tomleslie

13876 Reputation

20 Badges

15 years, 357 days

MaplePrimes Activity


These are replies submitted by tomleslie

@blackwidow 

Stop changing the problem - just stop!

Think very carefully in order to define the problem you are trying to solve

If you can define the problem, I can (probably) solve it - but you are going to have to provide a very clear, precise definition of the problem to be solved.

So far in this thread, all that happens is

  1. You specify a problem
  2. I solve it
  3. You change (1) above
  4. This loop repeats indefinitely

I have better things to do with my time

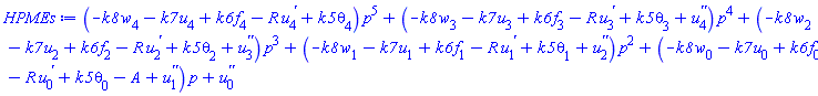
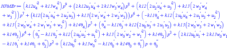
For what it is worth, the attached adds the condition that no parameter is ever divisible by 7, to all of the cases you have previously specified. Adding further logical conditions is trivial.

You should probably actually read/understand the attached n order to see how something so simple is actually done

``

restart

Nval := 60

60

(1)

primList := [seq(`if`(isprime(j), j, NULL), j = 1 .. Nval)]; powList := [seq(2^j, j = 0 .. 5)]; prodList := select(proc (i) options operator, arrow; i < Nval end proc, {seq(`~`[`*`](j, powList)[], `in`(j, primList))}); cond1 := proc (z) options operator, arrow; member(z, primList) end proc; cond2 := proc (z) options operator, arrow; member(z, powList) end proc; cond3 := proc (z) options operator, arrow; `or`(cond1(z), cond2(z)) end proc; cond4 := proc (x) options operator, arrow; not evalb(irem(x, 7) = 0) end proc

[2, 3, 5, 7, 11, 13, 17, 19, 23, 29, 31, 37, 41, 43, 47, 53, 59]

 

[1, 2, 4, 8, 16, 32]

 

{2, 3, 4, 5, 6, 7, 8, 10, 11, 12, 13, 14, 16, 17, 19, 20, 22, 23, 24, 26, 28, 29, 31, 32, 34, 37, 38, 40, 41, 43, 44, 46, 47, 48, 52, 53, 56, 58, 59}

 

proc (x) options operator, arrow; not evalb(irem(x, 7) = 0) end proc

(2)

sol1 := [a = 0, b = 0, a+b = 0]; for i to Nval do for j to Nval-i do if `and`(`or`(cond1(i-j), cond2(i-j)), `or`(cond3(i), cond3(j)), `or`(cond1(i), cond1(j)), `and`(cond4(i), cond4(j))) then if i+j > rhs(sol1[3]) then sol1 := [a = i, b = j, a+b = i+j] end if end if end do end do; sol1

[a = 31, b = 29, a+b = 60]

(3)

sol2 := [a = 0, b = 0, c = 0, a+b+c = 0]; for i to Nval do for j to Nval-i do for k to Nval-j do if `and`(`or`(cond1(i-j), cond2(i-j)), `or`(cond1(j-k), cond2(j-k)), `or`(cond1(i), cond1(j), cond1(k)), `or`(cond3(i), cond3(j), cond3(k)), `and`(cond4(i), cond4(j), cond4(k))) then if i+j+k > rhs(sol2[4]) then sol2 := [a = i, b = j, c = k, a+b+c = i+j] end if end if end do end do end do; sol2

[a = 53, b = 6, c = 5, a+b+c = 59]

(4)

sol3 := NULL; for i to Nval do for j to Nval-i do if `and`(`or`(cond1(i-j), cond2(i-j)), `or`(cond3(i), cond3(j)), `or`(cond1(i), cond1(j)), `and`(cond4(i), cond4(j))) then sol3 := sol3, [a = i, b = j, a+b = i+j] end if end do end do; sol3; numelems([sol3])

[a = 2, b = 1, a+b = 3], [a = 3, b = 1, a+b = 4], [a = 3, b = 2, a+b = 5], [a = 4, b = 2, a+b = 6], [a = 4, b = 3, a+b = 7], [a = 5, b = 1, a+b = 6], [a = 5, b = 2, a+b = 7], [a = 5, b = 3, a+b = 8], [a = 5, b = 4, a+b = 9], [a = 6, b = 2, a+b = 8], [a = 6, b = 3, a+b = 9], [a = 6, b = 5, a+b = 11], [a = 8, b = 3, a+b = 11], [a = 8, b = 5, a+b = 13], [a = 9, b = 2, a+b = 11], [a = 9, b = 5, a+b = 14], [a = 10, b = 2, a+b = 12], [a = 10, b = 3, a+b = 13], [a = 10, b = 5, a+b = 15], [a = 11, b = 3, a+b = 14], [a = 11, b = 4, a+b = 15], [a = 11, b = 6, a+b = 17], [a = 11, b = 8, a+b = 19], [a = 11, b = 9, a+b = 20], [a = 11, b = 10, a+b = 21], [a = 12, b = 5, a+b = 17], [a = 12, b = 11, a+b = 23], [a = 13, b = 2, a+b = 15], [a = 13, b = 5, a+b = 18], [a = 13, b = 6, a+b = 19], [a = 13, b = 8, a+b = 21], [a = 13, b = 9, a+b = 22], [a = 13, b = 10, a+b = 23], [a = 13, b = 11, a+b = 24], [a = 13, b = 12, a+b = 25], [a = 15, b = 2, a+b = 17], [a = 15, b = 11, a+b = 26], [a = 15, b = 13, a+b = 28], [a = 16, b = 3, a+b = 19], [a = 16, b = 5, a+b = 21], [a = 16, b = 11, a+b = 27], [a = 16, b = 13, a+b = 29], [a = 17, b = 1, a+b = 18], [a = 17, b = 4, a+b = 21], [a = 17, b = 6, a+b = 23], [a = 17, b = 9, a+b = 26], [a = 17, b = 10, a+b = 27], [a = 17, b = 12, a+b = 29], [a = 17, b = 13, a+b = 30], [a = 17, b = 15, a+b = 32], [a = 17, b = 16, a+b = 33], [a = 18, b = 2, a+b = 20], [a = 18, b = 5, a+b = 23], [a = 18, b = 11, a+b = 29], [a = 18, b = 13, a+b = 31], [a = 18, b = 17, a+b = 35], [a = 19, b = 2, a+b = 21], [a = 19, b = 3, a+b = 22], [a = 19, b = 6, a+b = 25], [a = 19, b = 8, a+b = 27], [a = 19, b = 11, a+b = 30], [a = 19, b = 12, a+b = 31], [a = 19, b = 15, a+b = 34], [a = 19, b = 16, a+b = 35], [a = 19, b = 17, a+b = 36], [a = 19, b = 18, a+b = 37], [a = 20, b = 3, a+b = 23], [a = 20, b = 13, a+b = 33], [a = 20, b = 17, a+b = 37], [a = 20, b = 19, a+b = 39], [a = 22, b = 3, a+b = 25], [a = 22, b = 5, a+b = 27], [a = 22, b = 11, a+b = 33], [a = 22, b = 17, a+b = 39], [a = 22, b = 19, a+b = 41], [a = 23, b = 4, a+b = 27], [a = 23, b = 6, a+b = 29], [a = 23, b = 10, a+b = 33], [a = 23, b = 12, a+b = 35], [a = 23, b = 15, a+b = 38], [a = 23, b = 16, a+b = 39], [a = 23, b = 18, a+b = 41], [a = 23, b = 19, a+b = 42], [a = 23, b = 20, a+b = 43], [a = 23, b = 22, a+b = 45], [a = 24, b = 5, a+b = 29], [a = 24, b = 11, a+b = 35], [a = 24, b = 13, a+b = 37], [a = 24, b = 17, a+b = 41], [a = 24, b = 19, a+b = 43], [a = 24, b = 23, a+b = 47], [a = 25, b = 2, a+b = 27], [a = 25, b = 17, a+b = 42], [a = 25, b = 23, a+b = 48], [a = 26, b = 3, a+b = 29], [a = 26, b = 13, a+b = 39], [a = 26, b = 19, a+b = 45], [a = 26, b = 23, a+b = 49], [a = 27, b = 11, a+b = 38], [a = 27, b = 19, a+b = 46], [a = 27, b = 23, a+b = 50], [a = 29, b = 6, a+b = 35], [a = 29, b = 10, a+b = 39], [a = 29, b = 12, a+b = 41], [a = 29, b = 13, a+b = 42], [a = 29, b = 16, a+b = 45], [a = 29, b = 18, a+b = 47], [a = 29, b = 22, a+b = 51], [a = 29, b = 24, a+b = 53], [a = 29, b = 25, a+b = 54], [a = 29, b = 26, a+b = 55], [a = 29, b = 27, a+b = 56], [a = 30, b = 11, a+b = 41], [a = 30, b = 13, a+b = 43], [a = 30, b = 17, a+b = 47], [a = 30, b = 19, a+b = 49], [a = 30, b = 23, a+b = 53], [a = 30, b = 29, a+b = 59], [a = 31, b = 2, a+b = 33], [a = 31, b = 8, a+b = 39], [a = 31, b = 12, a+b = 43], [a = 31, b = 15, a+b = 46], [a = 31, b = 18, a+b = 49], [a = 31, b = 20, a+b = 51], [a = 31, b = 23, a+b = 54], [a = 31, b = 24, a+b = 55], [a = 31, b = 26, a+b = 57], [a = 31, b = 27, a+b = 58], [a = 31, b = 29, a+b = 60], [a = 32, b = 3, a+b = 35], [a = 32, b = 13, a+b = 45], [a = 32, b = 19, a+b = 51], [a = 33, b = 2, a+b = 35], [a = 33, b = 17, a+b = 50], [a = 34, b = 2, a+b = 36], [a = 34, b = 3, a+b = 37], [a = 34, b = 5, a+b = 39], [a = 34, b = 11, a+b = 45], [a = 34, b = 17, a+b = 51], [a = 34, b = 23, a+b = 57], [a = 36, b = 5, a+b = 41], [a = 36, b = 13, a+b = 49], [a = 36, b = 17, a+b = 53], [a = 36, b = 19, a+b = 55], [a = 36, b = 23, a+b = 59], [a = 37, b = 5, a+b = 42], [a = 37, b = 6, a+b = 43], [a = 37, b = 8, a+b = 45], [a = 37, b = 18, a+b = 55], [a = 37, b = 20, a+b = 57], [a = 38, b = 19, a+b = 57], [a = 39, b = 2, a+b = 41], [a = 40, b = 3, a+b = 43], [a = 40, b = 11, a+b = 51], [a = 40, b = 17, a+b = 57], [a = 41, b = 4, a+b = 45], [a = 41, b = 9, a+b = 50], [a = 41, b = 10, a+b = 51], [a = 41, b = 12, a+b = 53], [a = 41, b = 18, a+b = 59], [a = 43, b = 2, a+b = 45], [a = 43, b = 6, a+b = 49], [a = 43, b = 11, a+b = 54], [a = 43, b = 12, a+b = 55], [a = 44, b = 3, a+b = 47], [a = 44, b = 13, a+b = 57], [a = 45, b = 2, a+b = 47], [a = 45, b = 13, a+b = 58], [a = 46, b = 3, a+b = 49], [a = 46, b = 5, a+b = 51], [a = 47, b = 4, a+b = 51], [a = 47, b = 6, a+b = 53], [a = 47, b = 10, a+b = 57], [a = 48, b = 5, a+b = 53], [a = 48, b = 11, a+b = 59], [a = 50, b = 3, a+b = 53], [a = 52, b = 5, a+b = 57], [a = 53, b = 6, a+b = 59], [a = 55, b = 2, a+b = 57]

 

179

(5)

seq(`if`(rhs(j[3]) = rhs(sol1[3]), j, NULL), `in`(j, [sol3]))

[a = 31, b = 29, a+b = 60]

(6)

sol4 := NULL; for i to Nval do for j to Nval-i do for k to Nval-j do if `and`(`or`(cond1(i-j), cond2(i-j)), `or`(cond1(j-k), cond2(j-k)), `or`(cond1(i), cond1(j), cond1(k)), `or`(cond3(i), cond3(j), cond3(k)), `and`(cond4(i), cond4(j), cond4(k))) then sol4 := sol4, [a = i, b = j, c = k, a+b+c = i+j] end if end do end do end do; sol4; numelems([sol4])

