {'events', 'eventreset'}, `reinit #5, event code `, _j, ` to fireinitial init `, _x0-2*_i+5.0); _dtbl[_i][3][1][_j, 8] := _x0-2*_i+5.0 end if end do end if end if; if _xin <> "last" then if 0 < 0 then if `dsolve/numeric/checkglobals`(op(_dtbl[1][14]), _pars, _n, _y0) then `dsolve/numeric/SC/reinitialize`(_dtbl, _y0, _n, procname, _pars, _i) end if end if; if _dtbl[1][4][7] = 0 then error "parameters must be initialized before solution can be computed" end if end if; _dat := eval(_dtbl[_i], 2); _dtbl[4] := _i; try _src := `dsolve/numeric/SC/IVPrun`(_dat, _xout) catch: userinfo(2, `dsolve/debug`, print(`Exception in solnproc:`, [lastexception][2 .. -1])); error  end try; if _dat[17] <> _dtbl[1][17] then _dtbl[1][17] := _dat[17]; _dtbl[1][10] := _dat[10] end if; if _src = 0 and 100 < _dat[4][9] then _val := _dat[3][1][_nv+1, 8] else _val := _dat[11][_dat[4][20], 0] end if; if _src <> 0 or _dat[4][9] <= 0 then _dtbl[1][5][1] := _xout else _dtbl[1][5][1] := _val end if; if _i = 3 and _val < _xout then Rounding := -infinity; if _dat[4][9] = 1 then error "cannot evaluate the solution further right of %1, probably a singularity", evalf[8](_val) elif _dat[4][9] = 2 then error "cannot evaluate the solution further right of %1, maxfun limit exceeded (see ?dsolve,maxfun for details)", evalf[8](_val) elif _dat[4][9] = 3 then if _dat[4][25] = 3 then error "cannot evaluate the solution past the initial point, problem may be initially singular or improperly set up" else error "cannot evaluate the solution past the initial point, problem may be complex, initially singular or improperly set up" end if elif _dat[4][9] = 4 then error "cannot evaluate the solution further right of %1, accuracy goal cannot be achieved with specified 'minstep'", evalf[8](_val) elif _dat[4][9] = 5 then error "cannot evaluate the solution further right of %1, too many step failures, tolerances may be too loose for problem", evalf[8](_val) elif _dat[4][9] = 6 then error "cannot evaluate the solution further right of %1, cannot downgrade delay storage for problems with delay derivative order > 1, try increasing delaypts", evalf[8](_val) elif _dat[4][9] = 10 then error "cannot evaluate the solution further right of %1, interrupt requested", evalf[8](_val) elif 100 < _dat[4][9] then if _dat[4][9]-100 = _nv+1 then error "constraint projection failure on event at t=%1", evalf[8](_val) elif _dat[4][9]-100 = _nv+2 then error "index-1 and derivative evaluation failure on event at t=%1", evalf[8](_val) elif _dat[4][9]-100 = _nv+3 then error "maximum number of event iterations reached (%1) at t=%2", round(_dat[3][1][_nv+1, 3]), evalf[8](_val) else if _Env_dsolve_nowarnstop <> true then `dsolve/numeric/warning`(StringTools:-FormatMessage("cannot evaluate the solution further right of %1, event #%2 triggered a halt", evalf[8](_val), round(_dat[3][1][_dat[4][9]-100, 1]))) end if; Rounding := 'nearest'; _xout := _val end if else error "cannot evaluate the solution further right of %1", evalf[8](_val) end if elif _i = 2 and _xout < _val then Rounding := infinity; if _dat[4][9] = 1 then error "cannot evaluate the solution further left of %1, probably a singularity", evalf[8](_val) elif _dat[4][9] = 2 then error "cannot evaluate the solution further left of %1, maxfun limit exceeded (see ?dsolve,maxfun for details)", evalf[8](_val) elif _dat[4][9] = 3 then if _dat[4][25] = 3 then error "cannot evaluate the solution past the initial point, problem may be initially singular or improperly set up" else error "cannot evaluate the solution past the initial point, problem may be complex, initially singular or improperly set up" end if elif _dat[4][9] = 4 then error "cannot evaluate the solution further left of %1, accuracy goal cannot be achieved with specified 'minstep'", evalf[8](_val) elif _dat[4][9] = 5 then error "cannot evaluate the solution further left of %1, too many step failures, tolerances may be too loose for problem", evalf[8](_val) elif _dat[4][9] = 6 then error "cannot evaluate the solution further left of %1, cannot