[a = 3, b = 2, c = 1, a+b+c = 5], [a = 4, b = 2, c = 1, a+b+c = 6], [a = 4, b = 3, c = 1, a+b+c = 7], [a = 4, b = 3, c = 2, a+b+c = 7], [a = 5, b = 2, c = 1, a+b+c = 7], [a = 5, b = 3, c = 1, a+b+c = 8], [a = 5, b = 3, c = 2, a+b+c = 8], [a = 5, b = 4, c = 1, a+b+c = 9], [a = 5, b = 4, c = 2, a+b+c = 9], [a = 5, b = 4, c = 3, a+b+c = 9], [a = 6, b = 2, c = 1, a+b+c = 8], [a = 6, b = 3, c = 1, a+b+c = 9], [a = 6, b = 3, c = 2, a+b+c = 9], [a = 6, b = 4, c = 2, a+b+c = 10], [a = 6, b = 4, c = 3, a+b+c = 10], [a = 6, b = 5, c = 1, a+b+c = 11], [a = 6, b = 5, c = 2, a+b+c = 11], [a = 6, b = 5, c = 3, a+b+c = 11], [a = 6, b = 5, c = 4, a+b+c = 11], [a = 8, b = 3, c = 1, a+b+c = 11], [a = 8, b = 3, c = 2, a+b+c = 11], [a = 8, b = 4, c = 2, a+b+c = 12], [a = 8, b = 4, c = 3, a+b+c = 12], [a = 8, b = 5, c = 1, a+b+c = 13], [a = 8, b = 5, c = 2, a+b+c = 13], [a = 8, b = 5, c = 3, a+b+c = 13], [a = 8, b = 5, c = 4, a+b+c = 13], [a = 8, b = 6, c = 2, a+b+c = 14], [a = 8, b = 6, c = 3, a+b+c = 14], [a = 8, b = 6, c = 5, a+b+c = 14], [a = 9, b = 2, c = 1, a+b+c = 11], [a = 9, b = 4, c = 2, a+b+c = 13], [a = 9, b = 4, c = 3, a+b+c = 13], [a = 9, b = 5, c = 1, a+b+c = 14], [a = 9, b = 5, c = 2, a+b+c = 14], [a = 9, b = 5, c = 3, a+b+c = 14], [a = 9, b = 5, c = 4, a+b+c = 14], [a = 9, b = 6, c = 2, a+b+c = 15], [a = 9, b = 6, c = 3, a+b+c = 15], [a = 9, b = 6, c = 5, a+b+c = 15], [a = 9, b = 8, c = 3, a+b+c = 17], [a = 9, b = 8, c = 5, a+b+c = 17], [a = 10, b = 2, c = 1, a+b+c = 12], [a = 10, b = 3, c = 1, a+b+c = 13], [a = 10, b = 3, c = 2, a+b+c = 13], [a = 10, b = 5, c = 1, a+b+c = 15], [a = 10, b = 5, c = 2, a+b+c = 15], [a = 10, b = 5, c = 3, a+b+c = 15], [a = 10, b = 5, c = 4, a+b+c = 15], [a = 10, b = 6, c = 2, a+b+c = 16], [a = 10, b = 6, c = 3, a+b+c = 16], [a = 10, b = 6, c = 5, a+b+c = 16], [a = 10, b = 8, c = 3, a+b+c = 18], [a = 10, b = 8, c = 5, a+b+c = 18], [a = 10, b = 9, c = 2, a+b+c = 19], [a = 10, b = 9, c = 5, a+b+c = 19], [a = 11, b = 3, c = 1, a+b+c = 14], [a = 11, b = 3, c = 2, a+b+c = 14], [a = 11, b = 4, c = 1, a+b+c = 15], [a = 11, b = 4, c = 2, a+b+c = 15], [a = 11, b = 4, c = 3, a+b+c = 15], [a = 11, b = 6, c = 1, a+b+c = 17], [a = 11, b = 6, c = 2, a+b+c = 17], [a = 11, b = 6, c = 3, a+b+c = 17], [a = 11, b = 6, c = 4, a+b+c = 17], [a = 11, b = 6, c = 5, a+b+c = 17], [a = 11, b = 8, c = 1, a+b+c = 19], [a = 11, b = 8, c = 3, a+b+c = 19], [a = 11, b = 8, c = 4, a+b+c = 19], [a = 11, b = 8, c = 5, a+b+c = 19], [a = 11, b = 8, c = 6, a+b+c = 19], [a = 11, b = 9, c = 1, a+b+c = 20], [a = 11, b = 9, c = 2, a+b+c = 20], [a = 11, b = 9, c = 4, a+b+c = 20], [a = 11, b = 9, c = 5, a+b+c = 20], [a = 11, b = 9, c = 6, a+b+c = 20], [a = 11, b = 9, c = 8, a+b+c = 20], [a = 11, b = 10, c = 2, a+b+c = 21], [a = 11, b = 10, c = 3, a+b+c = 21], [a = 11, b = 10, c = 5, a+b+c = 21], [a = 11, b = 10, c = 6, a+b+c = 21], [a = 11, b = 10, c = 8, a+b+c = 21], [a = 11, b = 10, c = 9, a+b+c = 21], [a = 12, b = 4, c = 2, a+b+c = 16], [a = 12, b = 4, c = 3, a+b+c = 16], [a = 12, b = 5, c = 1, a+b+c = 17], [a = 12, b = 5, c = 2, a+b+c = 17], [a = 12, b = 5, c = 3, a+b+c = 17], [a = 12, b = 5, c = 4, a+b+c = 17], [a = 12, b = 8, c = 3, a+b+c = 20], [a = 12, b = 8, c = 5, a+b+c = 20], [a = 12, b = 9, c = 2, a+b+c = 21], [a = 12, b = 9, c = 5, a+b+c = 21], [a = 12, b = 10, c = 2, a+b+c = 22], [a = 12, b = 10, c = 3, a+b+c = 22], [a = 12, b = 10, c = 5, a+b+c = 22], [a = 12, b = 11, c = 3, a+b+c = 23], [a = 12, b = 11, c = 4, a+b+c = 23], [a = 12, b = 11, c = 6, a+b+c = 23], [a = 12, b = 11, c = 8, a+b+c = 23], [a = 12, b = 11, c = 9, a+b+c = 23], [a = 12, b = 11, c = 10, a+b+c = 23], [a = 13, b = 2, c = 1, a+b+c = 15], [a = 13, b = 5, c = 1, a+b+c = 18], [a = 13, b = 5, c = 2, a+b+c = 18], [a = 13, b = 5, c = 3, a+b+c = 18], [a = 13, b = 5, c = 4, a+b+c = 18], [a = 13, b = 6, c = 1, a+b+c = 19], [a = 13, b = 6, c = 2, a+b+c = 19], [a = 13, b = 6, c = 3, a+b+c = 19], [a = 13, b = 6, c = 4, a+b+c = 19], [a = 13, b = 6, c = 5, a+b+c = 19], [a = 13, b = 8, c = 1, a+b+c = 21], [a = 13, b = 8, c = 3, a+b+c = 21], [a = 13, b = 8, c = 4, a+b+c = 21], [a = 13, b = 8, c = 5, a+b+c = 21], [a = 13, b = 8, c = 6, a+b+c = 21], [a = 13, b = 9, c = 1, a+b+c = 22], [a = 13, b = 9, c = 2, a+b+c = 22], [a = 13, b = 9, c = 4, a+b+c = 22], [a = 13, b = 9, c = 5, a+b+c = 22], [a = 13, b = 9, c = 6, a+b+c = 22], [a = 13, b = 9, c = 8, a+b+c = 22], [a = 13, b = 10, c = 2, a+b+c = 23], [a = 13, b = 10, c = 3, a+b+c = 23], [a = 13, b = 10, c = 5, a+b+c = 23], [a = 13, b = 10, c = 6, a+b+c = 23], [a = 13, b = 10, c = 8, a+b+c = 23], [a = 13, b = 10, c = 9, a+b+c = 23], [a = 13, b = 11, c = 3, a+b+c = 24], [a = 13, b = 11, c = 4, a+b+c = 24], [a = 13, b = 11, c = 6, a+b+c = 24], [a = 13, b = 11, c = 8, a+b+c = 24], [a = 13, b = 11, c = 9, a+b+c = 24], [a = 13, b = 11, c = 10, a+b+c = 24], [a = 13, b = 12, c = 1, a+b+c = 25], [a = 13, b = 12, c = 4, a+b+c = 25], [a = 13, b = 12, c = 5, a+b+c = 25], [a = 13, b = 12, c = 8, a+b+c = 25], [a = 13, b = 12, c = 9, a+b+c = 25], [a = 13, b = 12, c = 10, a+b+c = 25], [a = 13, b = 12, c = 11, a+b+c = 25], [a = 15, b = 2, c = 1, a+b+c = 17], [a = 15, b = 4, c = 2, a+b+c = 19], [a = 15, b = 4, c = 3, a+b+c = 19], [a = 15, b = 8, c = 3, a+b+c = 23], [a = 15, b = 8, c = 5, a+b+c = 23], [a = 15, b = 10, c = 2, a+b+c = 25], [a = 15, b = 10, c = 3, a+b+c = 25], [a = 15, b = 10, c = 5, a+b+c = 25], [a = 15, b = 11, c = 3, a+b+c = 26], [a = 15, b = 11, c = 4, a+b+c = 26], [a = 15, b = 11, c = 6, a+b+c = 26], [a = 15, b = 11, c = 8, a+b+c = 26], [a = 15, b = 11, c = 9, a+b+c = 26], [a = 15, b = 11, c = 10, a+b+c = 26], [a = 15, b = 12, c = 5, a+b+c = 27], [a = 15, b = 12, c = 11, a+b+c = 27], [a = 15, b = 13, c = 2, a+b+c = 28], [a = 15, b = 13, c = 5, a+b+c = 28], [a = 15, b = 13, c = 6, a+b+c = 28], [a = 15, b = 13, c = 8, a+b+c = 28], [a = 15, b = 13, c = 9, a+b+c = 28], [a = 15, b = 13, c = 10, a+b+c = 28], [a = 15, b = 13, c = 11, a+b+c = 28], [a = 15, b = 13, c = 12, a+b+c = 28], [a = 16, b = 3, c = 1, a+b+c = 19], [a = 16, b = 3, c = 2, a+b+c = 19], [a = 16, b = 5, c = 1, a+b+c = 21], [a = 16, b = 5, c = 2, a+b+c = 21], [a = 16, b = 5, c = 3, a+b+c = 21], [a = 16, b = 5, c = 4, a+b+c = 21], [a = 16, b = 8, c = 3, a+b+c = 24], [a = 16, b = 8, c = 5, a+b+c = 24], [a = 16, b = 9, c = 2, a+b+c = 25], [a = 16, b = 9, c = 5, a+b+c = 25], [a = 16, b = 11, c = 3, a+b+c = 27], [a = 16, b = 11, c = 4, a+b+c = 27], [a = 16, b = 11, c = 6, a+b+c = 27], [a = 16, b = 11, c = 8, a+b+c = 27], [a = 16, b = 11, c = 9, a+b+c = 27], [a = 16, b = 11, c = 10, a+b+c = 27], [a = 16, b = 12, c = 5, a+b+c = 28], [a = 16, b = 12, c = 11, a+b+c = 28], [a = 16, b = 13, c = 2, a+b+c = 29], [a = 16, b = 13, c = 5, a+b+c = 29], [a = 16, b = 13, c = 6, a+b+c = 29], [a = 16, b = 13, c = 8, a+b+c = 29], [a = 16, b = 13, c = 9, a+b+c = 29], [a = 16, b = 13, c = 10, a+b+c = 29], [a = 16, b = 13, c = 11, a+b+c = 29], [a = 16, b = 13, c = 12, a+b+c = 29], [a = 16, b = 15, c = 2, a+b+c = 31], [a = 16, b = 15, c = 11, a+b+c = 31], [a = 16, b = 15, c = 13, a+b+c = 31], [a = 17, b = 4, c = 1, a+b+c = 21], [a = 17, b = 4, c = 2, a+b+c = 21], [a = 17, b = 4, c = 3, a+b+c = 21], [a = 17, b = 6, c = 1, a+b+c = 23], [a = 17, b = 6, c = 2, a+b+c = 23], [a = 17, b = 6, c = 3, a+b+c = 23], [a = 17, b = 6, c = 4, a+b+c = 23], [a = 17, b = 6, c = 5, a+b+c = 23], [a = 17, b = 9, c = 1, a+b+c = 26], [a = 17, b = 9, c = 2, a+b+c = 26], [a = 17, b = 9, c = 4, a+b+c = 26], [a = 17, b = 9, c = 5, a+b+c = 26], [a = 17, b = 9, c = 6, a+b+c = 26], [a = 17, b = 9, c = 8, a+b+c = 26], [a = 17, b = 10, c = 2, a+b+c = 27], [a = 17, b = 10, c = 3, a+b+c = 27], [a = 17, b = 10, c = 5, a+b+c = 27], [a = 17, b = 10, c = 6, a+b+c = 27], [a = 17, b = 10, c = 8, a+b+c = 27], [a = 17, b = 10, c = 9, a+b+c = 27], [a = 17, b = 12, c = 1, a+b+c = 29], [a = 17, b = 12, c = 4, a+b+c = 29], [a = 17, b = 12, c = 5, a+b+c = 29], [a = 17, b = 12, c = 8, a+b+c = 29], [a = 17, b = 12, c = 9, a+b+c = 29], [a = 17, b = 12, c = 10, a+b+c = 29], [a = 17, b = 12, c = 11, a+b+c = 29], [a = 17, b = 13, c = 2, a+b+c = 30], [a = 17, b = 13, c = 5, a+b+c = 30], [a = 17, b = 13, c = 6, a+b+c = 30], [a = 17, b = 13, c = 8, a+b+c = 30], [a = 17, b = 13, c = 9, a+b+c = 30], [a = 17, b = 13, c = 10, a+b+c = 30], [a = 17, b = 13, c = 11, a+b+c = 30], [a = 17, b = 13, c = 12, a+b+c = 30], [a = 17, b = 15, c = 2, a+b+c = 32], [a = 17, b = 15, c = 4, a+b+c = 32], [a = 17, b = 15, c = 8, a+b+c = 32], [a = 17, b = 15, c = 10, a+b+c = 32], [a = 17, b = 15, c = 11, a+b+c = 32], [a = 17, b = 15, c = 12, a+b+c = 32], [a = 17, b = 15, c = 13, a+b+c = 32], [a = 17, b = 16, c = 3, a+b+c = 33], [a = 17, b = 16, c = 5, a+b+c = 33], [a = 17, b = 16, c = 8, a+b+c = 33], [a = 17, b = 16, c = 9, a+b+c = 33], [a = 17, b = 16, c = 11, a+b+c = 33], [a = 17, b = 16, c = 12, a+b+c = 33], [a = 17, b = 16, c = 13, a+b+c = 33], [a = 17, b = 16, c = 15, a+b+c = 33], [a = 18, b = 2, c = 1, a+b+c = 20], [a = 18, b = 5, c = 1, a+b+c = 23], [a = 18, b = 5, c = 2, a+b+c = 23], [a = 18, b = 5, c = 3, a+b+c = 23], [a = 18, b = 5, c = 4, a+b+c = 23], [a = 18, b = 10, c = 2, a+b+c = 28], [a = 18, b = 10, c = 3, a+b+c = 28], [a = 18, b = 10, c = 5, a+b+c = 28], [a = 18, b = 11, c = 3, a+b+c = 29], [a = 18, b = 11, c = 4, a+b+c = 29], [a = 18, b = 11, c = 6, a+b+c = 29], [a = 18, b = 11, c = 8, a+b+c = 29], [a = 18, b = 11, c = 9, a+b+c = 29], [a = 18, b = 11, c = 10, a+b+c = 29], [a = 18, b = 13, c = 2, a+b+c = 31], [a = 18, b = 13, c = 5, a+b+c = 31], [a = 18, b = 13, c = 6, a+b+c = 31], [a = 18, b = 13, c = 8, a+b+c = 31], [a = 18, b = 13, c = 9, a+b+c = 31], [a = 18, b = 13, c = 10, a+b+c = 31], [a = 18, b = 13, c = 11, a+b+c = 31], [a = 18, b = 13, c = 12, a+b+c = 31], [a = 18, b = 15, c = 2, a+b+c = 33], [a = 18, b = 15, c = 11, a+b+c = 33], [a = 18, b = 15, c = 13, a+b+c = 33], [a = 18, b = 16, c = 3, a+b+c = 34], [a = 18, b = 16, c = 5, a+b+c = 34], [a = 18, b = 16, c = 11, a+b+c = 34], [a = 18, b = 16, c = 13, a+b+c = 34], [a = 18, b = 17, c = 1, a+b+c = 35], [a = 18, b = 17, c = 4, a+b+c = 35], [a = 18, b = 17, c = 6, a+b+c = 35], [a = 18, b = 17, c = 9, a+b+c = 35], [a = 18, b = 17, c = 10, a+b+c = 35], [a = 18, b = 17, c = 12, a+b+c = 35], [a = 18, b = 17, c = 13, a+b+c = 35], [a = 18, b = 17, c = 15, a+b+c = 35], [a = 18, b = 17, c = 16, a+b+c = 35], [a = 19, b = 2, c = 1, a+b+c = 21], [a = 19, b = 3, c = 1, a+b+c = 22], [a = 19, b = 3, c = 2, a+b+c = 22], [a = 19, b = 6, c = 1, a+b+c = 25], [a = 19, b = 6, c = 2, a+b+c = 25], [a = 19, b = 6, c = 3, a+b+c = 25], [a = 19, b = 6, c = 4, a+b+c = 25], [a = 19, b = 6, c = 5, a+b+c = 25], [a = 19, b = 8, c = 1, a+b+c = 27], [a = 19, b = 8, c = 3, a+b+c = 27], [a = 19, b = 8, c = 4, a+b+c = 27], [a = 19, b = 8, c = 5, a+b+c = 27], [a = 19, b = 8, c = 6, a+b+c = 27], [a = 19, b = 11, c = 3, a+b+c = 30], [a = 19, b = 11, c = 4, a+b+c = 30], [a = 19, b = 11, c = 6, a+b+c = 30], [a = 19, b = 11, c = 8, a+b+c = 30], [a = 19, b = 11, c = 9, a+b+c = 30], [a = 19, b = 11, c = 10, a+b+c = 30], [a = 19, b = 12, c = 1, a+b+c = 31], [a = 19, b = 12, c = 4, a+b+c = 31], [a = 19, b = 12, c = 5, a+b+c = 31], [a = 19, b = 12, c = 8, a+b+c = 31], [a = 19, b = 12, c = 9, a+b+c = 31], [a = 19, b = 12, c = 10, a+b+c = 31], [a = 19, b = 12, c = 11, a+b+c = 31], [a = 19, b = 15, c = 2, a+b+c = 34], [a = 19, b = 15, c = 4, a+b+c = 34], [a = 19, b = 15, c = 8, a+b+c = 34], [a = 19, b = 15, c = 10, a+b+c = 34], [a = 19, b = 15, c = 11, a+b+c = 34], [a = 19, b = 15, c = 12, a+b+c = 34], [a = 19, b = 15, c = 13, a+b+c = 34], [a = 19, b = 16, c = 3, a+b+c = 35], [a = 19, b = 16, c = 5, a+b+c = 35], [a = 19, b = 16, c = 8, a+b+c = 35], [a = 19, b = 16, c = 9, a+b+c = 35], [a = 19, b = 16, c = 11, a+b+c = 35], [a = 19, b = 16, c = 12, a+b+c = 35], [a = 19, b = 16, c = 13, a+b+c = 35], [a = 19, b = 16, c = 15, a+b+c = 35], [a = 19, b = 17, c = 1, a+b+c = 36], [a = 19, b = 17, c = 4, a+b+c = 36], [a = 19, b = 17, c = 6, a+b+c = 36], [a = 19, b = 17, c = 9, a+b+c = 36], [a = 19, b = 17, c = 10, a+b+c = 36], [a = 19, b = 17, c = 12, a+b+c = 36], [a = 19, b = 17, c = 13, a+b+c = 36], [a = 19, b = 17, c = 15, a+b+c = 36], [a = 19, b = 17, c = 16, a+b+c = 36], [a = 19, b = 18, c = 1, a+b+c = 37], [a = 19, b = 18, c = 2, a+b+c = 37], [a = 19, b = 18, c = 5, a+b+c = 37], [a = 19, b = 18, c = 10, a+b+c = 37], [a = 19, b = 18, c = 11, a+b+c = 37], [a = 19, b = 18, c = 13, a+b+c = 37], [a = 19, b = 18, c = 15, a+b+c = 37], [a = 19, b = 18, c = 16, a+b+c = 37], [a = 19, b = 18, c = 17, a+b+c = 37], [a = 20, b = 3, c = 1, a+b+c = 23], [a = 20, b = 3, c = 2, a+b+c = 23], [a = 20, b = 4, c = 2, a+b+c = 24], [a = 20, b = 4, c = 3, a+b+c = 24], [a = 20, b = 9, c = 2, a+b+c = 29], [a = 20, b = 9, c = 5, a+b+c = 29], [a = 20, b = 12, c = 5, a+b+c = 32], [a = 20, b = 12, c = 11, a+b+c = 32], [a = 20, b = 13, c = 2, a+b+c = 33], [a = 20, b = 13, c = 5, a+b+c = 33], [a = 20, b = 13, c = 6, a+b+c = 33], [a = 20, b = 13, c = 8, a+b+c = 33], [a = 20, b = 13, c = 9, a+b+c = 33], [a = 20, b = 13, c = 10, a+b+c = 33], [a = 20, b = 13, c = 11, a+b+c = 33], [a = 20, b = 13, c = 12, a+b+c = 33], [a = 20, b = 15, c = 2, a+b+c = 35], [a = 20, b = 15, c = 11, a+b+c = 35], [a = 20, b = 15, c = 13, a+b+c = 35], [a = 20, b = 16, c = 3, a+b+c = 36], [a = 20, b = 16, c = 5, a+b+c = 36], [a = 20, b = 16, c = 11, a+b+c = 36], [a = 20, b = 16, c = 13, a+b+c = 36], [a = 20, b = 17, c = 1, a+b+c = 37], [a = 20, b = 17, c = 4, a+b+c = 37], [a = 20, b = 17, c = 6, a+b+c = 37], [a = 20, b = 17, c = 9, a+b+c = 37], [a = 20, b = 17, c = 10, a+b+c = 37], [a = 20, b = 17, c = 12, a+b+c = 37], [a = 20, b = 17, c = 13, a+b+c = 37], [a = 20, b = 17, c = 15, a+b+c = 37], [a = 20, b = 17, c = 16, a+b+c = 37], [a = 20, b = 18, c = 2, a+b+c = 38], [a = 20, b = 18, c = 5, a+b+c = 38], [a = 20, b = 18, c = 11, a+b+c = 38], [a = 20, b = 18, c = 13, a+b+c = 38], [a = 20, b = 18, c = 17, a+b+c = 38], [a = 20, b = 19, c = 2, a+b+c = 39], [a = 20, b = 19, c = 3, a+b+c = 39], [a = 20, b = 19, c = 6, a+b+c = 39], [a = 20, b = 19, c = 8, a+b+c = 39], [a = 20, b = 19, c = 11, a+b+c = 39], [a = 20, b = 19, c = 12, a+b+c = 39], [a = 20, b = 19, c = 15, a+b+c = 39], [a = 20, b = 19, c = 16, a+b+c = 39], [a = 20, b = 19, c = 17, a+b+c = 39], [a = 20, b = 19, c = 18, a+b+c = 39], [a = 22, b = 3, c = 1, a+b+c = 25], [a = 22, b = 3, c = 2, a+b+c = 25], [a = 22, b = 5, c = 1, a+b+c = 27], [a = 22, b = 5, c = 2, a+b+c = 27], [a = 22, b = 5, c = 3, a+b+c = 27], [a = 22, b = 5, c = 4, a+b+c = 27], [a = 22, b = 6, c = 2, a+b+c = 28], [a = 22, b = 6, c = 3, a+b+c = 28], [a = 22, b = 6, c = 5, a+b+c = 28], [a = 22, b = 9, c = 2, a+b+c = 31], [a = 22, b = 9, c = 5, a+b+c = 31], [a = 22, b = 11, c = 3, a+b+c = 33], [a = 22, b = 11, c = 4, a+b+c = 33], [a = 22, b = 11, c = 6, a+b+c = 33], [a = 22, b = 11, c = 8, a+b+c = 33], [a = 22, b = 11, c = 9, a+b+c = 33], [a = 22, b = 11, c = 10, a+b+c = 33], [a = 22, b = 15, c = 2, a+b+c = 37], [a = 22, b = 15, c = 11, a+b+c = 37], [a = 22, b = 15, c = 13, a+b+c = 37], [a = 22, b = 17, c = 1, a+b+c = 39], [a = 22, b = 17, c = 4, a+b+c = 39], [a = 22, b = 17, c = 6, a+b+c = 39], [a = 22, b = 17, c = 9, a+b+c = 39], [a = 22, b = 17, c = 10, a+b+c = 39], [a = 22, b = 17, c = 12, a+b+c = 39], [a = 22, b = 17, c = 13, a+b+c = 39], [a = 22, b = 17, c = 15, a+b+c = 39], [a = 22, b = 17, c = 16, a+b+c = 39], [a = 22, b = 18, c = 2, a+b+c = 40], [a = 22, b = 18, c = 5, a+b+c = 40], [a = 22, b = 18, c = 11, a+b+c = 40], [a = 22, b = 18, c = 13, a+b+c = 40], [a = 22, b = 18, c = 17, a+b+c = 40], [a = 22, b = 19, c = 2, a+b+c = 41], [a = 22, b = 19, c = 3, a+b+c = 41], [a = 22, b = 19, c = 6, a+b+c = 41], [a = 22, b = 19, c = 8, a+b+c = 41], [a = 22, b = 19, c = 11, a+b+c = 41], [a = 22, b = 19, c = 12, a+b+c = 41], [a = 22, b = 19, c = 15, a+b+c = 41], [a = 22, b = 19, c = 16, a+b+c = 41], [a = 22, b = 19, c = 17, a+b+c = 41], [a = 22, b = 19, c = 18, a+b+c = 41], [a = 22, b = 20, c = 3, a+b+c = 42], [a = 22, b = 20, c = 13, a+b+c = 42], [a = 22, b = 20, c = 17, a+b+c = 42], [a = 22, b = 20, c = 19, a+b+c = 42], [a = 23, b = 4, c = 1, a+b+c = 27], [a = 23, b = 4, c = 2, a+b+c = 27], [a = 23, b = 4, c = 3, a+b+c = 27], [a = 23, b = 6, c = 1, a+b+c = 29], [a = 23, b = 6, c = 2, a+b+c = 29], [a = 23, b = 6, c = 3, a+b+c = 29], [a = 23, b = 6, c = 4, a+b+c = 29], [a = 23, b = 6, c = 5, a+b+c = 29], [a = 23, b = 10, c = 2, a+b+c = 33], [a = 23, b = 10, c = 3, a+b+c = 33], [a = 23, b = 10, c = 5, a+b+c = 33], [a = 23, b = 10, c = 6, a+b+c = 33], [a = 23, b = 10, c = 8, a+b+c = 33], [a = 23, b = 10, c = 9, a+b+c = 33], [a = 23, b = 12, c = 1, a+b+c = 35], [a = 23, b = 12, c = 4, a+b+c = 35], [a = 23, b = 12, c = 5, a+b+c = 35], [a = 23, b = 12, c = 8, a+b+c = 35], [a = 23, b = 12, c = 9, a+b+c = 35], [a = 23, b = 12, c = 10, a+b+c = 35], [a = 23, b = 12, c = 11, a+b+c = 35], [a = 23, b = 15, c = 2, a+b+c = 38], [a = 23, b = 15, c = 4, a+b+c = 38], [a = 23, b = 15, c = 8, a+b+c = 38], [a = 23, b = 15, c = 10, a+b+c = 38], [a = 23, b = 15, c = 11, a+b+c = 38], [a = 23, b = 15, c = 12, a+b+c = 38], [a = 23, b = 15, c = 13, a+b+c = 38], [a = 23, b = 16, c = 3, a+b+c = 39], [a = 23, b = 16, c = 5, a+b+c = 39], [a = 23, b = 16, c = 8, a+b+c = 39], [a = 23, b = 16, c = 9, a+b+c = 39], [a = 23, b = 16, c = 11, a+b+c = 39], [a = 23, b = 16, c = 12, a+b+c = 39], [a = 23, b = 16, c = 13, a+b+c = 39], [a = 23, b = 16, c = 15, a+b+c = 39], [a = 23, b = 18, c = 1, a+b+c = 41], [a = 23, b = 18, c = 2, a+b+c = 41], [a = 23, b = 18, c = 5, a+b+c = 41], [a = 23, b = 18, c = 10, a+b+c = 41], [a = 23, b = 18, c = 11, a+b+c = 41], [a = 23, b = 18, c = 13, a+b+c = 41], [a = 23, b = 18, c = 15, a+b+c = 41], [a = 23, b = 18, c = 16, a+b+c = 41], [a = 23, b = 18, c = 17, a+b+c = 41], [a = 23, b = 19, c = 2, a+b+c = 42], [a = 23, b = 19, c = 3, a+b+c = 42], [a = 23, b = 19, c = 6, a+b+c = 42], [a = 23, b = 19, c = 8, a+b+c = 42], [a = 23, b = 19, c = 11, a+b+c = 42], [a = 23, b = 19, c = 12, a+b+c = 42], [a = 23, b = 19, c = 15, a+b+c = 42], [a = 23, b = 19, c = 16, a+b+c = 42], [a = 23, b = 19, c = 17, a+b+c = 42], [a = 23, b = 19, c = 18, a+b+c = 42], [a = 23, b = 20, c = 1, a+b+c = 43], [a = 23, b = 20, c = 3, a+b+c = 43], [a = 23, b = 20, c = 4, a+b+c = 43], [a = 23, b = 20, c = 9, a+b+c = 43], [a = 23, b = 20, c = 12, a+b+c = 43], [a = 23, b = 20, c = 13, a+b+c = 43], [a = 23, b = 20, c = 15, a+b+c = 43], [a = 23, b = 20, c = 16, a+b+c = 43], [a = 23, b = 20, c = 17, a+b+c = 43], [a = 23, b = 20, c = 18, a+b+c = 43], [a = 23, b = 20, c = 19, a+b+c = 43], [a = 23, b = 22, c = 3, a+b+c = 45], [a = 23, b = 22, c = 5, a+b+c = 45], [a = 23, b = 22, c = 6, a+b+c = 45], [a = 23, b = 22, c = 9, a+b+c = 45], [a = 23, b = 22, c = 11, a+b+c = 45], [a = 23, b = 22, c = 15, a+b+c = 45], [a = 23, b = 22, c = 17, a+b+c = 45], [a = 23, b = 22, c = 18, a+b+c = 45], [a = 23, b = 22, c = 19, a+b+c = 45], [a = 23, b = 22, c = 20, a+b+c = 45], [a = 24, b = 5, c = 1, a+b+c = 29], [a = 24, b = 5, c = 2, a+b+c = 29], [a = 24, b = 5, c = 3, a+b+c = 29], [a = 24, b = 5, c = 4, a+b+c = 29], [a = 24, b = 8, c = 3, a+b+c = 32], [a = 24, b = 8, c = 5, a+b+c = 32], [a = 24, b = 11, c = 3, a+b+c = 35], [a = 24, b = 11, c = 4, a+b+c = 35], [a = 24, b = 11, c = 6, a+b+c = 35], [a = 24, b = 11, c = 8, a+b+c = 35], [a = 24, b = 11, c = 9, a+b+c = 35], [a = 24, b = 11, c = 10, a+b+c = 35], [a = 24, b = 13, c = 2, a+b+c = 37], [a = 24, b = 13, c = 5, a+b+c = 37], [a = 24, b = 13, c = 6, a+b+c = 37], [a = 24, b = 13, c = 8, a+b+c = 37], [a = 24, b = 13, c = 9, a+b+c = 37], [a = 24, b = 13, c = 10, a+b+c = 37], [a = 24, b = 13, c = 11, a+b+c = 37], [a = 24, b = 13, c = 12, a+b+c = 37], [a = 24, b = 16, c = 3, a+b+c = 40], [a = 24, b = 16, c = 5, a+b+c = 40], [a = 24, b = 16, c = 11, a+b+c = 40], [a = 24, b = 16, c = 13, a+b+c = 40], [a = 24, b = 17, c = 1, a+b+c = 41], [a = 24, b = 17, c = 4, a+b+c = 41], [a = 24, b = 17, c = 6, a+b+c = 41], [a = 24, b = 17, c = 9, a+b+c = 41], [a = 24, b = 17, c = 10, a+b+c = 41], [a = 24, b = 17, c = 12, a+b+c = 41], [a = 24, b = 17, c = 13, a+b+c = 41], [a = 24, b = 17, c = 15, a+b+c = 41], [a = 24, b = 17, c = 16, a+b+c = 41], [a = 24, b = 19, c = 2, a+b+c = 43], [a = 24, b = 19, c = 3, a+b+c = 43], [a = 24, b = 19, c = 6, a+b+c = 43], [a = 24, b = 19, c = 8, a+b+c = 43], [a = 24, b = 19, c = 11, a+b+c = 43], [a = 24, b = 19, c = 12, a+b+c = 43], [a = 24, b = 19, c = 15, a+b+c = 43], [a = 24, b = 19, c = 16, a+b+c = 43], [a = 24, b = 19, c = 17, a+b+c = 43], [a = 24, b = 19, c = 18, a+b+c = 43], [a = 24, b = 20, c = 3, a+b+c = 44], [a = 24, b = 20, c = 13, a+b+c = 44], [a = 24, b = 20, c = 17, a+b+c = 44], [a = 24, b = 20, c = 19, a+b+c = 44], [a = 24, b = 22, c = 3, a+b+c = 46], [a = 24, b = 22, c = 5, a+b+c = 46], [a = 24, b = 22, c = 11, a+b+c = 46], [a = 24, b = 22, c = 17, a+b+c = 46], [a = 24, b = 22, c = 19, a+b+c = 46], [a = 24, b = 23, c = 4, a+b+c = 47], [a = 24, b = 23, c = 6, a+b+c = 47], [a = 24, b = 23, c = 10, a+b+c = 47], [a = 24, b = 23, c = 12, a+b+c = 47], [a = 24, b = 23, c = 15, a+b+c = 47], [a = 24, b = 23, c = 16, a+b+c = 47], [a = 24, b = 23, c = 18, a+b+c = 47], [a = 24, b = 23, c = 19, a+b+c = 47], [a = 24, b = 23, c = 20, a+b+c = 47], [a = 24, b = 23, c = 22, a+b+c = 47], [a = 25, b = 2, c = 1, a+b+c = 27], [a = 25, b = 6, c = 2, a+b+c = 31], [a = 25, b = 6, c = 3, a+b+c = 31], [a = 25, b = 6, c = 5, a+b+c = 31], [a = 25, b = 8, c = 3, a+b+c = 33], [a = 25, b = 8, c = 5, a+b+c = 33], [a = 25, b = 9, c = 2, a+b+c = 34], [a = 25, b = 9, c = 5, a+b+c = 34], [a = 25, b = 12, c = 5, a+b+c = 37], [a = 25, b = 12, c = 11, a+b+c = 37], [a = 25, b = 17, c = 1, a+b+c = 42], [a = 25, b = 17, c = 4, a+b+c = 42], [a = 25, b = 17, c = 6, a+b+c = 42], [a = 25, b = 17, c = 9, a+b+c = 42], [a = 25, b = 17, c = 10, a+b+c = 42], [a = 25, b = 17, c = 12, a+b+c = 42], [a = 25, b = 17, c = 13, a+b+c = 42], [a = 25, b = 17, c = 15, a+b+c = 42], [a = 25, b = 17, c = 16, a+b+c = 42], [a = 25, b = 18, c = 2, a+b+c = 43], [a = 25, b = 18, c = 5, a+b+c = 43], [a = 25, b = 18, c = 11, a+b+c = 43], [a = 25, b = 18, c = 13, a+b+c = 43], [a = 25, b = 18, c = 17, a+b+c = 43], [a = 25, b = 20, c = 3, a+b+c = 45], [a = 25, b = 20, c = 13, a+b+c = 45], [a = 25, b = 20, c = 17, a+b+c = 45], [a = 25, b = 20, c = 19, a+b+c = 45], [a = 25, b = 22, c = 3, a+b+c = 47], [a = 25, b = 22, c = 5, a+b+c = 47], [a = 25, b = 22, c = 11, a+b+c = 47], [a = 25, b = 22, c = 17, a+b+c = 47], [a = 25, b = 22, c = 19, a+b+c = 47], [a = 25, b = 23, c = 4, a+b+c = 48], [a = 25, b = 23, c = 6, a+b+c = 48], [a = 25, b = 23, c = 10, a+b+c = 48], [a = 25, b = 23, c = 12, a+b+c = 48], [a = 25, b = 23, c = 15, a+b+c = 48], [a = 25, b = 23, c = 16, a+b+c = 48], [a = 25, b = 23, c = 18, a+b+c = 48], [a = 25, b = 23, c = 19, a+b+c = 48], [a = 25, b = 23, c = 20, a+b+c = 48], [a = 25, b = 23, c = 22, a+b+c = 48], [a = 25, b = 24, c = 5, a+b+c = 49], [a = 25, b = 24, c = 11, a+b+c = 49], [a = 25, b = 24, c = 13, a+b+c = 49], [a = 25, b = 24, c = 17, a+b+c = 49], [a = 25, b = 24, c = 19, a+b+c = 49], [a = 25, b = 24, c = 23, a+b+c = 49], [a = 26, b = 3, c = 1, a+b+c = 29], [a = 26, b = 3, c = 2, a+b+c = 29], [a = 26, b = 9, c = 2, a+b+c = 35], [a = 26, b = 9, c = 5, a+b+c = 35], [a = 26, b = 10, c = 2, a+b+c = 36], [a = 26, b = 10, c = 3, a+b+c = 36], [a = 26, b = 10, c = 5, a+b+c = 36], [a = 26, b = 13, c = 2, a+b+c = 39], [a = 26, b = 13, c = 5, a+b+c = 39], [a = 26, b = 13, c = 6, a+b+c = 39], [a = 26, b = 13, c = 8, a+b+c = 39], [a = 26, b = 13, c = 9, a+b+c = 39], [a = 26, b = 13, c = 10, a+b+c = 39], [a = 26, b = 13, c = 11, a+b+c = 39], [a = 26, b = 13, c = 12, a+b+c = 39], [a = 26, b = 15, c = 2, a+b+c = 41], [a = 26, b = 15, c = 11, a+b+c = 41], [a = 26, b = 15, c = 13, a+b+c = 41], [a = 26, b = 18, c = 2, a+b+c = 44], [a = 26, b = 18, c = 5, a+b+c = 44], [a = 26, b = 18, c = 11, a+b+c = 44], [a = 26, b = 18, c = 13, a+b+c = 44], [a = 26, b = 18, c = 17, a+b+c = 44], [a = 26, b = 19, c = 2, a+b+c = 45], [a = 26, b = 19, c = 3, a+b+c = 45], [a = 26, b = 19, c = 6, a+b+c = 45], [a = 26, b = 19, c = 8, a+b+c = 45], [a = 26, b = 19, c = 11, a+b+c = 45], [a = 26, b = 19, c = 12, a+b+c = 45], [a = 26, b = 19, c = 15, a+b+c = 45], [a = 26, b = 19, c = 16, a+b+c = 45], [a = 26, b = 19, c = 17, a+b+c = 45], [a = 26, b = 19, c = 18, a+b+c = 45], [a = 26, b = 22, c = 3, a+b+c = 48], [a = 26, b = 22, c = 5, a+b+c = 48], [a = 26, b = 22, c = 11, a+b+c = 48], [a = 26, b = 22, c = 17, a+b+c = 48], [a = 26, b = 22, c = 19, a+b+c = 48], [a = 26, b = 23, c = 4, a+b+c = 49], [a = 26, b = 23, c = 6, a+b+c = 49], [a = 26, b = 23, c = 10, a+b+c = 49], [a = 26, b = 23, c = 12, a+b+c = 49], [a = 26, b = 23, c = 15, a+b+c = 49], [a = 26, b = 23, c = 16, a+b+c = 49], [a = 26, b = 23, c = 18, a+b+c = 49], [a = 26, b = 23, c = 19, a+b+c = 49], [a = 26, b = 23, c = 20, a+b+c = 49], [a = 26, b = 23, c = 22, a+b+c = 49], [a = 26, b = 24, c = 5, a+b+c = 50], [a = 26, b = 24, c = 11, a+b+c = 50], [a = 26, b = 24, c = 13, a+b+c = 50], [a = 26, b = 24, c = 17, a+b+c = 50], [a = 26, b = 24, c = 19, a+b+c = 50], [a = 26, b = 24, c = 23, a+b+c = 50], [a = 26, b = 25, c = 2, a+b+c = 51], [a = 26, b = 25, c = 17, a+b+c = 51], [a = 26, b = 25, c = 23, a+b+c = 51], [a = 27, b = 4, c = 2, a+b+c = 31], [a = 27, b = 4, c = 3, a+b+c = 31], [a = 27, b = 8, c = 3, a+b+c = 35], [a = 27, b = 8, c = 5, a+b+c = 35], [a = 27, b = 10, c = 2, a+b+c = 37], [a = 27, b = 10, c = 3, a+b+c = 37], [a = 27, b = 10, c = 5, a+b+c = 37], [a = 27, b = 11, c = 3, a+b+c = 38], [a = 27, b = 11, c = 4, a+b+c = 38], [a = 27, b = 11, c = 6, a+b+c = 38], [a = 27, b = 11, c = 8, a+b+c = 38], [a = 27, b = 11, c = 9, a+b+c = 38], [a = 27, b = 11, c = 10, a+b+c = 38], [a = 27, b = 16, c = 3, a+b+c = 43], [a = 27, b = 16, c = 5, a+b+c = 43], [a = 27, b = 16, c = 11, a+b+c = 43], [a = 27, b = 16, c = 13, a+b+c = 43], [a = 27, b = 19, c = 2, a+b+c = 46], [a = 27, b = 19, c = 3, a+b+c = 46], [a = 27, b = 19, c = 6, a+b+c = 46], [a = 27, b = 19, c = 8, a+b+c = 46], [a = 27, b = 19, c = 11, a+b+c = 46], [a = 27, b = 19, c = 12, a+b+c = 46], [a = 27, b = 19, c = 15, a+b+c = 46], [a = 27, b = 19, c = 16, a+b+c = 46], [a = 27, b = 19, c = 17, a+b+c = 46], [a = 27, b = 19, c = 18, a+b+c = 46], [a = 27, b = 20, c = 3, a+b+c = 47], [a = 27, b = 20, c = 13, a+b+c = 47], [a = 27, b = 20, c = 17, a+b+c = 47], [a = 27, b = 20, c = 19, a+b+c = 47], [a = 27, b = 22, c = 3, a+b+c = 49], [a = 27, b = 22, c = 5, a+b+c = 49], [a = 27, b = 22, c = 11, a+b+c = 49], [a = 27, b = 22, c = 17, a+b+c = 49], [a = 27, b = 22, c = 19, a+b+c = 49], [a = 27, b = 23, c = 4, a+b+c = 50], [a = 27, b = 23, c = 6, a+b+c = 50], [a = 27, b = 23, c = 10, a+b+c = 50], [a = 27, b = 23, c = 12, a+b+c = 50], [a = 27, b = 23, c = 15, a+b+c = 50], [a = 27, b = 23, c = 16, a+b+c = 50], [a = 27, b = 23, c = 18, a+b+c = 50], [a = 27, b = 23, c = 19, a+b+c = 50], [a = 27, b = 23, c = 20, a+b+c = 50], [a = 27, b = 23, c = 22, a+b+c = 50], [a = 27, b = 24, c = 5, a+b+c = 51], [a = 27, b = 24, c = 11, a+b+c = 51], [a = 27, b = 24, c = 13, a+b+c = 51], [a = 27, b = 24, c = 17, a+b+c = 51], [a = 27, b = 24, c = 19, a+b+c = 51], [a = 27, b = 24, c = 23, a+b+c = 51], [a = 27, b = 25, c = 2, a+b+c = 52], [a = 27, b = 25, c = 17, a+b+c = 52], [a = 27, b = 25, c = 23, a+b+c = 52], [a = 27, b = 26, c = 3, a+b+c = 53], [a = 27, b = 26, c = 13, a+b+c = 53], [a = 27, b = 26, c = 19, a+b+c = 53], [a = 27, b = 26, c = 23, a+b+c = 53], [a = 29, b = 6, c = 1, a+b+c = 35], [a = 29, b = 6, c = 2, a+b+c = 35], [a = 29, b = 6, c = 3, a+b+c = 35], [a = 29, b = 6, c = 4, a+b+c = 35], [a = 29, b = 6, c = 5, a+b+c = 35], [a = 29, b = 10, c = 2, a+b+c = 39], [a = 29, b = 10, c = 3, a+b+c = 39], [a = 29, b = 10, c = 5, a+b+c = 39], [a = 29, b = 10, c = 6, a+b+c = 39], [a = 29, b = 10, c = 8, a+b+c = 39], [a = 29, b = 10, c = 9, a+b+c = 39], [a = 29, b = 12, c = 1, a+b+c = 41], [a = 29, b = 12, c = 4, a+b+c = 41], [a = 29, b = 12, c = 5, a+b+c = 41], [a = 29, b = 12, c = 8, a+b+c = 41], [a = 29, b = 12, c = 9, a+b+c = 41], [a = 29, b = 12, c = 10, a+b+c = 41], [a = 29, b = 12, c = 11, a+b+c = 41], [a = 29, b = 13, c = 2, a+b+c = 42], [a = 29, b = 13, c = 5, a+b+c = 42], [a = 29, b = 13, c = 6, a+b+c = 42], [a = 29, b = 13, c = 8, a+b+c = 42], [a = 29, b = 13, c = 9, a+b+c = 42], [a = 29, b = 13, c = 10, a+b+c = 42], [a = 29, b = 13, c = 11, a+b+c = 42], [a = 29, b = 13, c = 12, a+b+c = 42], [a = 29, b = 16, c = 3, a+b+c = 45], [a = 29, b = 16, c = 5, a+b+c = 45], [a = 29, b = 16, c = 8, a+b+c = 45], [a = 29, b = 16, c = 9, a+b+c = 45], [a = 29, b = 16, c = 11, a+b+c = 45], [a = 29, b = 16, c = 12, a+b+c = 45], [a = 29, b = 16, c = 13, a+b+c = 45], [a = 29, b = 16, c = 15, a+b+c = 45], [a = 29, b = 18, c = 1, a+b+c = 47], [a = 29, b = 18, c = 2, a+b+c = 47], [a = 29, b = 18, c = 5, a+b+c = 47], [a = 29, b = 18, c = 10, a+b+c = 47], [a = 29, b = 18, c = 11, a+b+c = 47], [a = 29, b = 18, c = 13, a+b+c = 47], [a = 29, b = 18, c = 15, a+b+c = 47], [a = 29, b = 18, c = 16, a+b+c = 47], [a = 29, b = 18, c = 17, a+b+c = 47], [a = 29, b = 22, c = 3, a+b+c = 51], [a = 29, b = 22, c = 5, a+b+c = 51], [a = 29, b = 22, c = 6, a+b+c = 51], [a = 29, b = 22, c = 9, a+b+c = 51], [a = 29, b = 22, c = 11, a+b+c = 51], [a = 29, b = 22, c = 15, a+b+c = 51], [a = 29, b = 22, c = 17, a+b+c = 51], [a = 29, b = 22, c = 18, a+b+c = 51], [a = 29, b = 22, c = 19, a+b+c = 51], [a = 29, b = 22, c = 20, a+b+c = 51], [a = 29, b = 24, c = 1, a+b+c = 53], [a = 29, b = 24, c = 5, a+b+c = 53], [a = 29, b = 24, c = 8, a+b+c = 53], [a = 29, b = 24, c = 11, a+b+c = 53], [a = 29, b = 24, c = 13, a+b+c = 53], [a = 29, b = 24, c = 16, a+b+c = 53], [a = 29, b = 24, c = 17, a+b+c = 53], [a = 29, b = 24, c = 19, a+b+c = 53], [a = 29, b = 24, c = 20, a+b+c = 53], [a = 29, b = 24, c = 22, a+b+c = 53], [a = 29, b = 24, c = 23, a+b+c = 53], [a = 29, b = 25, c = 2, a+b+c = 54], [a = 29, b = 25, c = 6, a+b+c = 54], [a = 29, b = 25, c = 8, a+b+c = 54], [a = 29, b = 25, c = 9, a+b+c = 54], [a = 29, b = 25, c = 12, a+b+c = 54], [a = 29, b = 25, c = 17, a+b+c = 54], [a = 29, b = 25, c = 18, a+b+c = 54], [a = 29, b = 25, c = 20, a+b+c = 54], [a = 29, b = 25, c = 22, a+b+c = 54], [a = 29, b = 25, c = 23, a+b+c = 54], [a = 29, b = 25, c = 24, a+b+c = 54], [a = 29, b = 26, c = 3, a+b+c = 55], [a = 29, b = 26, c = 9, a+b+c = 55], [a = 29, b = 26, c = 10, a+b+c = 55], [a = 29, b = 26, c = 13, a+b+c = 55], [a = 29, b = 26, c = 15, a+b+c = 55], [a = 29, b = 26, c = 18, a+b+c = 55], [a = 29, b = 26, c = 19, a+b+c = 55], [a = 29, b = 26, c = 22, a+b+c = 55], [a = 29, b = 26, c = 23, a+b+c = 55], [a = 29, b = 26, c = 24, a+b+c = 55], [a = 29, b = 26, c = 25, a+b+c = 55], [a = 29, b = 27, c = 4, a+b+c = 56], [a = 29, b = 27, c = 8, a+b+c = 56], [a = 29, b = 27, c = 10, a+b+c = 56], [a = 29, b = 27, c = 11, a+b+c = 56], [a = 29, b = 27, c = 16, a+b+c = 56], [a = 29, b = 27, c = 19, a+b+c = 56], [a = 29, b = 27, c = 20, a+b+c = 56], [a = 29, b = 27, c = 22, a+b+c = 56], [a = 29, b = 27, c = 23, a+b+c = 56], [a = 29, b = 27, c = 24, a+b+c = 56], [a = 29, b = 27, c = 25, a+b+c = 56], [a = 29, b = 27, c = 26, a+b+c = 56], [a = 30, b = 11, c = 3, a+b+c = 41], [a = 30, b = 11, c = 4, a+b+c = 41], [a = 30, b = 11, c = 6, a+b+c = 41], [a = 30, b = 11, c = 8, a+b+c = 41], [a = 30, b = 11, c = 9, a+b+c = 41], [a = 30, b = 11, c = 10, a+b+c = 41], [a = 30, b = 13, c = 2, a+b+c = 43], [a = 30, b = 13, c = 5, a+b+c = 43], [a = 30, b = 13, c = 6, a+b+c = 43], [a = 30, b = 13, c = 8, a+b+c = 43], [a = 30, b = 13, c = 9, a+b+c = 43], [a = 30, b = 13, c = 10, a+b+c = 43], [a = 30, b = 13, c = 11, a+b+c = 43], [a = 30, b = 13, c = 12, a+b+c = 43], [a = 30, b = 17, c = 1, a+b+c = 47], [a = 30, b = 17, c = 4, a+b+c = 47], [a = 30, b = 17, c = 6, a+b+c = 47], [a = 30, b = 17, c = 9, a+b+c = 47], [a = 30, b = 17, c = 10, a+b+c = 47], [a = 30, b = 17, c = 12, a+b+c = 47], [a = 30, b = 17, c = 13, a+b+c = 47], [a = 30, b = 17, c = 15, a+b+c = 47], [a = 30, b = 17, c = 16, a+b+c = 47], [a = 30, b = 19, c = 2, a+b+c = 49], [a = 30, b = 19, c = 3, a+b+c = 49], [a = 30, b = 19, c = 6, a+b+c = 49], [a = 30, b = 19, c = 8, a+b+c = 49], [a = 30, b = 19, c = 11, a+b+c = 49], [a = 30, b = 19, c = 12, a+b+c = 49], [a = 30, b = 19, c = 15, a+b+c = 49], [a = 30, b = 19, c = 16, a+b+c = 49], [a = 30, b = 19, c = 17, a+b+c = 49], [a = 30, b = 19, c = 18, a+b+c = 49], [a = 30, b = 22, c = 3, a+b+c = 52], [a = 30, b = 22, c = 5, a+b+c = 52], [a = 30, b = 22, c = 11, a+b+c = 52], [a = 30, b = 22, c = 17, a+b+c = 52], [a = 30, b = 22, c = 19, a+b+c = 52], [a = 30, b = 23, c = 4, a+b+c = 53], [a = 30, b = 23, c = 6, a+b+c = 53], [a = 30, b = 23, c = 10, a+b+c = 53], [a = 30, b = 23, c = 12, a+b+c = 53], [a = 30, b = 23, c = 15, a+b+c = 53], [a = 30, b = 23, c = 16, a+b+c = 53], [a = 30, b = 23, c = 18, a+b+c = 53], [a = 30, b = 23, c = 19, a+b+c = 53], [a = 30, b = 23, c = 20, a+b+c = 53], [a = 30, b = 23, c = 22, a+b+c = 53], [a = 30, b = 25, c = 2, a+b+c = 55], [a = 30, b = 25, c = 17, a+b+c = 55], [a = 30, b = 25, c = 23, a+b+c = 55], [a = 30, b = 26, c = 3, a+b+c = 56], [a = 30, b = 26, c = 13, a+b+c = 56], [a = 30, b = 26, c = 19, a+b+c = 56], [a = 30, b = 26, c = 23, a+b+c = 56], [a = 30, b = 27, c = 11, a+b+c = 57], [a = 30, b = 27, c = 19, a+b+c = 57], [a = 30, b = 27, c = 23, a+b+c = 57], [a = 30, b = 29, c = 6, a+b+c = 59], [a = 30, b = 29, c = 10, a+b+c = 59], [a = 30, b = 29, c = 12, a+b+c = 59], [a = 30, b = 29, c = 13, a+b+c = 59], [a = 30, b = 29, c = 16, a+b+c = 59], [a = 30, b = 29, c = 18, a+b+c = 59], [a = 30, b = 29, c = 22, a+b+c = 59], [a = 30, b = 29, c = 24, a+b+c = 59], [a = 30, b = 29, c = 25, a+b+c = 59], [a = 30, b = 29, c = 26, a+b+c = 59], [a = 30, b = 29, c = 27, a+b+c = 59], [a = 31, b = 2, c = 1, a+b+c = 33], [a = 31, b = 8, c = 1, a+b+c = 39], [a = 31, b = 8, c = 3, a+b+c = 39], [a = 31, b = 8, c = 4, a+b+c = 39], [a = 31, b = 8, c = 5, a+b+c = 39], [a = 31, b = 8, c = 6, a+b+c = 39], [a = 31, b = 12, c = 1, a+b+c = 43], [a = 31, b = 12, c = 4, a+b+c = 43], [a = 31, b = 12, c = 5, a+b+c = 43], [a = 31, b = 12, c = 8, a+b+c = 43], [a = 31, b = 12, c = 9, a+b+c = 43], [a = 31, b = 12, c = 10, a+b+c = 43], [a = 31, b = 12, c = 11, a+b+c = 43], [a = 31, b = 15, c = 2, a+b+c = 46], [a = 31, b = 15, c = 4, a+b+c = 46], [a = 31, b = 15, c = 8, a+b+c = 46], [a = 31, b = 15, c = 10, a+b+c = 46], [a = 31, b = 15, c = 11, a+b+c = 46], [a = 31, b = 15, c = 12, a+b+c = 46], [a = 31, b = 15, c = 13, a+b+c = 46], [a = 31, b = 18, c = 1, a+b+c = 49], [a = 31, b = 18, c = 2, a+b+c = 49], [a = 31, b = 18, c = 5, a+b+c = 49], [a = 31, b = 18, c = 10, a+b+c = 49], [a = 31, b = 18, c = 11, a+b+c = 49], [a = 31, b = 18, c = 13, a+b+c = 49], [a = 31, b = 18, c = 15, a+b+c = 49], [a = 31, b = 18, c = 16, a+b+c = 49], [a = 31, b = 18, c = 17, a+b+c = 49], [a = 31, b = 20, c = 1, a+b+c = 51], [a = 31, b = 20, c = 3, a+b+c = 51], [a = 31, b = 20, c = 4, a+b+c = 51], [a = 31, b = 20, c = 9, a+b+c = 51], [a = 31, b = 20, c = 12, a+b+c = 51], [a = 31, b = 20, c = 13, a+b+c = 51], [a = 31, b = 20, c = 15, a+b+c = 51], [a = 31, b = 20, c = 16, a+b+c = 51], [a = 31, b = 20, c = 17, a+b+c = 51], [a = 31, b = 20, c = 18, a+b+c = 51], [a = 31, b = 20, c = 19, a+b+c = 51], [a = 31, b = 23, c = 4, a+b+c = 54], [a = 31, b = 23, c = 6, a+b+c = 54], [a = 31, b = 23, c = 10, a+b+c = 54], [a = 31, b = 23, c = 12, a+b+c = 54], [a = 31, b = 23, c = 15, a+b+c = 54], [a = 31, b = 23, c = 16, a+b+c = 54], [a = 31, b = 23, c = 18, a+b+c = 54], [a = 31, b = 23, c = 19, a+b+c = 54], [a = 31, b = 23, c = 20, a+b+c = 54], [a = 31, b = 23, c = 22, a+b+c = 54], [a = 31, b = 24, c = 1, a+b+c = 55], [a = 31, b = 24, c = 5, a+b+c = 55], [a = 31, b = 24, c = 8, a+b+c = 55], [a = 31, b = 24, c = 11, a+b+c = 55], [a = 31, b = 24, c = 13, a+b+c = 55], [a = 31, b = 24, c = 16, a+b+c = 55], [a = 31, b = 24, c = 17, a+b+c = 55], [a = 31, b = 24, c = 19, a+b+c = 55], [a = 31, b = 24, c = 20, a+b+c = 55], [a = 31, b = 24, c = 22, a+b+c = 55], [a = 31, b = 24, c = 23, a+b+c = 55], [a = 31, b = 26, c = 3, a+b+c = 57], [a = 31, b = 26, c = 9, a+b+c = 57], [a = 31, b = 26, c = 10, a+b+c = 57], [a = 31, b = 26, c = 13, a+b+c = 57], [a = 31, b = 26, c = 15, a+b+c = 57], [a = 31, b = 26, c = 18, a+b+c = 57], [a = 31, b = 26, c = 19, a+b+c = 57], [a = 31, b = 26, c = 22, a+b+c = 57], [a = 31, b = 26, c = 23, a+b+c = 57], [a = 31, b = 26, c = 24, a+b+c = 57], [a = 31, b = 26, c = 25, a+b+c = 57], [a = 31, b = 27, c = 4, a+b+c = 58], [a = 31, b = 27, c = 8, a+b+c = 58], [a = 31, b = 27, c = 10, a+b+c = 58], [a = 31, b = 27, c = 11, a+b+c = 58], [a = 31, b = 27, c = 16, a+b+c = 58], [a = 31, b = 27, c = 19, a+b+c = 58], [a = 31, b = 27, c = 20, a+b+c = 58], [a = 31, b = 27, c = 22, a+b+c = 58], [a = 31, b = 27, c = 23, a+b+c = 58], [a = 31, b = 27, c = 24, a+b+c = 58], [a = 31, b = 27, c = 25, a+b+c = 58], [a = 31, b = 27, c = 26, a+b+c = 58], [a = 31, b = 29, c = 6, a+b+c = 60], [a = 31, b = 29, c = 10, a+b+c = 60], [a = 31, b = 29, c = 12, a+b+c = 60], [a = 31, b = 29, c = 13, a+b+c = 60], [a = 31, b = 29, c = 16, a+b+c = 60], [a = 31, b = 29, c = 18, a+b+c = 60], [a = 31, b = 29, c = 22, a+b+c = 60], [a = 31, b = 29, c = 24, a+b+c = 60], [a = 31, b = 29, c = 25, a+b+c = 60], [a = 31, b = 29, c = 26, a+b+c = 60], [a = 31, b = 29, c = 27, a+b+c = 60], [a = 32, b = 3, c = 1, a+b+c = 35], [a = 32, b = 3, c = 2, a+b+c = 35], [a = 32, b = 9, c = 2, a+b+c = 41], [a = 32, b = 9, c = 5, a+b+c = 41], [a = 32, b = 13, c = 2, a+b+c = 45], [a = 32, b = 13, c = 5, a+b+c = 45], [a = 32, b = 13, c = 6, a+b+c = 45], [a = 32, b = 13, c = 8, a+b+c = 45], [a = 32, b = 13, c = 9, a+b+c = 45], [a = 32, b = 13, c = 10, a+b+c = 45], [a = 32, b = 13, c = 11, a+b+c = 45], [a = 32, b = 13, c = 12, a+b+c = 45], [a = 32, b = 15, c = 2, a+b+c = 47], [a = 32, b = 15, c = 11, a+b+c = 47], [a = 32, b = 15, c = 13, a+b+c = 47], [a = 32, b = 16, c = 3, a+b+c = 48], [a = 32, b = 16, c = 5, a+b+c = 48], [a = 32, b = 16, c = 11, a+b+c = 48], [a = 32, b = 16, c = 13, a+b+c = 48], [a = 32, b = 19, c = 2, a+b+c = 51], [a = 32, b = 19, c = 3, a+b+c = 51], [a = 32, b = 19, c = 6, a+b+c = 51], [a = 32, b = 19, c = 8, a+b+c = 51], [a = 32, b = 19, c = 11, a+b+c = 51], [a = 32, b = 19, c = 12, a+b+c = 51], [a = 32, b = 19, c = 15, a+b+c = 51], [a = 32, b = 19, c = 16, a+b+c = 51], [a = 32, b = 19, c = 17, a+b+c = 51], [a = 32, b = 19, c = 18, a+b+c = 51], [a = 32, b = 24, c = 5, a+b+c = 56], [a = 32, b = 24, c = 11, a+b+c = 56], [a = 32, b = 24, c = 13, a+b+c = 56], [a = 32, b = 24, c = 17, a+b+c = 56], [a = 32, b = 24, c = 19, a+b+c = 56], [a = 32, b = 24, c = 23, a+b+c = 56], [a = 32, b = 25, c = 2, a+b+c = 57], [a = 32, b = 25, c = 17, a+b+c = 57], [a = 32, b = 25, c = 23, a+b+c = 57], [a = 32, b = 27, c = 11, a+b+c = 59], [a = 32, b = 27, c = 19, a+b+c = 59], [a = 32, b = 27, c = 23, a+b+c = 59], [a = 33, b = 2, c = 1, a+b+c = 35], [a = 33, b = 4, c = 2, a+b+c = 37], [a = 33, b = 4, c = 3, a+b+c = 37], [a = 33, b = 10, c = 2, a+b+c = 43], [a = 33, b = 10, c = 3, a+b+c = 43], [a = 33, b = 10, c = 5, a+b+c = 43], [a = 33, b = 16, c = 3, a+b+c = 49], [a = 33, b = 16, c = 5, a+b+c = 49], [a = 33, b = 16, c = 11, a+b+c = 49], [a = 33, b = 16, c = 13, a+b+c = 49], [a = 33, b = 17, c = 1, a+b+c = 50], [a = 33, b = 17, c = 4, a+b+c = 50], [a = 33, b = 17, c = 6, a+b+c = 50], [a = 33, b = 17, c = 9, a+b+c = 50], [a = 33, b = 17, c = 10, a+b+c = 50], [a = 33, b = 17, c = 12, a+b+c = 50], [a = 33, b = 17, c = 13, a+b+c = 50], [a = 33, b = 17, c = 15, a+b+c = 50], [a = 33, b = 17, c = 16, a+b+c = 50], [a = 33, b = 20, c = 3, a+b+c = 53], [a = 33, b = 20, c = 13, a+b+c = 53], [a = 33, b = 20, c = 17, a+b+c = 53], [a = 33, b = 20, c = 19, a+b+c = 53], [a = 33, b = 22, c = 3, a+b+c = 55], [a = 33, b = 22, c = 5, a+b+c = 55], [a = 33, b = 22, c = 11, a+b+c = 55], [a = 33, b = 22, c = 17, a+b+c = 55], [a = 33, b = 22, c = 19, a+b+c = 55], [a = 33, b = 25, c = 2, a+b+c = 58], [a = 33, b = 25, c = 17, a+b+c = 58], [a = 33, b = 25, c = 23, a+b+c = 58], [a = 33, b = 26, c = 3, a+b+c = 59], [a = 33, b = 26, c = 13, a+b+c = 59], [a = 33, b = 26, c = 19, a+b+c = 59], [a = 33, b = 26, c = 23, a+b+c = 59], [a = 34, b = 2, c = 1, a+b+c = 36], [a = 34, b = 3, c = 1, a+b+c = 37], [a = 34, b = 3, c = 2, a+b+c = 37], [a = 34, b = 5, c = 1, a+b+c = 39], [a = 34, b = 5, c = 2, a+b+c = 39], [a = 34, b = 5, c = 3, a+b+c = 39], [a = 34, b = 5, c = 4, a+b+c = 39], [a = 34, b = 11, c = 3, a+b+c = 45], [a = 34, b = 11, c = 4, a+b+c = 45], [a = 34, b = 11, c = 6, a+b+c = 45], [a = 34, b = 11, c = 8, a+b+c = 45], [a = 34, b = 11, c = 9, a+b+c = 45], [a = 34, b = 11, c = 10, a+b+c = 45], [a = 34, b = 15, c = 2, a+b+c = 49], [a = 34, b = 15, c = 11, a+b+c = 49], [a = 34, b = 15, c = 13, a+b+c = 49], [a = 34, b = 17, c = 1, a+b+c = 51], [a = 34, b = 17, c = 4, a+b+c = 51], [a = 34, b = 17, c = 6, a+b+c = 51], [a = 34, b = 17, c = 9, a+b+c = 51], [a = 34, b = 17, c = 10, a+b+c = 51], [a = 34, b = 17, c = 12, a+b+c = 51], [a = 34, b = 17, c = 13, a+b+c = 51], [a = 34, b = 17, c = 15, a+b+c = 51], [a = 34, b = 17, c = 16, a+b+c = 51], [a = 34, b = 18, c = 2, a+b+c = 52], [a = 34, b = 18, c = 5, a+b+c = 52], [a = 34, b = 18, c = 11, a+b+c = 52], [a = 34, b = 18, c = 13, a+b+c = 52], [a = 34, b = 18, c = 17, a+b+c = 52], [a = 34, b = 23, c = 4, a+b+c = 57], [a = 34, b = 23, c = 6, a+b+c = 57], [a = 34, b = 23, c = 10, a+b+c = 57], [a = 34, b = 23, c = 12, a+b+c = 57], [a = 34, b = 23, c = 15, a+b+c = 57], [a = 34, b = 23, c = 16, a+b+c = 57], [a = 34, b = 23, c = 18, a+b+c = 57], [a = 34, b = 23, c = 19, a+b+c = 57], [a = 34, b = 23, c = 20, a+b+c = 57], [a = 34, b = 23, c = 22, a+b+c = 57], [a = 34, b = 26, c = 3, a+b+c = 60], [a = 34, b = 26, c = 13, a+b+c = 60], [a = 34, b = 26, c = 19, a+b+c = 60], [a = 34, b = 26, c = 23, a+b+c = 60], [a = 36, b = 4, c = 2, a+b+c = 40], [a = 36, b = 4, c = 3, a+b+c = 40], [a = 36, b = 5, c = 1, a+b+c = 41], [a = 36, b = 5, c = 2, a+b+c = 41], [a = 36, b = 5, c = 3, a+b+c = 41], [a = 36, b = 5, c = 4, a+b+c = 41], [a = 36, b = 13, c = 2, a+b+c = 49], [a = 36, b = 13, c = 5, a+b+c = 49], [a = 36, b = 13, c = 6, a+b+c = 49], [a = 36, b = 13, c = 8, a+b+c = 49], [a = 36, b = 13, c = 9, a+b+c = 49], [a = 36, b = 13, c = 10, a+b+c = 49], [a = 36, b = 13, c = 11, a+b+c = 49], [a = 36, b = 13, c = 12, a+b+c = 49], [a = 36, b = 17, c = 1, a+b+c = 53], [a = 36, b = 17, c = 4, a+b+c = 53], [a = 36, b = 17, c = 6, a+b+c = 53], [a = 36, b = 17, c = 9, a+b+c = 53], [a = 36, b = 17, c = 10, a+b+c = 53], [a = 36, b = 17, c = 12, a+b+c = 53], [a = 36, b = 17, c = 13, a+b+c = 53], [a = 36, b = 17, c = 15, a+b+c = 53], [a = 36, b = 17, c = 16, a+b+c = 53], [a = 36, b = 19, c = 2, a+b+c = 55], [a = 36, b = 19, c = 3, a+b+c = 55], [a = 36, b = 19, c = 6, a+b+c = 55], [a = 36, b = 19, c = 8, a+b+c = 55], [a = 36, b = 19, c = 11, a+b+c = 55], [a = 36, b = 19, c = 12, a+b+c = 55], [a = 36, b = 19, c = 15, a+b+c = 55], [a = 36, b = 19, c = 16, a+b+c = 55], [a = 36, b = 19, c = 17, a+b+c = 55], [a = 36, b = 19, c = 18, a+b+c = 55], [a = 36, b = 20, c = 3, a+b+c = 56], [a = 36, b = 20, c = 13, a+b+c = 56], [a = 36, b = 20, c = 17, a+b+c = 56], [a = 36, b = 20, c = 19, a+b+c = 56], [a = 36, b = 23, c = 4, a+b+c = 59], [a = 36, b = 23, c = 6, a+b+c = 59], [a = 36, b = 23, c = 10, a+b+c = 59], [a = 36, b = 23, c = 12, a+b+c = 59], [a = 36, b = 23, c = 15, a+b+c = 59], [a = 36, b = 23, c = 16, a+b+c = 59], [a = 36, b = 23, c = 18, a+b+c = 59], [a = 36, b = 23, c = 19, a+b+c = 59], [a = 36, b = 23, c = 20, a+b+c = 59], [a = 36, b = 23, c = 22, a+b+c = 59], [a = 37, b = 5, c = 1, a+b+c = 42], [a = 37, b = 5, c = 2, a+b+c = 42], [a = 37, b = 5, c = 3, a+b+c = 42], [a = 37, b = 5, c = 4, a+b+c = 42], [a = 37, b = 6, c = 1, a+b+c = 43], [a = 37, b = 6, c = 2, a+b+c = 43], [a = 37, b = 6, c = 3, a+b+c = 43], [a = 37, b = 6, c = 4, a+b+c = 43], [a = 37, b = 6, c = 5, a+b+c = 43], [a = 37, b = 8, c = 1, a+b+c = 45], [a = 37, b = 8, c = 3, a+b+c = 45], [a = 37, b = 8, c = 4, a+b+c = 45], [a = 37, b = 8, c = 5, a+b+c = 45], [a = 37, b = 8, c = 6, a+b+c = 45], [a = 37, b = 18, c = 1, a+b+c = 55], [a = 37, b = 18, c = 2, a+b+c = 55], [a = 37, b = 18, c = 5, a+b+c = 55], [a = 37, b = 18, c = 10, a+b+c = 55], [a = 37, b = 18, c = 11, a+b+c = 55], [a = 37, b = 18, c = 13, a+b+c = 55], [a = 37, b = 18, c = 15, a+b+c = 55], [a = 37, b = 18, c = 16, a+b+c = 55], [a = 37, b = 18, c = 17, a+b+c = 55], [a = 37, b = 20, c = 1, a+b+c = 57], [a = 37, b = 20, c = 3, a+b+c = 57], [a = 37, b = 20, c = 4, a+b+c = 57], [a = 37, b = 20, c = 9, a+b+c = 57], [a = 37, b = 20, c = 12, a+b+c = 57], [a = 37, b = 20, c = 13, a+b+c = 57], [a = 37, b = 20, c = 15, a+b+c = 57], [a = 37, b = 20, c = 16, a+b+c = 57], [a = 37, b = 20, c = 17, a+b+c = 57], [a = 37, b = 20, c = 18, a+b+c = 57], [a = 37, b = 20, c = 19, a+b+c = 57], [a = 38, b = 6, c = 2, a+b+c = 44], [a = 38, b = 6, c = 3, a+b+c = 44], [a = 38, b = 6, c = 5, a+b+c = 44], [a = 38, b = 9, c = 2, a+b+c = 47], [a = 38, b = 9, c = 5, a+b+c = 47], [a = 38, b = 15, c = 2, a+b+c = 53], [a = 38, b = 15, c = 11, a+b+c = 53], [a = 38, b = 15, c = 13, a+b+c = 53], [a = 38, b = 19, c = 2, a+b+c = 57], [a = 38, b = 19, c = 3, a+b+c = 57], [a = 38, b = 19, c = 6, a+b+c = 57], [a = 38, b = 19, c = 8, a+b+c = 57], [a = 38, b = 19, c = 11, a+b+c = 57], [a = 38, b = 19, c = 12, a+b+c = 57], [a = 38, b = 19, c = 15, a+b+c = 57], [a = 38, b = 19, c = 16, a+b+c = 57], [a = 38, b = 19, c = 17, a+b+c = 57], [a = 38, b = 19, c = 18, a+b+c = 57], [a = 38, b = 22, c = 3, a+b+c = 60], [a = 38, b = 22, c = 5, a+b+c = 60], [a = 38, b = 22, c = 11, a+b+c = 60], [a = 38, b = 22, c = 17, a+b+c = 60], [a = 38, b = 22, c = 19, a+b+c = 60], [a = 39, b = 2, c = 1, a+b+c = 41], [a = 39, b = 8, c = 3, a+b+c = 47], [a = 39, b = 8, c = 5, a+b+c = 47], [a = 39, b = 10, c = 2, a+b+c = 49], [a = 39, b = 10, c = 3, a+b+c = 49], [a = 39, b = 10, c = 5, a+b+c = 49], [a = 39, b = 16, c = 3, a+b+c = 55], [a = 39, b = 16, c = 5, a+b+c = 55], [a = 39, b = 16, c = 11, a+b+c = 55], [a = 39, b = 16, c = 13, a+b+c = 55], [a = 39, b = 20, c = 3, a+b+c = 59], [a = 39, b = 20, c = 13, a+b+c = 59], [a = 39, b = 20, c = 17, a+b+c = 59], [a = 39, b = 20, c = 19, a+b+c = 59], [a = 40, b = 3, c = 1, a+b+c = 43], [a = 40, b = 3, c = 2, a+b+c = 43], [a = 40, b = 8, c = 3, a+b+c = 48], [a = 40, b = 8, c = 5, a+b+c = 48], [a = 40, b = 9, c = 2, a+b+c = 49], [a = 40, b = 9, c = 5, a+b+c = 49], [a = 40, b = 11, c = 3, a+b+c = 51], [a = 40, b = 11, c = 4, a+b+c = 51], [a = 40, b = 11, c = 6, a+b+c = 51], [a = 40, b = 11, c = 8, a+b+c = 51], [a = 40, b = 11, c = 9, a+b+c = 51], [a = 40, b = 11, c = 10, a+b+c = 51], [a = 40, b = 17, c = 1, a+b+c = 57], [a = 40, b = 17, c = 4, a+b+c = 57], [a = 40, b = 17, c = 6, a+b+c = 57], [a = 40, b = 17, c = 9, a+b+c = 57], [a = 40, b = 17, c = 10, a+b+c = 57], [a = 40, b = 17, c = 12, a+b+c = 57], [a = 40, b = 17, c = 13, a+b+c = 57], [a = 40, b = 17, c = 15, a+b+c = 57], [a = 40, b = 17, c = 16, a+b+c = 57], [a = 41, b = 4, c = 1, a+b+c = 45], [a = 41, b = 4, c = 2, a+b+c = 45], [a = 41, b = 4, c = 3, a+b+c = 45], [a = 41, b = 9, c = 1, a+b+c = 50], [a = 41, b = 9, c = 2, a+b+c = 50], [a = 41, b = 9, c = 4, a+b+c = 50], [a = 41, b = 9, c = 5, a+b+c = 50], [a = 41, b = 9, c = 6, a+b+c = 50], [a = 41, b = 9, c = 8, a+b+c = 50], [a = 41, b = 10, c = 2, a+b+c = 51], [a = 41, b = 10, c = 3, a+b+c = 51], [a = 41, b = 10, c = 5, a+b+c = 51], [a = 41, b = 10, c = 6, a+b+c = 51], [a = 41, b = 10, c = 8, a+b+c = 51], [a = 41, b = 10, c = 9, a+b+c = 51], [a = 41, b = 12, c = 1, a+b+c = 53], [a = 41, b = 12, c = 4, a+b+c = 53], [a = 41, b = 12, c = 5, a+b+c = 53], [a = 41, b = 12, c = 8, a+b+c = 53], [a = 41, b = 12, c = 9, a+b+c = 53], [a = 41, b = 12, c = 10, a+b+c = 53], [a = 41, b = 12, c = 11, a+b+c = 53], [a = 41, b = 18, c = 1, a+b+c = 59], [a = 41, b = 18, c = 2, a+b+c = 59], [a = 41, b = 18, c = 5, a+b+c = 59], [a = 41, b = 18, c = 10, a+b+c = 59], [a = 41, b = 18, c = 11, a+b+c = 59], [a = 41, b = 18, c = 13, a+b+c = 59], [a = 41, b = 18, c = 15, a+b+c = 59], [a = 41, b = 18, c = 16, a+b+c = 59], [a = 41, b = 18, c = 17, a+b+c = 59], [a = 43, b = 2, c = 1, a+b+c = 45], [a = 43, b = 6, c = 1, a+b+c = 49], [a = 43, b = 6, c = 2, a+b+c = 49], [a = 43, b = 6, c = 3, a+b+c = 49], [a = 43, b = 6, c = 4, a+b+c = 49], [a = 43, b = 6, c = 5, a+b+c = 49], [a = 43, b = 11, c = 3, a+b+c = 54], [a = 43, b = 11, c = 4, a+b+c = 54], [a = 43, b = 11, c = 6, a+b+c = 54], [a = 43, b = 11, c = 8, a+b+c = 54], [a = 43, b = 11, c = 9, a+b+c = 54], [a = 43, b = 11, c = 10, a+b+c = 54], [a = 43, b = 12, c = 1, a+b+c = 55], [a = 43, b = 12, c = 4, a+b+c = 55], [a = 43, b = 12, c = 5, a+b+c = 55], [a = 43, b = 12, c = 8, a+b+c = 55], [a = 43, b = 12, c = 9, a+b+c = 55], [a = 43, b = 12, c = 10, a+b+c = 55], [a = 43, b = 12, c = 11, a+b+c = 55], [a = 44, b = 3, c = 1, a+b+c = 47], [a = 44, b = 3, c = 2, a+b+c = 47], [a = 44, b = 12, c = 5, a+b+c = 56], [a = 44, b = 12, c = 11, a+b+c = 56], [a = 44, b = 13, c = 2, a+b+c = 57], [a = 44, b = 13, c = 5, a+b+c = 57], [a = 44, b = 13, c = 6, a+b+c = 57], [a = 44, b = 13, c = 8, a+b+c = 57], [a = 44, b = 13, c = 9, a+b+c = 57], [a = 44, b = 13, c = 10, a+b+c = 57], [a = 44, b = 13, c = 11, a+b+c = 57], [a = 44, b = 13, c = 12, a+b+c = 57], [a = 44, b = 15, c = 2, a+b+c = 59], [a = 44, b = 15, c = 11, a+b+c = 59], [a = 44, b = 15, c = 13, a+b+c = 59], [a = 45, b = 2, c = 1, a+b+c = 47], [a = 45, b = 4, c = 2, a+b+c = 49], [a = 45, b = 4, c = 3, a+b+c = 49], [a = 45, b = 8, c = 3, a+b+c = 53], [a = 45, b = 8, c = 5, a+b+c = 53], [a = 45, b = 13, c = 2, a+b+c = 58], [a = 45, b = 13, c = 5, a+b+c = 58], [a = 45, b = 13, c = 6, a+b+c = 58], [a = 45, b = 13, c = 8, a+b+c = 58], [a = 45, b = 13, c = 9, a+b+c = 58], [a = 45, b = 13, c = 10, a+b+c = 58], [a = 45, b = 13, c = 11, a+b+c = 58], [a = 45, b = 13, c = 12, a+b+c = 58], [a = 46, b = 3, c = 1, a+b+c = 49], [a = 46, b = 3, c = 2, a+b+c = 49], [a = 46, b = 5, c = 1, a+b+c = 51], [a = 46, b = 5, c = 2, a+b+c = 51], [a = 46, b = 5, c = 3, a+b+c = 51], [a = 46, b = 5, c = 4, a+b+c = 51], [a = 46, b = 9, c = 2, a+b+c = 55], [a = 46, b = 9, c = 5, a+b+c = 55], [a = 47, b = 4, c = 1, a+b+c = 51], [a = 47, b = 4, c = 2, a+b+c = 51], [a = 47, b = 4, c = 3, a+b+c = 51], [a = 47, b = 6, c = 1, a+b+c = 53], [a = 47, b = 6, c = 2, a+b+c = 53], [a = 47, b = 6, c = 3, a+b+c = 53], [a = 47, b = 6, c = 4, a+b+c = 53], [a = 47, b = 6, c = 5, a+b+c = 53], [a = 47, b = 10, c = 2, a+b+c = 57], [a = 47, b = 10, c = 3, a+b+c = 57], [a = 47, b = 10, c = 5, a+b+c = 57], [a = 47, b = 10, c = 6, a+b+c = 57], [a = 47, b = 10, c = 8, a+b+c = 57], [a = 47, b = 10, c = 9, a+b+c = 57], [a = 48, b = 5, c = 1, a+b+c = 53], [a = 48, b = 5, c = 2, a+b+c = 53], [a = 48, b = 5, c = 3, a+b+c = 53], [a = 48, b = 5, c = 4, a+b+c = 53], [a = 48, b = 11, c = 3, a+b+c = 59], [a = 48, b = 11, c = 4, a+b+c = 59], [a = 48, b = 11, c = 6, a+b+c = 59], [a = 48, b = 11, c = 8, a+b+c = 59], [a = 48, b = 11, c = 9, a+b+c = 59], [a = 48, b = 11, c = 10, a+b+c = 59], [a = 50, b = 3, c = 1, a+b+c = 53], [a = 50, b = 3, c = 2, a+b+c = 53], [a = 50, b = 9, c = 2, a+b+c = 59], [a = 50, b = 9, c = 5, a+b+c = 59], [a = 51, b = 4, c = 2, a+b+c = 55], [a = 51, b = 4, c = 3, a+b+c = 55], [a = 51, b = 8, c = 3, a+b+c = 59], [a = 51, b = 8, c = 5, a+b+c = 59], [a = 52, b = 5, c = 1, a+b+c = 57], [a = 52, b = 5, c = 2, a+b+c = 57], [a = 52, b = 5, c = 3, a+b+c = 57], [a = 52, b = 5, c = 4, a+b+c = 57], [a = 53, b = 6, c = 1, a+b+c = 59], [a = 53, b = 6, c = 2, a+b+c = 59], [a = 53, b = 6, c = 3, a+b+c = 59], [a = 53, b = 6, c = 4, a+b+c = 59], [a = 53, b = 6, c = 5, a+b+c = 59], [a = 55, b = 2, c = 1, a+b+c = 57]