downgrade delay storage for problems with delay derivative order > 1, try increasing delaypts", evalf[8](_val) elif _dat[4][9] = 10 then error "cannot evaluate the solution further right of %1, interrupt requested", evalf[8](_val) elif 100 < _dat[4][9] then if _dat[4][9]-100 = _nv+1 then error "constraint projection failure on event at t=%1", evalf[8](_val) elif _dat[4][9]-100 = _nv+2 then error "index-1 and derivative evaluation failure on event at t=%1", evalf[8](_val) elif _dat[4][9]-100 = _nv+3 then error "maximum number of event iterations reached (%1) at t=%2", round(_dat[3][1][_nv+1, 3]), evalf[8](_val) else if _Env_dsolve_nowarnstop <> true then `dsolve/numeric/warning`(StringTools:-FormatMessage("cannot evaluate the solution further left of %1, event #%2 triggered a halt", evalf[8](_val), round(_dat[3][1][_dat[4][9]-100, 1]))) end if; Rounding := 'nearest'; _xout := _val end if else error "cannot evaluate the solution further left of %1", evalf[8](_val) end if end if; if _EnvInFsolve = true then _dig := _dat[4][26]; if type(_EnvDSNumericSaveDigits, 'posint') then _dat[4][26] := _EnvDSNumericSaveDigits else _dat[4][26] := Digits end if; _Env_dsolve_SC_native := true; if _dat[4][25] = 1 then _i := 1; _dat[4][25] := 2 else _i := _dat[4][25] end if; _val := `dsolve/numeric/SC/IVPval`(_dat, _xout, _src); _dat[4][25] := _i; _dat[4][26] := _dig; [_xout, seq(_val[_vmap[_i]], _i = 1 .. _n-_ne)] else Digits := _dat[4][26]; _val := `dsolve/numeric/SC/IVPval`(eval(_dat, 2), _xout, _src); [_xout, seq(_val[_vmap[_i]], _i = 1 .. _n-_ne)] end if end proc, (2) = Array(0..0, {}), (3) = [x, y(x), diff(y(x), x)], (4) = []}); _vars := _dat[3]; _pars := map(rhs, _dat[4]); _n := nops(_vars)-1; _solnproc := _dat[1]; if not type(_xout, 'numeric') then if member(x_rkf45, ["start", 'start', "method", 'method', "left", 'left', "right", 'right', "leftdata", "rightdata", "enginedata", "eventstop", 'eventstop', "eventclear", 'eventclear', "eventstatus", 'eventstatus', "eventcount", 'eventcount', "laxtol", 'laxtol', "numfun", 'numfun', NULL]) then _res := _solnproc(convert(x_rkf45, 'string')); if 1 < nops([_res]) then return _res elif type(_res, 'array') then return eval(_res, 1) elif _res <> "procname" then return _res end if elif member(x_rkf45, ["last", 'last', "initial", 'initial', "parameters", 'parameters', "initial_and_parameters", 'initial_and_parameters', NULL]) then _xout := convert(x_rkf45, 'string'); _res := _solnproc(_xout); if _xout = "parameters" then return [seq(_pars[_i] = _res[_i], _i = 1 .. nops(_pars))] elif _xout = "initial_and_parameters" then return [seq(_vars[_i+1] = [_res][1][_i+1], _i = 0 .. _n), seq(_pars[_i] = [_res][2][_i], _i = 1 .. nops(_pars))] else return [seq(_vars[_i+1] = _res[_i+1], _i = 0 .. _n)] end if elif type(_xout, `=`) and member(lhs(_xout), ["initial", 'initial', "parameters", 'parameters', "initial_and_parameters", 'initial_and_parameters', NULL]) then _xout := convert(lhs(x_rkf45), 'string') = rhs(x_rkf45); if type(rhs(_xout), 'list') then _res := _solnproc(_xout) else error "initial and/or parameter values must be specified in a list" end if; if lhs(_xout) = "initial" then return [seq(_vars[_i+1] = _res[_i+1], _i = 0 .. _n)] elif lhs(_xout) = "parameters" then return [seq(_pars[_i] = _res[_i], _i = 1 .. nops(_pars))] else return [seq(_vars[_i+1] = [_res][1][_i+1], _i = 0 .. _n), seq(_pars[_i] = [_res][2][_i], _i = 1 .. nops(_pars))] end if elif type(_xout, `=`) and member(lhs(_xout), ["eventdisable", 'eventdisable', "eventenable", 'eventenable', "eventfired", 'eventfired', "direction", 'direction', NULL]) then return _solnproc(convert(lhs(x_rkf45), 'string') = rhs(x_rkf45)) elif _xout = "solnprocedure" then return eval(_solnproc) elif _xout = "sysvars" then return _vars end if; if procname <> unknown then return ('procname')(x_rkf45) else _ndsol := 1; _ndsol := _ndsol; _ndsol := pointto(_dat[2][0]); return ('_ndsol')(x_rkf45) end if end if; try _res := _solnproc(_xout); [seq(_vars[_i+1] = _res[_i+1], _i = 0 .. _n)] catch: error  end try end proc