 

1389

(7)

seq(`if`(rhs(j[4]) = rhs(sol2[4]), j, NULL), `in`(j, [sol4]))

[a = 30, b = 29, c = 6, a+b+c = 59], [a = 30, b = 29, c = 10, a+b+c = 59], [a = 30, b = 29, c = 12, a+b+c = 59], [a = 30, b = 29, c = 13, a+b+c = 59], [a = 30, b = 29, c = 16, a+b+c = 59], [a = 30, b = 29, c = 18, a+b+c = 59], [a = 30, b = 29, c = 22, a+b+c = 59], [a = 30, b = 29, c = 24, a+b+c = 59], [a = 30, b = 29, c = 25, a+b+c = 59], [a = 30, b = 29, c = 26, a+b+c = 59], [a = 30, b = 29, c = 27, a+b+c = 59], [a = 32, b = 27, c = 11, a+b+c = 59], [a = 32, b = 27, c = 19, a+b+c = 59], [a = 32, b = 27, c = 23, a+b+c = 59], [a = 33, b = 26, c = 3, a+b+c = 59], [a = 33, b = 26, c = 13, a+b+c = 59], [a = 33, b = 26, c = 19, a+b+c = 59], [a = 33, b = 26, c = 23, a+b+c = 59], [a = 36, b = 23, c = 4, a+b+c = 59], [a = 36, b = 23, c = 6, a+b+c = 59], [a = 36, b = 23, c = 10, a+b+c = 59], [a = 36, b = 23, c = 12, a+b+c = 59], [a = 36, b = 23, c = 15, a+b+c = 59], [a = 36, b = 23, c = 16, a+b+c = 59], [a = 36, b = 23, c = 18, a+b+c = 59], [a = 36, b = 23, c = 19, a+b+c = 59], [a = 36, b = 23, c = 20, a+b+c = 59], [a = 36, b = 23, c = 22, a+b+c = 59], [a = 39, b = 20, c = 3, a+b+c = 59], [a = 39, b = 20, c = 13, a+b+c = 59], [a = 39, b = 20, c = 17, a+b+c = 59], [a = 39, b = 20, c = 19, a+b+c = 59], [a = 41, b = 18, c = 1, a+b+c = 59], [a = 41, b = 18, c = 2, a+b+c = 59], [a = 41, b = 18, c = 5, a+b+c = 59], [a = 41, b = 18, c = 10, a+b+c = 59], [a = 41, b = 18, c = 11, a+b+c = 59], [a = 41, b = 18, c = 13, a+b+c = 59], [a = 41, b = 18, c = 15, a+b+c = 59], [a = 41, b = 18, c = 16, a+b+c = 59], [a = 41, b = 18, c = 17, a+b+c = 59], [a = 44, b = 15, c = 2, a+b+c = 59], [a = 44, b = 15, c = 11, a+b+c = 59], [a = 44, b = 15, c = 13, a+b+c = 59], [a = 48, b = 11, c = 3, a+b+c = 59], [a = 48, b = 11, c = 4, a+b+c = 59], [a = 48, b = 11, c = 6, a+b+c = 59], [a = 48, b = 11, c = 8, a+b+c = 59], [a = 48, b = 11, c = 9, a+b+c = 59], [a = 48, b = 11, c = 10, a+b+c = 59], [a = 50, b = 9, c = 2, a+b+c = 59], [a = 50, b = 9, c = 5, a+b+c = 59], [a = 51, b = 8, c = 3, a+b+c = 59], [a = 51, b = 8, c = 5, a+b+c = 59], [a = 53, b = 6, c = 1, a+b+c = 59], [a = 53, b = 6, c = 2, a+b+c = 59], [a = 53, b = 6, c = 3, a+b+c = 59], [a = 53, b = 6, c = 4, a+b+c = 59], [a = 53, b = 6, c = 5, a+b+c = 59]

(8)

``

Download logProb3.mw

@asma khan 

Consider the "toy" example in the attached


 

restart;
with(LinearAlgebra):
M1:=RandomMatrix(3,3);
M2:=RandomMatrix(3,5);
M1M2:=<M1|M2>;

Matrix(3, 3, {(1, 1) = 27, (1, 2) = 99, (1, 3) = 92, (2, 1) = 8, (2, 2) = 29, (2, 3) = -31, (3, 1) = 69, (3, 2) = 44, (3, 3) = 67})

 

Matrix(3, 5, {(1, 1) = -38, (1, 2) = 33, (1, 3) = 57, (1, 4) = -76, (1, 5) = -32, (2, 1) = -18, (2, 2) = -98, (2, 3) = 27, (2, 4) = -72, (2, 5) = -74, (3, 1) = 87, (3, 2) = -77, (3, 3) = -93, (3, 4) = -2, (3, 5) = -4})

 

Matrix(%id = 18446744074378282758)

(1)

 


 

Download matComb.mw

@blackwidow 

  1. My original code was neatly indented 1-D input. For reasons I do not understand, you converted it to 2-D input. This is always a high risk activity. When using indented 1-D code, quite a lot of "whitespace" is involved, all of which is ignored. In 2-D input sometimes "whitespace" is just "whitespace", and therefore is ignored: sometimes "whitespace" is interpreted as a mathematical operation and is "executed". Thus converting indented 1-D input code to 2-D input is quite likely to generate all sorts of weird errors. I have left the attached in 2-D input but removed all of the (more-or-less) random "whitespace"-related errors
  2. I have modified the code so that the upper limit can be easily changed, just by adjusting the variable 'Nval' at the top of the worksheet. As I warned you in my original response, I wouldn't increase this variable too much. Exhaustive searches such as this can get very time-consuming very quickly: execution time probably increases as something like the cube of the upper limit
  3. I have added a couple of execution groups which output all combinations which fulfil the logical conditions, rather than one which provides the maximum sum. You should be aware that there are a *lot* of these - the 3-variable problem has ~2000 combinations. (The exact number varies depending on the upper limit which you set - 57, 59, 60 etc)
  4. I have also added a couple of groups which will list all combinations (other than permutations) which fulfil the logical conditions and produce the maximal sum

See the attached

NULL

restart

Nval := 60

60

(1)

primList := [seq(`if`(isprime(j), j, NULL), j = 1 .. Nval)]; powList := [seq(2^j, j = 0 .. 5)]; prodList := select(proc (i) options operator, arrow; i < Nval end proc, {seq(`~`[`*`](j, powList)[], `in`(j, primList))}); cond1 := proc (z) options operator, arrow; member(z, primList) end proc; cond2 := proc (z) options operator, arrow; member(z, powList) end proc; cond3 := proc (z) options operator, arrow; `or`(cond1(z), cond2(z)) end proc

[2, 3, 5, 7, 11, 13, 17, 19, 23, 29, 31, 37, 41, 43, 47, 53, 59]

 

[1, 2, 4, 8, 16, 32]

 

{2, 3, 4, 5, 6, 7, 8, 10, 11, 12, 13, 14, 16, 17, 19, 20, 22, 23, 24, 26, 28, 29, 31, 32, 34, 37, 38, 40, 41, 43, 44, 46, 47, 48, 52, 53, 56, 58, 59}

(2)

sol1 := [a = 0, b = 0, a+b = 0]; for i to Nval do for j to Nval-i do if `and`(`or`(cond1(i-j), cond2(i-j)), `or`(cond3(i), cond3(j)), `or`(cond1(i), cond1(j))) then if i+j > rhs(sol1[3]) then sol1 := [a = i, b = j, a+b = i+j] end if end if end do end do; sol1

[a = 31, b = 29, a+b = 60]

(3)

sol2 := [a = 0, b = 0, c = 0, a+b+c = 0]; for i to Nval do for j to Nval-i do for k to Nval-j do if `and`(`or`(cond1(i-j), cond2(i-j)), `or`(cond1(j-k), cond2(j-k)), `or`(cond1(i), cond1(j), cond1(k)), `or`(cond3(i), cond3(j), cond3(k))) then if i+j+k > rhs(sol2[4]) then sol2 := [a = i, b = j, c = k, a+b+c = i+j] end if end if end do end do end do; sol2

[a = 56, b = 3, c = 2, a+b+c = 59]

(4)

sol3 := NULL; for i to Nval do for j to Nval-i do if `and`(`or`(cond1(i-j), cond2(i-j)), `or`(cond3(i), cond3(j)), `or`(cond1(i), cond1(j))) then sol3 := sol3, [a = i, b = j, a+b = i+j] end if end do end do; sol3; numelems([sol3])