(3)

#
# So now we can plot the "exact" solution and the
# "numerical" solution on the saem graph, just to
# see if the difference is noticeable - and for
# this ODE, it really isn't
#
  display
  ( [ plot
      ( rhs(Sol),
        x=0..1
      ),
      odeplot
      ( numSol,
        [x,y(x)],
        x=0..1
      )
    ],
    color=[red, blue],
    title="Exact and Numerical Solutions"
  );
#
# Although if one really wants to try one could
# actually plot the difference between these two
# solutions, just to see how accurate the numerical
# solution process actually is. Before you get excited
# by this plot, note the vertical scale indicating
# that the error between the exact and numerical
# solutions is O(10^-7)
#
  odeplot
  ( numSol,
    [x, y(x)-rhs(Sol)],
    x=0..1,
    title="Error between exact and numeric solutions"
  );

 

 

#
# An alternative method of determining the values of the
# constants in the general solution - ie genSol above, is
# to use the odetest() command. Essentially this substitutes
# the general solution, with the unknowns (_C1 and _C2)
# into the original oded and supply the same boundary
# conditions. Since all entries in the returned list should
# be zero, the second and third entries in the returned list
# give a pair of equations whihc the unknown constants _C1
# and _C2 must satisfy
#
  otest:= odetest( genSol,
                   [ diff(y(x),x,x) = 2*y(x) + 1,
                     y(0)=1,
                     D(y)(0)=0
                   ]
                 );

[0, 3/2-_C2-_C1, -2^(1/2)*_C2+2^(1/2)*_C1]

(4)

#
# Determine the values of the integration constants
# which make all above list entries zero
#
  cVals:=solve(otest[-2..-1]);

{_C1 = 3/4, _C2 = 3/4}

(5)

#
# Now substitute the values of these constants in the
# general solution. Note that this is identical to
# the exact solution 'Sol' obtained above
#
  subs( cVals, genSol);

y(x) = (3/4)*exp(2^(1/2)*x)+(3/4)*exp(-2^(1/2)*x)-1/2

(6)

 


 