[a = 2, b = 1, a+b = 3], [a = 3, b = 1, a+b = 4], [a = 3, b = 2, a+b = 5], [a = 4, b = 2, a+b = 6], [a = 4, b = 3, a+b = 7], [a = 5, b = 1, a+b = 6], [a = 5, b = 2, a+b = 7], [a = 5, b = 3, a+b = 8], [a = 5, b = 4, a+b = 9], [a = 6, b = 2, a+b = 8], [a = 6, b = 3, a+b = 9], [a = 6, b = 5, a+b = 11], [a = 7, b = 2, a+b = 9], [a = 7, b = 3, a+b = 10], [a = 7, b = 4, a+b = 11], [a = 7, b = 5, a+b = 12], [a = 7, b = 6, a+b = 13], [a = 8, b = 3, a+b = 11], [a = 8, b = 5, a+b = 13], [a = 8, b = 7, a+b = 15], [a = 9, b = 2, a+b = 11], [a = 9, b = 5, a+b = 14], [a = 9, b = 7, a+b = 16], [a = 10, b = 2, a+b = 12], [a = 10, b = 3, a+b = 13], [a = 10, b = 5, a+b = 15], [a = 10, b = 7, a+b = 17], [a = 11, b = 3, a+b = 14], [a = 11, b = 4, a+b = 15], [a = 11, b = 6, a+b = 17], [a = 11, b = 7, a+b = 18], [a = 11, b = 8, a+b = 19], [a = 11, b = 9, a+b = 20], [a = 11, b = 10, a+b = 21], [a = 12, b = 5, a+b = 17], [a = 12, b = 7, a+b = 19], [a = 12, b = 11, a+b = 23], [a = 13, b = 2, a+b = 15], [a = 13, b = 5, a+b = 18], [a = 13, b = 6, a+b = 19], [a = 13, b = 8, a+b = 21], [a = 13, b = 9, a+b = 22], [a = 13, b = 10, a+b = 23], [a = 13, b = 11, a+b = 24], [a = 13, b = 12, a+b = 25], [a = 14, b = 3, a+b = 17], [a = 14, b = 7, a+b = 21], [a = 14, b = 11, a+b = 25], [a = 14, b = 13, a+b = 27], [a = 15, b = 2, a+b = 17], [a = 15, b = 7, a+b = 22], [a = 15, b = 11, a+b = 26], [a = 15, b = 13, a+b = 28], [a = 16, b = 3, a+b = 19], [a = 16, b = 5, a+b = 21], [a = 16, b = 11, a+b = 27], [a = 16, b = 13, a+b = 29], [a = 17, b = 1, a+b = 18], [a = 17, b = 4, a+b = 21], [a = 17, b = 6, a+b = 23], [a = 17, b = 9, a+b = 26], [a = 17, b = 10, a+b = 27], [a = 17, b = 12, a+b = 29], [a = 17, b = 13, a+b = 30], [a = 17, b = 14, a+b = 31], [a = 17, b = 15, a+b = 32], [a = 17, b = 16, a+b = 33], [a = 18, b = 2, a+b = 20], [a = 18, b = 5, a+b = 23], [a = 18, b = 7, a+b = 25], [a = 18, b = 11, a+b = 29], [a = 18, b = 13, a+b = 31], [a = 18, b = 17, a+b = 35], [a = 19, b = 2, a+b = 21], [a = 19, b = 3, a+b = 22], [a = 19, b = 6, a+b = 25], [a = 19, b = 8, a+b = 27], [a = 19, b = 11, a+b = 30], [a = 19, b = 12, a+b = 31], [a = 19, b = 14, a+b = 33], [a = 19, b = 15, a+b = 34], [a = 19, b = 16, a+b = 35], [a = 19, b = 17, a+b = 36], [a = 19, b = 18, a+b = 37], [a = 20, b = 3, a+b = 23], [a = 20, b = 7, a+b = 27], [a = 20, b = 13, a+b = 33], [a = 20, b = 17, a+b = 37], [a = 20, b = 19, a+b = 39], [a = 21, b = 2, a+b = 23], [a = 21, b = 5, a+b = 26], [a = 21, b = 13, a+b = 34], [a = 21, b = 17, a+b = 38], [a = 21, b = 19, a+b = 40], [a = 22, b = 3, a+b = 25], [a = 22, b = 5, a+b = 27], [a = 22, b = 11, a+b = 33], [a = 22, b = 17, a+b = 39], [a = 22, b = 19, a+b = 41], [a = 23, b = 4, a+b = 27], [a = 23, b = 6, a+b = 29], [a = 23, b = 7, a+b = 30], [a = 23, b = 10, a+b = 33], [a = 23, b = 12, a+b = 35], [a = 23, b = 15, a+b = 38], [a = 23, b = 16, a+b = 39], [a = 23, b = 18, a+b = 41], [a = 23, b = 19, a+b = 42], [a = 23, b = 20, a+b = 43], [a = 23, b = 21, a+b = 44], [a = 23, b = 22, a+b = 45], [a = 24, b = 5, a+b = 29], [a = 24, b = 7, a+b = 31], [a = 24, b = 11, a+b = 35], [a = 24, b = 13, a+b = 37], [a = 24, b = 17, a+b = 41], [a = 24, b = 19, a+b = 43], [a = 24, b = 23, a+b = 47], [a = 25, b = 2, a+b = 27], [a = 25, b = 17, a+b = 42], [a = 25, b = 23, a+b = 48], [a = 26, b = 3, a+b = 29], [a = 26, b = 7, a+b = 33], [a = 26, b = 13, a+b = 39], [a = 26, b = 19, a+b = 45], [a = 26, b = 23, a+b = 49], [a = 27, b = 11, a+b = 38], [a = 27, b = 19, a+b = 46], [a = 27, b = 23, a+b = 50], [a = 28, b = 5, a+b = 33], [a = 28, b = 11, a+b = 39], [a = 28, b = 17, a+b = 45], [a = 28, b = 23, a+b = 51], [a = 29, b = 6, a+b = 35], [a = 29, b = 10, a+b = 39], [a = 29, b = 12, a+b = 41], [a = 29, b = 13, a+b = 42], [a = 29, b = 16, a+b = 45], [a = 29, b = 18, a+b = 47], [a = 29, b = 21, a+b = 50], [a = 29, b = 22, a+b = 51], [a = 29, b = 24, a+b = 53], [a = 29, b = 25, a+b = 54], [a = 29, b = 26, a+b = 55], [a = 29, b = 27, a+b = 56], [a = 29, b = 28, a+b = 57], [a = 30, b = 7, a+b = 37], [a = 30, b = 11, a+b = 41], [a = 30, b = 13, a+b = 43], [a = 30, b = 17, a+b = 47], [a = 30, b = 19, a+b = 49], [a = 30, b = 23, a+b = 53], [a = 30, b = 29, a+b = 59], [a = 31, b = 2, a+b = 33], [a = 31, b = 8, a+b = 39], [a = 31, b = 12, a+b = 43], [a = 31, b = 14, a+b = 45], [a = 31, b = 15, a+b = 46], [a = 31, b = 18, a+b = 49], [a = 31, b = 20, a+b = 51], [a = 31, b = 23, a+b = 54], [a = 31, b = 24, a+b = 55], [a = 31, b = 26, a+b = 57], [a = 31, b = 27, a+b = 58], [a = 31, b = 28, a+b = 59], [a = 31, b = 29, a+b = 60], [a = 32, b = 3, a+b = 35], [a = 32, b = 13, a+b = 45], [a = 32, b = 19, a+b = 51], [a = 33, b = 2, a+b = 35], [a = 33, b = 17, a+b = 50], [a = 34, b = 2, a+b = 36], [a = 34, b = 3, a+b = 37], [a = 34, b = 5, a+b = 39], [a = 34, b = 11, a+b = 45], [a = 34, b = 17, a+b = 51], [a = 34, b = 23, a+b = 57], [a = 35, b = 3, a+b = 38], [a = 35, b = 19, a+b = 54], [a = 36, b = 5, a+b = 41], [a = 36, b = 7, a+b = 43], [a = 36, b = 13, a+b = 49], [a = 36, b = 17, a+b = 53], [a = 36, b = 19, a+b = 55], [a = 36, b = 23, a+b = 59], [a = 37, b = 5, a+b = 42], [a = 37, b = 6, a+b = 43], [a = 37, b = 8, a+b = 45], [a = 37, b = 14, a+b = 51], [a = 37, b = 18, a+b = 55], [a = 37, b = 20, a+b = 57], [a = 37, b = 21, a+b = 58], [a = 38, b = 7, a+b = 45], [a = 38, b = 19, a+b = 57], [a = 39, b = 2, a+b = 41], [a = 39, b = 7, a+b = 46], [a = 40, b = 3, a+b = 43], [a = 40, b = 11, a+b = 51], [a = 40, b = 17, a+b = 57], [a = 41, b = 4, a+b = 45], [a = 41, b = 9, a+b = 50], [a = 41, b = 10, a+b = 51], [a = 41, b = 12, a+b = 53], [a = 41, b = 18, a+b = 59], [a = 42, b = 5, a+b = 47], [a = 42, b = 11, a+b = 53], [a = 42, b = 13, a+b = 55], [a = 43, b = 2, a+b = 45], [a = 43, b = 6, a+b = 49], [a = 43, b = 11, a+b = 54], [a = 43, b = 12, a+b = 55], [a = 43, b = 14, a+b = 57], [a = 44, b = 3, a+b = 47], [a = 44, b = 7, a+b = 51], [a = 44, b = 13, a+b = 57], [a = 45, b = 2, a+b = 47], [a = 45, b = 13, a+b = 58], [a = 46, b = 3, a+b = 49], [a = 46, b = 5, a+b = 51], [a = 47, b = 4, a+b = 51], [a = 47, b = 6, a+b = 53], [a = 47, b = 10, a+b = 57], [a = 48, b = 5, a+b = 53], [a = 48, b = 7, a+b = 55], [a = 48, b = 11, a+b = 59], [a = 49, b = 2, a+b = 51], [a = 50, b = 3, a+b = 53], [a = 50, b = 7, a+b = 57], [a = 52, b = 5, a+b = 57], [a = 53, b = 6, a+b = 59], [a = 55, b = 2, a+b = 57], [a = 56, b = 3, a+b = 59]

 

232

(5)

seq(`if`(rhs(j[3]) = rhs(sol1[3]), j, NULL), `in`(j, [sol3]))

[a = 31, b = 29, a+b = 60]

(6)

sol4 := NULL; for i to Nval do for j to Nval-i do for k to Nval-j do if `and`(`or`(cond1(i-j), cond2(i-j)), `or`(cond1(j-k), cond2(j-k)), `or`(cond1(i), cond1(j), cond1(k)), `or`(cond3(i), cond3(j), cond3(k))) then sol4 := sol4, [a = i, b = j, c = k, a+b+c = i+j] end if end do end do end do; sol4; numelems([sol4])