Download solvingODEs.mw

Maple 2020 returns the two solutions you (and dharr) have already obtained, with no warniings. I wouldn't like to guarantee that this means there are no other solutions - probably just that the existence of any other solutions is very very unlikely.

restart;
interface(version);
solve({l*(2*l^2*lambda^4*sigma*w*a[2]+l^2*lambda^2*mu*w*b[1]+6*l*lambda^2*m*sigma*a[0]^2-6*l*lambda^2*m*b[1]^2+6*l*m*mu^2*a[0]^2-l*lambda^2*    rho*sigma*a[0]-l*mu^2*rho*a[0]+4*lambda^2*sigma*w*a[0]+4*mu^2*w*a[0]) = 0,
 l*(2*l^2*lambda^3*sigma*w*a[1]+6*l^2*lambda^2*mu*w*b[2]+2*l^2*lambda*mu^2*w*a[1]+12*l*lambda^2*m*sigma*a[0]*a[1]-12*l*lambda^2*m*b[1]*b[2]-l*lambda^2*rho*sigma*a[1]+12*l*m*mu^2*a[0]*a[1]-l*mu^2*rho*a[1]+4*lambda^2*sigma*w*a[1]+4*mu^2*w*a[1]) = 0,
 l*(5*l^2*lambda^3*sigma*w*b[2]-3*l^2*lambda^2*mu*sigma*w*a[1]-7*l^2*lambda*mu^2*w*b[2]-3*l^2*mu^3*w*a[1]+12*l*lambda^2*m*sigma*a[0]*b[2]+12*l*lambda^2*m*sigma*a[1]*b[1]-l*lambda^2*rho*sigma*b[2]+24*l*lambda*m*mu*b[1]*b[2]+12*l*m*mu^2*a[0]*b[2]+12*l*m*mu^2*a[1]*b[1]-l*mu^2*rho*b[2]+4*lambda^2*sigma*w*b[2]+4*mu^2*w*b[2]) = 0,
 l*(8*l^2*lambda^3*sigma*w*a[2]+6*l^2*lambda*mu^2*w*a[2]+12*l*lambda^2*m*sigma*a[0]*a[2]+6*l*lambda^2*m*sigma*a[1]^2+l^2*lambda*mu*w*b[1]-6*l*lambda^2*m*b[2]^2-l*lambda^2*rho*sigma*a[2]+12*l*m*mu^2*a[0]*a[2]+6*l*m*mu^2*a[1]^2-6*l*lambda*m*b[1]^2-l*mu^2*rho*a[2]+4*lambda^2*sigma*w*a[2]+4*mu^2*w*a[2]) = 0,
 -l*(4*l^2*lambda^3*mu*sigma*w*a[2]-l^2*lambda^3*sigma*w*b[1]+l^2*lambda*mu^2*w*b[1]-12*l*lambda^2*m*sigma*a[0]*b[1]+l*lambda^2*rho*sigma*b[1]-12*l*lambda*m*mu*b[1]^2-12*l*m*mu^2*a[0]*b[1]+l*mu^2*rho*b[1]-4*lambda^2*sigma*w*b[1]-4*mu^2*w*b[1]) = 0,
 6*l^2*(l*lambda^2*sigma*w*a[2]+lambda^2*m*sigma*a[2]^2+l*mu^2*w*a[2]+m*mu^2*a[2]^2-lambda*m*b[2]^2) = 0, 2*l^2*(l*lambda^2*sigma*w*a[1]+6*lambda^2*m*sigma*a[1]*a[2]+3*l*lambda*mu*w*b[2]+l*mu^2*w*a[1]+6*m*mu^2*a[1]*a[2]-6*lambda*m*b[1]*b[2]) = 0,
 -2*l^2*(5*l*lambda^2*mu*sigma*w*a[2]-l*lambda^2*sigma*w*b[1]+5*l*mu^3*w*a[2]-6*lambda^2*m*sigma*a[1]*b[2]-6*lambda^2*m*sigma*a[2]*b[1]-l*mu^2*w*b[1]-6*lambda*m*mu*b[2]^2-6*m*mu^2*a[1]*b[2]-6*m*mu^2*a[2]*b[1]) = 0,
 6*l^2*b[2]*(l*w+2*m*a[2]) = 0}, {a[0], a[1], a[2], b[1], b[2]});

`Standard Worksheet Interface, Maple 2020.0, Windows 7, March 4 2020 Build ID 1455132`

 

{a[0] = 0, a[1] = 0, a[2] = 0, b[1] = 0, b[2] = 0}, {a[0] = (1/6)*(l*rho-4*w)/(l*m), a[1] = 0, a[2] = 0, b[1] = 0, b[2] = 0}

(1)

 

Download polySol.mw

 

@ogunmiloro 

on your machine you will have to change the line

someData:=ExcelTools:-Import("C:/Users/TomLeslie/Desktop/testDAta.xls"):

to something that makes sense for your machine.

The filePath in the above command, ie

"C:/Users/TomLeslie/Desktop/testDAta.xls"

only refers to the location + filename I used on my computer to store the data for test purposes.

I have no idea where the data file is stored on your machine! Only you know this!

@raj2018 

If you examine the output of the dsolve() command in my original post, you will note that it contains q1(X) = q1(X) - in other words q1(x) is entirely arbitrary.

You can pick any function you want for q1(x), substitute it in the expressions for all the other functions, and the solution is still valid

@HaHu 

The concept of recursion is very useful, but only when there is a "terminating case". So

x:=10
x:=x+1;

is perfectly fine, because the right-hand-side 'x+1', will evaluate to '10+1', ie 11, and 11 is assigned to 'x'. No problem

However

p:=p+1

doesn't make much sense. If applied in a brain dead way the right hand side 'p+1' will become '(p+1)+1' which will evaluate to '((p+1)+1)+1) - and so on ad infinitum

Asssignments are not equations - it is obviously true that one could write the equation  p=p2+1 and "solve" this equation for p, but the assignment p:=p2+1 doesn't make any sense

@HaHu 

You posted the code

u[1] := min(max(0, z), 1); z := beta*(1-u[3])*s(t)*(sigma[2]*e(t)+sigma[1]*i(t))*(lambda[2](t)-lambda[1](t))/w[1]; u[2] := min(max(0, c), 1); c := (lambda[2](t)*e(t)+lambda[4](t)*((1-tau)*delta*e(t)+epsilon*i(t))+lambda[3](t)*(delta*tau*e(t)+epsilon*i(t)))/w[2]; u[3] := min(max(0, p), 1); p := beta*(1-u[1])*s(t)*(sigma[2]*e(t)+sigma[1]*i(t))*(lambda[2](t)-lambda[1](t))/w[3];
Error, recursive assignment

If I tidy this up a little, just to make it more readable

u[1] := min(max(0, z), 1);
z := beta*(1-u[3])*s(t)*(sigma[2]*e(t)+sigma[1]*i(t))*(lambda[2](t)-lambda[1](t))/w[1];
u[2] := min(max(0, c), 1);
c := (lambda[2](t)*e(t)+lambda[4](t)*((1-tau)*delta*e(t)+epsilon*i(t))+lambda[3](t)*(delta*tau*e(t)+epsilon*i(t)))/w[2];
u[3] := min(max(0, p), 1);
p := beta*(1-u[1])*s(t)*(sigma[2]*e(t)+sigma[1]*i(t))*(lambda[2](t)-lambda[1](t))/w[3];
Error, recursive assignment

In the last line,

p := beta*(1-u[1])*s(t)*(sigma[2]*e(t)+sigma[1]*i(t))*(lambda[2](t)-lambda[1](t))/w[3];

note that 'p' depends on u[1]. Now check the definition of u[1], which from your code is

u[1] := min(max(0, z), 1);

so that u[1] depends on 'z'. Now check the definition of 'z', which from your code is

z := beta*(1-u[3])*s(t)*(sigma[2]*e(t)+sigma[1]*i(t))*(lambda[2](t)-lambda[1](t))/w[1];

so that 'z' depends on u[3]. Now check the definition of u[3], which from your code is

u[3] := min(max(0, p), 1);

so u[3] depends on p;

Thus in the last line of the above code, ie

p := beta*(1-u[1])*s(t)*(sigma[2]*e(t)+sigma[1]*i(t))*(lambda[2](t)-lambda[1](t))/w[3];

when Maple makes all the evaluations on the right hand side - the name 'p' occurs on both sides of the assignment, in other words, this is equivalent to

p:=someFunctionOf(p)

which is a recursive assignment. Don't now how much clearer I can make it!

@HaHu 

because in the command

p := beta*(1-u[1])*s(t)*(sigma[2]*e(t)+sigma[1]*i(t))*(lambda[2](t)-lambda[1](t))/w[3];

'p' depends on u[1],
u[1] depends on 'z',
z depends on u[3],
and u[3] depends on 'p'

A quick way to check this is to apply the command indets(  expr, 'name') where 'expr' is the right-hand-side of the above assignment. This will return {p, t} - see the attached

Download recur.mw

Importing dat from EXCEL is trivial with ExcelTools:-Import()

What happeans next is very dependent on exactly what the data in the Excel file represents: A (non-exhaustive) list of possinilities might be

  1. samples fom a continuous-time impulse response
  2. samples from a discete-time impulse response
  3. samples from a continuous-time step response
  4. samples from a disrete-time step response
  5. discrete-time numerator/denominator coefficents
  6. continuous-time numerator/denomiator coefficients
  7. discrete time poles/zeros
  8. continuous-time poles/zeros
  9. probably a few others I can't think of at the moment

So when you say

How do you create a transfer function of a time response response of e.g some data in excel, csv etc

I'd have to say it depends a lot on what the hell the data in the Excel file represents

 

@awass 

to the worksheet you posted as  evalf_error_3.mw is given in the attached

Download odeNum2.mw

@Puja 

downloading the worksheet here

https://www.maplesoft.com/applications/view.aspx?SID=4514&view=html

whihc seems to cover most cases finite, semi-infinite, and infinite strings for a variety of initial conditions, and all using d'Alembert's equation

@Christopher2222 
i just tried the command in my original post in a sequence of Maple releases - all running on 64-bit Windows 7

Maple 18 -     Fails

Maple 2015 - Fails

Maple 2016 - Fails

Maple 2017 - Succeeds

Maple 2018 - Succeeds

Maple 2019 - Succeeds

Maple 2020 - Succeeds

I haven't been able to work out what the hell is different between Maple 2106 and Maple 2017, so have no useful suggestions to make (other than update Maple)

 

 

@goulet80 

There is an important distinction between using (for example) m[2] and m__2. If neither of these is assigned to anything, then both will prettyprint as m2 so they "appear" to be exactly the same. However the first of these refers to the second entry in an indexable quantity (table, list vector etc). The second is just a name which happens to have a suffix.

As a more concrete/complete example suppose you have some code where you have to distinguish between an 'old' and a new value of a variable called 'x', Using x[old] and x[new] will create a table called 'x' with two 'keys' called 'old' and 'new'. Using x__old and x__new will just create two simple variable names which happen to prettyprint with a suffix.

Somewhat surprisingly (to me at least), a lot of the time, either approach will "work" - but every once in a while, the distinction will bite you! - and it might take you a while to figure out why.

The general recommendation is to use `[]` when you absolutely know that you want an indexable quantity, ie you are thinking of storing data in a 'container', such as a table/array/whatever. If you just want a couple of completely independent variable names, then use `__`

#####################################################

Modules and Packages - sorry this got a bit TLDR

A long time ago, "packages" in Maple, (such as the plots() package) were implemented using tables. You could "more-or-less" think of the

with(plots);

command as loading a table into your workspace, with the 'keys' of the table being the commands you want to run, and the "entries" of the table being the corresponding procedures (aka code) which actually executes. Since such a package looked/behaved a bit like a table, if you just wanted to call a specific command you would use plots[odeplot].

At some point (quite a long time ago) Maple decided that this table-based approach to writing packages needed improvement, and came up with the module-based method. Most (all?) in-built packages were converted from from the table-based to module-based. The default calling mechanism for a command from a module-based package is with the member selection operator. ':-', so for example  plots:-odeplot().

However in order not to break all the user code which had been written before a package was converted from table-based to module-based, command selection using the (old-fashioned) square brackets '[]' had to be supported.

So, does it matter whether you use

packageName[packageCommand](arguments) or

packageName:-packageCommand(arguments)

???
Where might the distinction be relevant? The only one I can think of is if you happen (inadvertenly) to use the name of a packageCommand as a 'name' for something else in your own code.

For example in the worksheet I provided previously, if you happen to have a variable called 'odeplot', the code

  odeplot:=fred:
  plots:-odeplot(nsol, [[t, r(t)],[t, theta(t)]], t=0..10, color=[red,blue], axes=boxed);

will still generate the plot you want, but

  odeplot:=fred:
  plots[odeplot](nsol, [[t, r(t)],[t, theta(t)]], t=0..10, color=[red,blue], axes=boxed);

will give you an error message, because plots[odeplot] will first evaluate to plots[fred], and then you get

Error, fred is not a command in the plots package

So, on balance, I would recommend sticking with ':-'

A counterexample

I suppose it is possible that if a package contains two commands which do different things but will accept the same argument list then the ability to select which command to execute might be useful. This is actually much simpler to do using the '[]' notation

For example, consider the toy example

  M:=<1,2,3 ; 4,5,6>;
  f:= a->`if`( a>0, Row, Column):
  LinearAlgebra[f(2)](M, 1);
  LinearAlgebra[f(0)](M, 1);

the command

LinearAlgebra[f(2)](M, 1);

will output the first row of the matrix 'M' and the command

LinearAlgebra[f(0)](M, 1);

will output the first column

It is possible to replicate this behaviour using ':-' rather than '[]', but it is more awkward

M:=<1,2,3 ; 4,5,6>;
f:= a->`if`( a>0, Row, Column):
parse(cat(`LinearAlgebra`, `:-`, f(2)))(M,1);
parse(cat(`LinearAlgebra`, `:-`, f(0)))(M,1);

Whilst either of the above will work, I would regard both as evidence of "wilfully obscure programming practice"

 

 

@mmcdara 

from your example is that both Empirical() and ProbabilityTable() export a command called ProbabilityFunction().

My original observation (note - not an answer) was that if you set up what *appears* to be the same(?) distribution function using both of these methods, then the answer provided by calls to their associated ProbabilityFunction() will be different - I think I deliberately avoided making a statement about which is "correct"

You state that

both EmpiricalDistribution and ProbabilityTable are discrete

Since both return a ProbabiltyFunction() command, one would therefore expect that on really simple distributions, their associated ProbabilityFuntion() command would return the same value. All I did was point out that this is not true - because the simplest example I can rhink of, ie

  restart:
  with(Statistics):
  X:= RandomVariable
      ( ProbabilityTable
        ([1/2, 1/2])
       ):
  Y:= RandomVariable
      ( Empirical( [1,2],
        'probabilities'= [1/2, 1/2])
      ):
  ProbabilityFunction(X, 1.5);
  ProbabilityFunction(Y, 1.5);

will return 1/2, 0.

All I did was point out that they were "different", and tried (rather clumsily) to explain the distinction. Now you may argue that one of these returned values is incorrect - fine with me: take it up with MapleSoft.

First 51 52 53 54 55 56 57 Last Page 53 of 207