[a = 3, b = 2, c = 1, a+b+c = 5], [a = 4, b = 2, c = 1, a+b+c = 6], [a = 4, b = 3, c = 1, a+b+c = 7], [a = 4, b = 3, c = 2, a+b+c = 7], [a = 5, b = 2, c = 1, a+b+c = 7], [a = 5, b = 3, c = 1, a+b+c = 8], [a = 5, b = 3, c = 2, a+b+c = 8], [a = 5, b = 4, c = 1, a+b+c = 9], [a = 5, b = 4, c = 2, a+b+c = 9], [a = 5, b = 4, c = 3, a+b+c = 9], [a = 6, b = 2, c = 1, a+b+c = 8], [a = 6, b = 3, c = 1, a+b+c = 9], [a = 6, b = 3, c = 2, a+b+c = 9], [a = 6, b = 4, c = 2, a+b+c = 10], [a = 6, b = 4, c = 3, a+b+c = 10], [a = 6, b = 5, c = 1, a+b+c = 11], [a = 6, b = 5, c = 2, a+b+c = 11], [a = 6, b = 5, c = 3, a+b+c = 11], [a = 6, b = 5, c = 4, a+b+c = 11], [a = 7, b = 2, c = 1, a+b+c = 9], [a = 7, b = 3, c = 1, a+b+c = 10], [a = 7, b = 3, c = 2, a+b+c = 10], [a = 7, b = 4, c = 1, a+b+c = 11], [a = 7, b = 4, c = 2, a+b+c = 11], [a = 7, b = 4, c = 3, a+b+c = 11], [a = 7, b = 5, c = 1, a+b+c = 12], [a = 7, b = 5, c = 2, a+b+c = 12], [a = 7, b = 5, c = 3, a+b+c = 12], [a = 7, b = 5, c = 4, a+b+c = 12], [a = 7, b = 6, c = 1, a+b+c = 13], [a = 7, b = 6, c = 2, a+b+c = 13], [a = 7, b = 6, c = 3, a+b+c = 13], [a = 7, b = 6, c = 4, a+b+c = 13], [a = 7, b = 6, c = 5, a+b+c = 13], [a = 8, b = 3, c = 1, a+b+c = 11], [a = 8, b = 3, c = 2, a+b+c = 11], [a = 8, b = 4, c = 2, a+b+c = 12], [a = 8, b = 4, c = 3, a+b+c = 12], [a = 8, b = 5, c = 1, a+b+c = 13], [a = 8, b = 5, c = 2, a+b+c = 13], [a = 8, b = 5, c = 3, a+b+c = 13], [a = 8, b = 5, c = 4, a+b+c = 13], [a = 8, b = 6, c = 2, a+b+c = 14], [a = 8, b = 6, c = 3, a+b+c = 14], [a = 8, b = 6, c = 5, a+b+c = 14], [a = 8, b = 7, c = 2, a+b+c = 15], [a = 8, b = 7, c = 3, a+b+c = 15], [a = 8, b = 7, c = 4, a+b+c = 15], [a = 8, b = 7, c = 5, a+b+c = 15], [a = 8, b = 7, c = 6, a+b+c = 15], [a = 9, b = 2, c = 1, a+b+c = 11], [a = 9, b = 4, c = 2, a+b+c = 13], [a = 9, b = 4, c = 3, a+b+c = 13], [a = 9, b = 5, c = 1, a+b+c = 14], [a = 9, b = 5, c = 2, a+b+c = 14], [a = 9, b = 5, c = 3, a+b+c = 14], [a = 9, b = 5, c = 4, a+b+c = 14], [a = 9, b = 6, c = 2, a+b+c = 15], [a = 9, b = 6, c = 3, a+b+c = 15], [a = 9, b = 6, c = 5, a+b+c = 15], [a = 9, b = 7, c = 2, a+b+c = 16], [a = 9, b = 7, c = 3, a+b+c = 16], [a = 9, b = 7, c = 4, a+b+c = 16], [a = 9, b = 7, c = 5, a+b+c = 16], [a = 9, b = 7, c = 6, a+b+c = 16], [a = 9, b = 8, c = 3, a+b+c = 17], [a = 9, b = 8, c = 5, a+b+c = 17], [a = 9, b = 8, c = 7, a+b+c = 17], [a = 10, b = 2, c = 1, a+b+c = 12], [a = 10, b = 3, c = 1, a+b+c = 13], [a = 10, b = 3, c = 2, a+b+c = 13], [a = 10, b = 5, c = 1, a+b+c = 15], [a = 10, b = 5, c = 2, a+b+c = 15], [a = 10, b = 5, c = 3, a+b+c = 15], [a = 10, b = 5, c = 4, a+b+c = 15], [a = 10, b = 6, c = 2, a+b+c = 16], [a = 10, b = 6, c = 3, a+b+c = 16], [a = 10, b = 6, c = 5, a+b+c = 16], [a = 10, b = 7, c = 2, a+b+c = 17], [a = 10, b = 7, c = 3, a+b+c = 17], [a = 10, b = 7, c = 4, a+b+c = 17], [a = 10, b = 7, c = 5, a+b+c = 17], [a = 10, b = 7, c = 6, a+b+c = 17], [a = 10, b = 8, c = 3, a+b+c = 18], [a = 10, b = 8, c = 5, a+b+c = 18], [a = 10, b = 8, c = 7, a+b+c = 18], [a = 10, b = 9, c = 2, a+b+c = 19], [a = 10, b = 9, c = 5, a+b+c = 19], [a = 10, b = 9, c = 7, a+b+c = 19], [a = 11, b = 3, c = 1, a+b+c = 14], [a = 11, b = 3, c = 2, a+b+c = 14], [a = 11, b = 4, c = 1, a+b+c = 15], [a = 11, b = 4, c = 2, a+b+c = 15], [a = 11, b = 4, c = 3, a+b+c = 15], [a = 11, b = 6, c = 1, a+b+c = 17], [a = 11, b = 6, c = 2, a+b+c = 17], [a = 11, b = 6, c = 3, a+b+c = 17], [a = 11, b = 6, c = 4, a+b+c = 17], [a = 11, b = 6, c = 5, a+b+c = 17], [a = 11, b = 7, c = 2, a+b+c = 18], [a = 11, b = 7, c = 3, a+b+c = 18], [a = 11, b = 7, c = 4, a+b+c = 18], [a = 11, b = 7, c = 5, a+b+c = 18], [a = 11, b = 7, c = 6, a+b+c = 18], [a = 11, b = 8, c = 1, a+b+c = 19], [a = 11, b = 8, c = 3, a+b+c = 19], [a = 11, b = 8, c = 4, a+b+c = 19], [a = 11, b = 8, c = 5, a+b+c = 19], [a = 11, b = 8, c = 6, a+b+c = 19], [a = 11, b = 8, c = 7, a+b+c = 19], [a = 11, b = 9, c = 1, a+b+c = 20], [a = 11, b = 9, c = 2, a+b+c = 20], [a = 11, b = 9, c = 4, a+b+c = 20], [a = 11, b = 9, c = 5, a+b+c = 20], [a = 11, b = 9, c = 6, a+b+c = 20], [a = 11, b = 9, c = 7, a+b+c = 20], [a = 11, b = 9, c = 8, a+b+c = 20], [a = 11, b = 10, c = 2, a+b+c = 21], [a = 11, b = 10, c = 3, a+b+c = 21], [a = 11, b = 10, c = 5, a+b+c = 21], [a = 11, b = 10, c = 6, a+b+c = 21], [a = 11, b = 10, c = 7, a+b+c = 21], [a = 11, b = 10, c = 8, a+b+c = 21], [a = 11, b = 10, c = 9, a+b+c = 21], [a = 12, b = 4, c = 2, a+b+c = 16], [a = 12, b = 4, c = 3, a+b+c = 16], [a = 12, b = 5, c = 1, a+b+c = 17], [a = 12, b = 5, c = 2, a+b+c = 17], [a = 12, b = 5, c = 3, a+b+c = 17], [a = 12, b = 5, c = 4, a+b+c = 17], [a = 12, b = 7, c = 2, a+b+c = 19], [a = 12, b = 7, c = 3, a+b+c = 19], [a = 12, b = 7, c = 4, a+b+c = 19], [a = 12, b = 7, c = 5, a+b+c = 19], [a = 12, b = 7, c = 6, a+b+c = 19], [a = 12, b = 8, c = 3, a+b+c = 20], [a = 12, b = 8, c = 5, a+b+c = 20], [a = 12, b = 8, c = 7, a+b+c = 20], [a = 12, b = 9, c = 2, a+b+c = 21], [a = 12, b = 9, c = 5, a+b+c = 21], [a = 12, b = 9, c = 7, a+b+c = 21], [a = 12, b = 10, c = 2, a+b+c = 22], [a = 12, b = 10, c = 3, a+b+c = 22], [a = 12, b = 10, c = 5, a+b+c = 22], [a = 12, b = 10, c = 7, a+b+c = 22], [a = 12, b = 11, c = 3, a+b+c = 23], [a = 12, b = 11, c = 4, a+b+c = 23], [a = 12, b = 11, c = 6, a+b+c = 23], [a = 12, b = 11, c = 7, a+b+c = 23], [a = 12, b = 11, c = 8, a+b+c = 23], [a = 12, b = 11, c = 9, a+b+c = 23], [a = 12, b = 11, c = 10, a+b+c = 23], [a = 13, b = 2, c = 1, a+b+c = 15], [a = 13, b = 5, c = 1, a+b+c = 18], [a = 13, b = 5, c = 2, a+b+c = 18], [a = 13, b = 5, c = 3, a+b+c = 18], [a = 13, b = 5, c = 4, a+b+c = 18], [a = 13, b = 6, c = 1, a+b+c = 19], [a = 13, b = 6, c = 2, a+b+c = 19], [a = 13, b = 6, c = 3, a+b+c = 19], [a = 13, b = 6, c = 4, a+b+c = 19], [a = 13, b = 6, c = 5, a+b+c = 19], [a = 13, b = 8, c = 1, a+b+c = 21], [a = 13, b = 8, c = 3, a+b+c = 21], [a = 13, b = 8, c = 4, a+b+c = 21], [a = 13, b = 8, c = 5, a+b+c = 21], [a = 13, b = 8, c = 6, a+b+c = 21], [a = 13, b = 8, c = 7, a+b+c = 21], [a = 13, b = 9, c = 1, a+b+c = 22], [a = 13, b = 9, c = 2, a+b+c = 22], [a = 13, b = 9, c = 4, a+b+c = 22], [a = 13, b = 9, c = 5, a+b+c = 22], [a = 13, b = 9, c = 6, a+b+c = 22], [a = 13, b = 9, c = 7, a+b+c = 22], [a = 13, b = 9, c = 8, a+b+c = 22], [a = 13, b = 10, c = 2, a+b+c = 23], [a = 13, b = 10, c = 3, a+b+c = 23], [a = 13, b = 10, c = 5, a+b+c = 23], [a = 13, b = 10, c = 6, a+b+c = 23], [a = 13, b = 10, c = 7, a+b+c = 23], [a = 13, b = 10, c = 8, a+b+c = 23], [a = 13, b = 10, c = 9, a+b+c = 23], [a = 13, b = 11, c = 3, a+b+c = 24], [a = 13, b = 11, c = 4, a+b+c = 24], [a = 13, b = 11, c = 6, a+b+c = 24], [a = 13, b = 11, c = 7, a+b+c = 24], [a = 13, b = 11, c = 8, a+b+c = 24], [a = 13, b = 11, c = 9, a+b+c = 24], [a = 13, b = 11, c = 10, a+b+c = 24], [a = 13, b = 12, c = 1, a+b+c = 25], [a = 13, b = 12, c = 4, a+b+c = 25], [a = 13, b = 12, c = 5, a+b+c = 25], [a = 13, b = 12, c = 7, a+b+c = 25], [a = 13, b = 12, c = 8, a+b+c = 25], [a = 13, b = 12, c = 9, a+b+c = 25], [a = 13, b = 12, c = 10, a+b+c = 25], [a = 13, b = 12, c = 11, a+b+c = 25], [a = 14, b = 3, c = 1, a+b+c = 17], [a = 14, b = 3, c = 2, a+b+c = 17], [a = 14, b = 6, c = 2, a+b+c = 20], [a = 14, b = 6, c = 3, a+b+c = 20], [a = 14, b = 6, c = 5, a+b+c = 20], [a = 14, b = 7, c = 2, a+b+c = 21], [a = 14, b = 7, c = 3, a+b+c = 21], [a = 14, b = 7, c = 4, a+b+c = 21], [a = 14, b = 7, c = 5, a+b+c = 21], [a = 14, b = 7, c = 6, a+b+c = 21], [a = 14, b = 9, c = 2, a+b+c = 23], [a = 14, b = 9, c = 5, a+b+c = 23], [a = 14, b = 9, c = 7, a+b+c = 23], [a = 14, b = 10, c = 2, a+b+c = 24], [a = 14, b = 10, c = 3, a+b+c = 24], [a = 14, b = 10, c = 5, a+b+c = 24], [a = 14, b = 10, c = 7, a+b+c = 24], [a = 14, b = 11, c = 3, a+b+c = 25], [a = 14, b = 11, c = 4, a+b+c = 25], [a = 14, b = 11, c = 6, a+b+c = 25], [a = 14, b = 11, c = 7, a+b+c = 25], [a = 14, b = 11, c = 8, a+b+c = 25], [a = 14, b = 11, c = 9, a+b+c = 25], [a = 14, b = 11, c = 10, a+b+c = 25], [a = 14, b = 12, c = 5, a+b+c = 26], [a = 14, b = 12, c = 7, a+b+c = 26], [a = 14, b = 12, c = 11, a+b+c = 26], [a = 14, b = 13, c = 2, a+b+c = 27], [a = 14, b = 13, c = 5, a+b+c = 27], [a = 14, b = 13, c = 6, a+b+c = 27], [a = 14, b = 13, c = 8, a+b+c = 27], [a = 14, b = 13, c = 9, a+b+c = 27], [a = 14, b = 13, c = 10, a+b+c = 27], [a = 14, b = 13, c = 11, a+b+c = 27], [a = 14, b = 13, c = 12, a+b+c = 27], [a = 15, b = 2, c = 1, a+b+c = 17], [a = 15, b = 4, c = 2, a+b+c = 19], [a = 15, b = 4, c = 3, a+b+c = 19], [a = 15, b = 7, c = 2, a+b+c = 22], [a = 15, b = 7, c = 3, a+b+c = 22], [a = 15, b = 7, c = 4, a+b+c = 22], [a = 15, b = 7, c = 5, a+b+c = 22], [a = 15, b = 7, c = 6, a+b+c = 22], [a = 15, b = 8, c = 3, a+b+c = 23], [a = 15, b = 8, c = 5, a+b+c = 23], [a = 15, b = 8, c = 7, a+b+c = 23], [a = 15, b = 10, c = 2, a+b+c = 25], [a = 15, b = 10, c = 3, a+b+c = 25], [a = 15, b = 10, c = 5, a+b+c = 25], [a = 15, b = 10, c = 7, a+b+c = 25], [a = 15, b = 11, c = 3, a+b+c = 26], [a = 15, b = 11, c = 4, a+b+c = 26], [a = 15, b = 11, c = 6, a+b+c = 26], [a = 15, b = 11, c = 7, a+b+c = 26], [a = 15, b = 11, c = 8, a+b+c = 26], [a = 15, b = 11, c = 9, a+b+c = 26], [a = 15, b = 11, c = 10, a+b+c = 26], [a = 15, b = 12, c = 5, a+b+c = 27], [a = 15, b = 12, c = 7, a+b+c = 27], [a = 15, b = 12, c = 11, a+b+c = 27], [a = 15, b = 13, c = 2, a+b+c = 28], [a = 15, b = 13, c = 5, a+b+c = 28], [a = 15, b = 13, c = 6, a+b+c = 28], [a = 15, b = 13, c = 8, a+b+c = 28], [a = 15, b = 13, c = 9, a+b+c = 28], [a = 15, b = 13, c = 10, a+b+c = 28], [a = 15, b = 13, c = 11, a+b+c = 28], [a = 15, b = 13, c = 12, a+b+c = 28], [a = 15, b = 14, c = 3, a+b+c = 29], [a = 15, b = 14, c = 7, a+b+c = 29], [a = 15, b = 14, c = 11, a+b+c = 29], [a = 15, b = 14, c = 13, a+b+c = 29], [a = 16, b = 3, c = 1, a+b+c = 19], [a = 16, b = 3, c = 2, a+b+c = 19], [a = 16, b = 5, c = 1, a+b+c = 21], [a = 16, b = 5, c = 2, a+b+c = 21], [a = 16, b = 5, c = 3, a+b+c = 21], [a = 16, b = 5, c = 4, a+b+c = 21], [a = 16, b = 8, c = 3, a+b+c = 24], [a = 16, b = 8, c = 5, a+b+c = 24], [a = 16, b = 8, c = 7, a+b+c = 24], [a = 16, b = 9, c = 2, a+b+c = 25], [a = 16, b = 9, c = 5, a+b+c = 25], [a = 16, b = 9, c = 7, a+b+c = 25], [a = 16, b = 11, c = 3, a+b+c = 27], [a = 16, b = 11, c = 4, a+b+c = 27], [a = 16, b = 11, c = 6, a+b+c = 27], [a = 16, b = 11, c = 7, a+b+c = 27], [a = 16, b = 11, c = 8, a+b+c = 27], [a = 16, b = 11, c = 9, a+b+c = 27], [a = 16, b = 11, c = 10, a+b+c = 27], [a = 16, b = 12, c = 5, a+b+c = 28], [a = 16, b = 12, c = 7, a+b+c = 28], [a = 16, b = 12, c = 11, a+b+c = 28], [a = 16, b = 13, c = 2, a+b+c = 29], [a = 16, b = 13, c = 5, a+b+c = 29], [a = 16, b = 13, c = 6, a+b+c = 29], [a = 16, b = 13, c = 8, a+b+c = 29], [a = 16, b = 13, c = 9, a+b+c = 29], [a = 16, b = 13, c = 10, a+b+c = 29], [a = 16, b = 13, c = 11, a+b+c = 29], [a = 16, b = 13, c = 12, a+b+c = 29], [a = 16, b = 14, c = 3, a+b+c = 30], [a = 16, b = 14, c = 7, a+b+c = 30], [a = 16, b = 14, c = 11, a+b+c = 30], [a = 16, b = 14, c = 13, a+b+c = 30], [a = 16, b = 15, c = 2, a+b+c = 31], [a = 16, b = 15, c = 7, a+b+c = 31], [a = 16, b = 15, c = 11, a+b+c = 31], [a = 16, b = 15, c = 13, a+b+c = 31], [a = 17, b = 4, c = 1, a+b+c = 21], [a = 17, b = 4, c = 2, a+b+c = 21], [a = 17, b = 4, c = 3, a+b+c = 21], [a = 17, b = 6, c = 1, a+b+c = 23], [a = 17, b = 6, c = 2, a+b+c = 23], [a = 17, b = 6, c = 3, a+b+c = 23], [a = 17, b = 6, c = 4, a+b+c = 23], [a = 17, b = 6, c = 5, a+b+c = 23], [a = 17, b = 9, c = 1, a+b+c = 26], [a = 17, b = 9, c = 2, a+b+c = 26], [a = 17, b = 9, c = 4, a+b+c = 26], [a = 17, b = 9, c = 5, a+b+c = 26], [a = 17, b = 9, c = 6, a+b+c = 26], [a = 17, b = 9, c = 7, a+b+c = 26], [a = 17, b = 9, c = 8, a+b+c = 26], [a = 17, b = 10, c = 2, a+b+c = 27], [a = 17, b = 10, c = 3, a+b+c = 27], [a = 17, b = 10, c = 5, a+b+c = 27], [a = 17, b = 10, c = 6, a+b+c = 27], [a = 17, b = 10, c = 7, a+b+c = 27], [a = 17, b = 10, c = 8, a+b+c = 27], [a = 17, b = 10, c = 9, a+b+c = 27], [a = 17, b = 12, c = 1, a+b+c = 29], [a = 17, b = 12, c = 4, a+b+c = 29], [a = 17, b = 12, c = 5, a+b+c = 29], [a = 17, b = 12, c = 7, a+b+c = 29], [a = 17, b = 12, c = 8, a+b+c = 29], [a = 17, b = 12, c = 9, a+b+c = 29], [a = 17, b = 12, c = 10, a+b+c = 29], [a = 17, b = 12, c = 11, a+b+c = 29], [a = 17, b = 13, c = 2, a+b+c = 30], [a = 17, b = 13, c = 5, a+b+c = 30], [a = 17, b = 13, c = 6, a+b+c = 30], [a = 17, b = 13, c = 8, a+b+c = 30], [a = 17, b = 13, c = 9, a+b+c = 30], [a = 17, b = 13, c = 10, a+b+c = 30], [a = 17, b = 13, c = 11, a+b+c = 30], [a = 17, b = 13, c = 12, a+b+c = 30], [a = 17, b = 14, c = 1, a+b+c = 31], [a = 17, b = 14, c = 3, a+b+c = 31], [a = 17, b = 14, c = 6, a+b+c = 31], [a = 17, b = 14, c = 7, a+b+c = 31], [a = 17, b = 14, c = 9, a+b+c = 31], [a = 17, b = 14, c = 10, a+b+c = 31], [a = 17, b = 14, c = 11, a+b+c = 31], [a = 17, b = 14, c = 12, a+b+c = 31], [a = 17, b = 14, c = 13, a+b+c = 31], [a = 17, b = 15, c = 2, a+b+c = 32], [a = 17, b = 15, c = 4, a+b+c = 32], [a = 17, b = 15, c = 7, a+b+c = 32], [a = 17, b = 15, c = 8, a+b+c = 32], [a = 17, b = 15, c = 10, a+b+c = 32], [a = 17, b = 15, c = 11, a+b+c = 32], [a = 17, b = 15, c = 12, a+b+c = 32], [a = 17, b = 15, c = 13, a+b+c = 32], [a = 17, b = 15, c = 14, a+b+c = 32], [a = 17, b = 16, c = 3, a+b+c = 33], [a = 17, b = 16, c = 5, a+b+c = 33], [a = 17, b = 16, c = 8, a+b+c = 33], [a = 17, b = 16, c = 9, a+b+c = 33], [a = 17, b = 16, c = 11, a+b+c = 33], [a = 17, b = 16, c = 12, a+b+c = 33], [a = 17, b = 16, c = 13, a+b+c = 33], [a = 17, b = 16, c = 14, a+b+c = 33], [a = 17, b = 16, c = 15, a+b+c = 33], [a = 18, b = 2, c = 1, a+b+c = 20], [a = 18, b = 5, c = 1, a+b+c = 23], [a = 18, b = 5, c = 2, a+b+c = 23], [a = 18, b = 5, c = 3, a+b+c = 23], [a = 18, b = 5, c = 4, a+b+c = 23], [a = 18, b = 7, c = 2, a+b+c = 25], [a = 18, b = 7, c = 3, a+b+c = 25], [a = 18, b = 7, c = 4, a+b+c = 25], [a = 18, b = 7, c = 5, a+b+c = 25], [a = 18, b = 7, c = 6, a+b+c = 25], [a = 18, b = 10, c = 2, a+b+c = 28], [a = 18, b = 10, c = 3, a+b+c = 28], [a = 18, b = 10, c = 5, a+b+c = 28], [a = 18, b = 10, c = 7, a+b+c = 28], [a = 18, b = 11, c = 3, a+b+c = 29], [a = 18, b = 11, c = 4, a+b+c = 29], [a = 18, b = 11, c = 6, a+b+c = 29], [a = 18, b = 11, c = 7, a+b+c = 29], [a = 18, b = 11, c = 8, a+b+c = 29], [a = 18, b = 11, c = 9, a+b+c = 29], [a = 18, b = 11, c = 10, a+b+c = 29], [a = 18, b = 13, c = 2, a+b+c = 31], [a = 18, b = 13, c = 5, a+b+c = 31], [a = 18, b = 13, c = 6, a+b+c = 31], [a = 18, b = 13, c = 8, a+b+c = 31], [a = 18, b = 13, c = 9, a+b+c = 31], [a = 18, b = 13, c = 10, a+b+c = 31], [a = 18, b = 13, c = 11, a+b+c = 31], [a = 18, b = 13, c = 12, a+b+c = 31], [a = 18, b = 14, c = 3, a+b+c = 32], [a = 18, b = 14, c = 7, a+b+c = 32], [a = 18, b = 14, c = 11, a+b+c = 32], [a = 18, b = 14, c = 13, a+b+c = 32], [a = 18, b = 15, c = 2, a+b+c = 33], [a = 18, b = 15, c = 7, a+b+c = 33], [a = 18, b = 15, c = 11, a+b+c = 33], [a = 18, b = 15, c = 13, a+b+c = 33], [a = 18, b = 16, c = 3, a+b+c = 34], [a = 18, b = 16, c = 5, a+b+c = 34], [a = 18, b = 16, c = 11, a+b+c = 34], [a = 18, b = 16, c = 13, a+b+c = 34], [a = 18, b = 17, c = 1, a+b+c = 35], [a = 18, b = 17, c = 4, a+b+c = 35], [a = 18, b = 17, c = 6, a+b+c = 35], [a = 18, b = 17, c = 9, a+b+c = 35], [a = 18, b = 17, c = 10, a+b+c = 35], [a = 18, b = 17, c = 12, a+b+c = 35], [a = 18, b = 17, c = 13, a+b+c = 35], [a = 18, b = 17, c = 14, a+b+c = 35], [a = 18, b = 17, c = 15, a+b+c = 35], [a = 18, b = 17, c = 16, a+b+c = 35], [a = 19, b = 2, c = 1, a+b+c = 21], [a = 19, b = 3, c = 1, a+b+c = 22], [a = 19, b = 3, c = 2, a+b+c = 22], [a = 19, b = 6, c = 1, a+b+c = 25], [a = 19, b = 6, c = 2, a+b+c = 25], [a = 19, b = 6, c = 3, a+b+c = 25], [a = 19, b = 6, c = 4, a+b+c = 25], [a = 19, b = 6, c = 5, a+b+c = 25], [a = 19, b = 8, c = 1, a+b+c = 27], [a = 19, b = 8, c = 3, a+b+c = 27], [a = 19, b = 8, c = 4, a+b+c = 27], [a = 19, b = 8, c = 5, a+b+c = 27], [a = 19, b = 8, c = 6, a+b+c = 27], [a = 19, b = 8, c = 7, a+b+c = 27], [a = 19, b = 11, c = 3, a+b+c = 30], [a = 19, b = 11, c = 4, a+b+c = 30], [a = 19, b = 11, c = 6, a+b+c = 30], [a = 19, b = 11, c = 7, a+b+c = 30], [a = 19, b = 11, c = 8, a+b+c = 30], [a = 19, b = 11, c = 9, a+b+c = 30], [a = 19, b = 11, c = 10, a+b+c = 30], [a = 19, b = 12, c = 1, a+b+c = 31], [a = 19, b = 12, c = 4, a+b+c = 31], [a = 19, b = 12, c = 5, a+b+c = 31], [a = 19, b = 12, c = 7, a+b+c = 31], [a = 19, b = 12, c = 8, a+b+c = 31], [a = 19, b = 12, c = 9, a+b+c = 31], [a = 19, b = 12, c = 10, a+b+c = 31], [a = 19, b = 12, c = 11, a+b+c = 31], [a = 19, b = 14, c = 1, a+b+c = 33], [a = 19, b = 14, c = 3, a+b+c = 33], [a = 19, b = 14, c = 6, a+b+c = 33], [a = 19, b = 14, c = 7, a+b+c = 33], [a = 19, b = 14, c = 9, a+b+c = 33], [a = 19, b = 14, c = 10, a+b+c = 33], [a = 19, b = 14, c = 11, a+b+c = 33], [a = 19, b = 14, c = 12, a+b+c = 33], [a = 19, b = 14, c = 13, a+b+c = 33], [a = 19, b = 15, c = 2, a+b+c = 34], [a = 19, b = 15, c = 4, a+b+c = 34], [a = 19, b = 15, c = 7, a+b+c = 34], [a = 19, b = 15, c = 8, a+b+c = 34], [a = 19, b = 15, c = 10, a+b+c = 34], [a = 19, b = 15, c = 11, a+b+c = 34], [a = 19, b = 15, c = 12, a+b+c = 34], [a = 19, b = 15, c = 13, a+b+c = 34], [a = 19, b = 15, c = 14, a+b+c = 34], [a = 19, b = 16, c = 3, a+b+c = 35], [a = 19, b = 16, c = 5, a+b+c = 35], [a = 19, b = 16, c = 8, a+b+c = 35], [a = 19, b = 16, c = 9, a+b+c = 35], [a = 19, b = 16, c = 11, a+b+c = 35], [a = 19, b = 16, c = 12, a+b+c = 35], [a = 19, b = 16, c = 13, a+b+c = 35], [a = 19, b = 16, c = 14, a+b+c = 35], [a = 19, b = 16, c = 15, a+b+c = 35], [a = 19, b = 17, c = 1, a+b+c = 36], [a = 19, b = 17, c = 4, a+b+c = 36], [a = 19, b = 17, c = 6, a+b+c = 36], [a = 19, b = 17, c = 9, a+b+c = 36], [a = 19, b = 17, c = 10, a+b+c = 36], [a = 19, b = 17, c = 12, a+b+c = 36], [a = 19, b = 17, c = 13, a+b+c = 36], [a = 19, b = 17, c = 14, a+b+c = 36], [a = 19, b = 17, c = 15, a+b+c = 36], [a = 19, b = 17, c = 16, a+b+c = 36], [a = 19, b = 18, c = 1, a+b+c = 37], [a = 19, b = 18, c = 2, a+b+c = 37], [a = 19, b = 18, c = 5, a+b+c = 37], [a = 19, b = 18, c = 7, a+b+c = 37], [a = 19, b = 18, c = 10, a+b+c = 37], [a = 19, b = 18, c = 11, a+b+c = 37], [a = 19, b = 18, c = 13, a+b+c = 37], [a = 19, b = 18, c = 14, a+b+c = 37], [a = 19, b = 18, c = 15, a+b+c = 37], [a = 19, b = 18, c = 16, a+b+c = 37], [a = 19, b = 18, c = 17, a+b+c = 37], [a = 20, b = 3, c = 1, a+b+c = 23], [a = 20, b = 3, c = 2, a+b+c = 23], [a = 20, b = 4, c = 2, a+b+c = 24], [a = 20, b = 4, c = 3, a+b+c = 24], [a = 20, b = 7, c = 2, a+b+c = 27], [a = 20, b = 7, c = 3, a+b+c = 27], [a = 20, b = 7, c = 4, a+b+c = 27], [a = 20, b = 7, c = 5, a+b+c = 27], [a = 20, b = 7, c = 6, a+b+c = 27], [a = 20, b = 9, c = 2, a+b+c = 29], [a = 20, b = 9, c = 5, a+b+c = 29], [a = 20, b = 9, c = 7, a+b+c = 29], [a = 20, b = 12, c = 5, a+b+c = 32], [a = 20, b = 12, c = 7, a+b+c = 32], [a = 20, b = 12, c = 11, a+b+c = 32], [a = 20, b = 13, c = 2, a+b+c = 33], [a = 20, b = 13, c = 5, a+b+c = 33], [a = 20, b = 13, c = 6, a+b+c = 33], [a = 20, b = 13, c = 8, a+b+c = 33], [a = 20, b = 13, c = 9, a+b+c = 33], [a = 20, b = 13, c = 10, a+b+c = 33], [a = 20, b = 13, c = 11, a+b+c = 33], [a = 20, b = 13, c = 12, a+b+c = 33], [a = 20, b = 15, c = 2, a+b+c = 35], [a = 20, b = 15, c = 7, a+b+c = 35], [a = 20, b = 15, c = 11, a+b+c = 35], [a = 20, b = 15, c = 13, a+b+c = 35], [a = 20, b = 16, c = 3, a+b+c = 36], [a = 20, b = 16, c = 5, a+b+c = 36], [a = 20, b = 16, c = 11, a+b+c = 36], [a = 20, b = 16, c = 13, a+b+c = 36], [a = 20, b = 17, c = 1, a+b+c = 37], [a = 20, b = 17, c = 4, a+b+c = 37], [a = 20, b = 17, c = 6, a+b+c = 37], [a = 20, b = 17, c = 9, a+b+c = 37], [a = 20, b = 17, c = 10, a+b+c = 37], [a = 20, b = 17, c = 12, a+b+c = 37], [a = 20, b = 17, c = 13, a+b+c = 37], [a = 20, b = 17, c = 14, a+b+c = 37], [a = 20, b = 17, c = 15, a+b+c = 37], [a = 20, b = 17, c = 16, a+b+c = 37], [a = 20, b = 18, c = 2, a+b+c = 38], [a = 20, b = 18, c = 5, a+b+c = 38], [a = 20, b = 18, c = 7, a+b+c = 38], [a = 20, b = 18, c = 11, a+b+c = 38], [a = 20, b = 18, c = 13, a+b+c = 38], [a = 20, b = 18, c = 17, a+b+c = 38], [a = 20, b = 19, c = 2, a+b+c = 39], [a = 20, b = 19, c = 3, a+b+c = 39], [a = 20, b = 19, c = 6, a+b+c = 39], [a = 20, b = 19, c = 8, a+b+c = 39], [a = 20, b = 19, c = 11, a+b+c = 39], [a = 20, b = 19, c = 12, a+b+c = 39], [a = 20, b = 19, c = 14, a+b+c = 39], [a = 20, b = 19, c = 15, a+b+c = 39], [a = 20, b = 19, c = 16, a+b+c = 39], [a = 20, b = 19, c = 17, a+b+c = 39], [a = 20, b = 19, c = 18, a+b+c = 39], [a = 21, b = 2, c = 1, a+b+c = 23], [a = 21, b = 4, c = 2, a+b+c = 25], [a = 21, b = 4, c = 3, a+b+c = 25], [a = 21, b = 5, c = 1, a+b+c = 26], [a = 21, b = 5, c = 2, a+b+c = 26], [a = 21, b = 5, c = 3, a+b+c = 26], [a = 21, b = 5, c = 4, a+b+c = 26], [a = 21, b = 8, c = 3, a+b+c = 29], [a = 21, b = 8, c = 5, a+b+c = 29], [a = 21, b = 8, c = 7, a+b+c = 29], [a = 21, b = 10, c = 2, a+b+c = 31], [a = 21, b = 10, c = 3, a+b+c = 31], [a = 21, b = 10, c = 5, a+b+c = 31], [a = 21, b = 10, c = 7, a+b+c = 31], [a = 21, b = 13, c = 2, a+b+c = 34], [a = 21, b = 13, c = 5, a+b+c = 34], [a = 21, b = 13, c = 6, a+b+c = 34], [a = 21, b = 13, c = 8, a+b+c = 34], [a = 21, b = 13, c = 9, a+b+c = 34], [a = 21, b = 13, c = 10, a+b+c = 34], [a = 21, b = 13, c = 11, a+b+c = 34], [a = 21, b = 13, c = 12, a+b+c = 34], [a = 21, b = 14, c = 3, a+b+c = 35], [a = 21, b = 14, c = 7, a+b+c = 35], [a = 21, b = 14, c = 11, a+b+c = 35], [a = 21, b = 14, c = 13, a+b+c = 35], [a = 21, b = 16, c = 3, a+b+c = 37], [a = 21, b = 16, c = 5, a+b+c = 37], [a = 21, b = 16, c = 11, a+b+c = 37], [a = 21, b = 16, c = 13, a+b+c = 37], [a = 21, b = 17, c = 1, a+b+c = 38], [a = 21, b = 17, c = 4, a+b+c = 38], [a = 21, b = 17, c = 6, a+b+c = 38], [a = 21, b = 17, c = 9, a+b+c = 38], [a = 21, b = 17, c = 10, a+b+c = 38], [a = 21, b = 17, c = 12, a+b+c = 38], [a = 21, b = 17, c = 13, a+b+c = 38], [a = 21, b = 17, c = 14, a+b+c = 38], [a = 21, b = 17, c = 15, a+b+c = 38], [a = 21, b = 17, c = 16, a+b+c = 38], [a = 21, b = 18, c = 2, a+b+c = 39], [a = 21, b = 18, c = 5, a+b+c = 39], [a = 21, b = 18, c = 7, a+b+c = 39], [a = 21, b = 18, c = 11, a+b+c = 39], [a = 21, b = 18, c = 13, a+b+c = 39], [a = 21, b = 18, c = 17, a+b+c = 39], [a = 21, b = 19, c = 2, a+b+c = 40], [a = 21, b = 19, c = 3, a+b+c = 40], [a = 21, b = 19, c = 6, a+b+c = 40], [a = 21, b = 19, c = 8, a+b+c = 40], [a = 21, b = 19, c = 11, a+b+c = 40], [a = 21, b = 19, c = 12, a+b+c = 40], [a = 21, b = 19, c = 14, a+b+c = 40], [a = 21, b = 19, c = 15, a+b+c = 40], [a = 21, b = 19, c = 16, a+b+c = 40], [a = 21, b = 19, c = 17, a+b+c = 40], [a = 21, b = 19, c = 18, a+b+c = 40], [a = 21, b = 20, c = 3, a+b+c = 41], [a = 21, b = 20, c = 7, a+b+c = 41], [a = 21, b = 20, c = 13, a+b+c = 41], [a = 21, b = 20, c = 17, a+b+c = 41], [a = 21, b = 20, c = 19, a+b+c = 41], [a = 22, b = 3, c = 1, a+b+c = 25], [a = 22, b = 3, c = 2, a+b+c = 25], [a = 22, b = 5, c = 1, a+b+c = 27], [a = 22, b = 5, c = 2, a+b+c = 27], [a = 22, b = 5, c = 3, a+b+c = 27], [a = 22, b = 5, c = 4, a+b+c = 27], [a = 22, b = 6, c = 2, a+b+c = 28], [a = 22, b = 6, c = 3, a+b+c = 28], [a = 22, b = 6, c = 5, a+b+c = 28], [a = 22, b = 9, c = 2, a+b+c = 31], [a = 22, b = 9, c = 5, a+b+c = 31], [a = 22, b = 9, c = 7, a+b+c = 31], [a = 22, b = 11, c = 3, a+b+c = 33], [a = 22, b = 11, c = 4, a+b+c = 33], [a = 22, b = 11, c = 6, a+b+c = 33], [a = 22, b = 11, c = 7, a+b+c = 33], [a = 22, b = 11, c = 8, a+b+c = 33], [a = 22, b = 11, c = 9, a+b+c = 33], [a = 22, b = 11, c = 10, a+b+c = 33], [a = 22, b = 14, c = 3, a+b+c = 36], [a = 22, b = 14, c = 7, a+b+c = 36], [a = 22, b = 14, c = 11, a+b+c = 36], [a = 22, b = 14, c = 13, a+b+c = 36], [a = 22, b = 15, c = 2, a+b+c = 37], [a = 22, b = 15, c = 7, a+b+c = 37], [a = 22, b = 15, c = 11, a+b+c = 37], [a = 22, b = 15, c = 13, a+b+c = 37], [a = 22, b = 17, c = 1, a+b+c = 39], [a = 22, b = 17, c = 4, a+b+c = 39], [a = 22, b = 17, c = 6, a+b+c = 39], [a = 22, b = 17, c = 9, a+b+c = 39], [a = 22, b = 17, c = 10, a+b+c = 39], [a = 22, b = 17, c = 12, a+b+c = 39], [a = 22, b = 17, c = 13, a+b+c = 39], [a = 22, b = 17, c = 14, a+b+c = 39], [a = 22, b = 17, c = 15, a+b+c = 39], [a = 22, b = 17, c = 16, a+b+c = 39], [a = 22, b = 18, c = 2, a+b+c = 40], [a = 22, b = 18, c = 5, a+b+c = 40], [a = 22, b = 18, c = 7, a+b+c = 40], [a = 22, b = 18, c = 11, a+b+c = 40], [a = 22, b = 18, c = 13, a+b+c = 40], [a = 22, b = 18, c = 17, a+b+c = 40], [a = 22, b = 19, c = 2, a+b+c = 41], [a = 22, b = 19, c = 3, a+b+c = 41], [a = 22, b = 19, c = 6, a+b+c = 41], [a = 22, b = 19, c = 8, a+b+c = 41], [a = 22, b = 19, c = 11, a+b+c = 41], [a = 22, b = 19, c = 12, a+b+c = 41], [a = 22, b = 19, c = 14, a+b+c = 41], [a = 22, b = 19, c = 15, a+b+c = 41], [a = 22, b = 19, c = 16, a+b+c = 41], [a = 22, b = 19, c = 17, a+b+c = 41], [a = 22, b = 19, c = 18, a+b+c = 41], [a = 22, b = 20, c = 3, a+b+c = 42], [a = 22, b = 20, c = 7, a+b+c = 42], [a = 22, b = 20, c = 13, a+b+c = 42], [a = 22, b = 20, c = 17, a+b+c = 42], [a = 22, b = 20, c = 19, a+b+c = 42], [a = 22, b = 21, c = 2, a+b+c = 43], [a = 22, b = 21, c = 5, a+b+c = 43], [a = 22, b = 21, c = 13, a+b+c = 43], [a = 22, b = 21, c = 17, a+b+c = 43], [a = 22, b = 21, c = 19, a+b+c = 43], [a = 23, b = 4, c = 1, a+b+c = 27], [a = 23, b = 4, c = 2, a+b+c = 27], [a = 23, b = 4, c = 3, a+b+c = 27], [a = 23, b = 6, c = 1, a+b+c = 29], [a = 23, b = 6, c = 2, a+b+c = 29], [a = 23, b = 6, c = 3, a+b+c = 29], [a = 23, b = 6, c = 4, a+b+c = 29], [a = 23, b = 6, c = 5, a+b+c = 29], [a = 23, b = 7, c = 2, a+b+c = 30], [a = 23, b = 7, c = 3, a+b+c = 30], [a = 23, b = 7, c = 4, a+b+c = 30], [a = 23, b = 7, c = 5, a+b+c = 30], [a = 23, b = 7, c = 6, a+b+c = 30], [a = 23, b = 10, c = 2, a+b+c = 33], [a = 23, b = 10, c = 3, a+b+c = 33], [a = 23, b = 10, c = 5, a+b+c = 33], [a = 23, b = 10, c = 6, a+b+c = 33], [a = 23, b = 10, c = 7, a+b+c = 33], [a = 23, b = 10, c = 8, a+b+c = 33], [a = 23, b = 10, c = 9, a+b+c = 33], [a = 23, b = 12, c = 1, a+b+c = 35], [a = 23, b = 12, c = 4, a+b+c = 35], [a = 23, b = 12, c = 5, a+b+c = 35], [a = 23, b = 12, c = 7, a+b+c = 35], [a = 23, b = 12, c = 8, a+b+c = 35], [a = 23, b = 12, c = 9, a+b+c = 35], [a = 23, b = 12, c = 10, a+b+c = 35], [a = 23, b = 12, c = 11, a+b+c = 35], [a = 23, b = 15, c = 2, a+b+c = 38], [a = 23, b = 15, c = 4, a+b+c = 38], [a = 23, b = 15, c = 7, a+b+c = 38], [a = 23, b = 15, c = 8, a+b+c = 38], [a = 23, b = 15, c = 10, a+b+c = 38], [a = 23, b = 15, c = 11, a+b+c = 38], [a = 23, b = 15, c = 12, a+b+c = 38], [a = 23, b = 15, c = 13, a+b+c = 38], [a = 23, b = 15, c = 14, a+b+c = 38], [a = 23, b = 16, c = 3, a+b+c = 39], [a = 23, b = 16, c = 5, a+b+c = 39], [a = 23, b = 16, c = 8, a+b+c = 39], [a = 23, b = 16, c = 9, a+b+c = 39], [a = 23, b = 16, c = 11, a+b+c = 39], [a = 23, b = 16, c = 12, a+b+c = 39], [a = 23, b = 16, c = 13, a+b+c = 39], [a = 23, b = 16, c = 14, a+b+c = 39], [a = 23, b = 16, c = 15, a+b+c = 39], [a = 23, b = 18, c = 1, a+b+c = 41], [a = 23, b = 18, c = 2, a+b+c = 41], [a = 23, b = 18, c = 5, a+b+c = 41], [a = 23, b = 18, c = 7, a+b+c = 41], [a = 23, b = 18, c = 10, a+b+c = 41], [a = 23, b = 18, c = 11, a+b+c = 41], [a = 23, b = 18, c = 13, a+b+c = 41], [a = 23, b = 18, c = 14, a+b+c = 41], [a = 23, b = 18, c = 15, a+b+c = 41], [a = 23, b = 18, c = 16, a+b+c = 41], [a = 23, b = 18, c = 17, a+b+c = 41], [a = 23, b = 19, c = 2, a+b+c = 42], [a = 23, b = 19, c = 3, a+b+c = 42], [a = 23, b = 19, c = 6, a+b+c = 42], [a = 23, b = 19, c = 8, a+b+c = 42], [a = 23, b = 19, c = 11, a+b+c = 42], [a = 23, b = 19, c = 12, a+b+c = 42], [a = 23, b = 19, c = 14, a+b+c = 42], [a = 23, b = 19, c = 15, a+b+c = 42], [a = 23, b = 19, c = 16, a+b+c = 42], [a = 23, b = 19, c = 17, a+b+c = 42], [a = 23, b = 19, c = 18, a+b+c = 42], [a = 23, b = 20, c = 1, a+b+c = 43], [a = 23, b = 20, c = 3, a+b+c = 43], [a = 23, b = 20, c = 4, a+b+c = 43], [a = 23, b = 20, c = 7, a+b+c = 43], [a = 23, b = 20, c = 9, a+b+c = 43], [a = 23, b = 20, c = 12, a+b+c = 43], [a = 23, b = 20, c = 13, a+b+c = 43], [a = 23, b = 20, c = 15, a+b+c = 43], [a = 23, b = 20, c = 16, a+b+c = 43], [a = 23, b = 20, c = 17, a+b+c = 43], [a = 23, b = 20, c = 18, a+b+c = 43], [a = 23, b = 20, c = 19, a+b+c = 43], [a = 23, b = 21, c = 2, a+b+c = 44], [a = 23, b = 21, c = 4, a+b+c = 44], [a = 23, b = 21, c = 5, a+b+c = 44], [a = 23, b = 21, c = 8, a+b+c = 44], [a = 23, b = 21, c = 10, a+b+c = 44], [a = 23, b = 21, c = 13, a+b+c = 44], [a = 23, b = 21, c = 14, a+b+c = 44], [a = 23, b = 21, c = 16, a+b+c = 44], [a = 23, b = 21, c = 17, a+b+c = 44], [a = 23, b = 21, c = 18, a+b+c = 44], [a = 23, b = 21, c = 19, a+b+c = 44], [a = 23, b = 21, c = 20, a+b+c = 44], [a = 23, b = 22, c = 3, a+b+c = 45], [a = 23, b = 22, c = 5, a+b+c = 45], [a = 23, b = 22, c = 6, a+b+c = 45], [a = 23, b = 22, c = 9, a+b+c = 45], [a = 23, b = 22, c = 11, a+b+c = 45], [a = 23, b = 22, c = 14, a+b+c = 45], [a = 23, b = 22, c = 15, a+b+c = 45], [a = 23, b = 22, c = 17, a+b+c = 45], [a = 23, b = 22, c = 18, a+b+c = 45], [a = 23, b = 22, c = 19, a+b+c = 45], [a = 23, b = 22, c = 20, a+b+c = 45], [a = 23, b = 22, c = 21, a+b+c = 45], [a = 24, b = 5, c = 1, a+b+c = 29], [a = 24, b = 5, c = 2, a+b+c = 29], [a = 24, b = 5, c = 3, a+b+c = 29], [a = 24, b = 5, c = 4, a+b+c = 29], [a = 24, b = 7, c = 2, a+b+c = 31], [a = 24, b = 7, c = 3, a+b+c = 31], [a = 24, b = 7, c = 4, a+b+c = 31], [a = 24, b = 7, c = 5, a+b+c = 31], [a = 24, b = 7, c = 6, a+b+c = 31], [a = 24, b = 8, c = 3, a+b+c = 32], [a = 24, b = 8, c = 5, a+b+c = 32], [a = 24, b = 8, c = 7, a+b+c = 32], [a = 24, b = 11, c = 3, a+b+c = 35], [a = 24, b = 11, c = 4, a+b+c = 35], [a = 24, b = 11, c = 6, a+b+c = 35], [a = 24, b = 11, c = 7, a+b+c = 35], [a = 24, b = 11, c = 8, a+b+c = 35], [a = 24, b = 11, c = 9, a+b+c = 35], [a = 24, b = 11, c = 10, a+b+c = 35], [a = 24, b = 13, c = 2, a+b+c = 37], [a = 24, b = 13, c = 5, a+b+c = 37], [a = 24, b = 13, c = 6, a+b+c = 37], [a = 24, b = 13, c = 8, a+b+c = 37], [a = 24, b = 13, c = 9, a+b+c = 37], [a = 24, b = 13, c = 10, a+b+c = 37], [a = 24, b = 13, c = 11, a+b+c = 37], [a = 24, b = 13, c = 12, a+b+c = 37], [a = 24, b = 16, c = 3, a+b+c = 40], [a = 24, b = 16, c = 5, a+b+c = 40], [a = 24, b = 16, c = 11, a+b+c = 40], [a = 24, b = 16, c = 13, a+b+c = 40], [a = 24, b = 17, c = 1, a+b+c = 41], [a = 24, b = 17, c = 4, a+b+c = 41], [a = 24, b = 17, c = 6, a+b+c = 41], [a = 24, b = 17, c = 9, a+b+c = 41], [a = 24, b = 17, c = 10, a+b+c = 41], [a = 24, b = 17, c = 12, a+b+c = 41], [a = 24, b = 17, c = 13, a+b+c = 41], [a = 24, b = 17, c = 14, a+b+c = 41], [a = 24, b = 17, c = 15, a+b+c = 41], [a = 24, b = 17, c = 16, a+b+c = 41], [a = 24, b = 19, c = 2, a+b+c = 43], [a = 24, b = 19, c = 3, a+b+c = 43], [a = 24, b = 19, c = 6, a+b+c = 43], [a = 24, b = 19, c = 8, a+b+c = 43], [a = 24, b = 19, c = 11, a+b+c = 43], [a = 24, b = 19, c = 12, a+b+c = 43], [a = 24, b = 19, c = 14, a+b+c = 43], [a = 24, b = 19, c = 15, a+b+c = 43], [a = 24, b = 19, c = 16, a+b+c = 43], [a = 24, b = 19, c = 17, a+b+c = 43], [a = 24, b = 19, c = 18, a+b+c = 43], [a = 24, b = 20, c = 3, a+b+c = 44], [a = 24, b = 20, c = 7, a+b+c = 44], [a = 24, b = 20, c = 13, a+b+c = 44], [a = 24, b = 20, c = 17, a+b+c = 44], [a = 24, b = 20, c = 19, a+b+c = 44], [a = 24, b = 21, c = 2, a+b+c = 45], [a = 24, b = 21, c = 5, a+b+c = 45], [a = 24, b = 21, c = 13, a+b+c = 45], [a = 24, b = 21, c = 17, a+b+c = 45], [a = 24, b = 21, c = 19, a+b+c = 45], [a = 24, b = 22, c = 3, a+b+c = 46], [a = 24, b = 22, c = 5, a+b+c = 46], [a = 24, b = 22, c = 11, a+b+c = 46], [a = 24, b = 22, c = 17, a+b+c = 46], [a = 24, b = 22, c = 19, a+b+c = 46], [a = 24, b = 23, c = 4, a+b+c = 47], [a = 24, b = 23, c = 6, a+b+c = 47], [a = 24, b = 23, c = 7, a+b+c = 47], [a = 24, b = 23, c = 10, a+b+c = 47], [a = 24, b = 23, c = 12, a+b+c = 47], [a = 24, b = 23, c = 15, a+b+c = 47], [a = 24, b = 23, c = 16, a+b+c = 47], [a = 24, b = 23, c = 18, a+b+c = 47], [a = 24, b = 23, c = 19, a+b+c = 47], [a = 24, b = 23, c = 20, a+b+c = 47], [a = 24, b = 23, c = 21, a+b+c = 47], [a = 24, b = 23, c = 22, a+b+c = 47], [a = 25, b = 2, c = 1, a+b+c = 27], [a = 25, b = 6, c = 2, a+b+c = 31], [a = 25, b = 6, c = 3, a+b+c = 31], [a = 25, b = 6, c = 5, a+b+c = 31], [a = 25, b = 8, c = 3, a+b+c = 33], [a = 25, b = 8, c = 5, a+b+c = 33], [a = 25, b = 8, c = 7, a+b+c = 33], [a = 25, b = 9, c = 2, a+b+c = 34], [a = 25, b = 9, c = 5, a+b+c = 34], [a = 25, b = 9, c = 7, a+b+c = 34], [a = 25, b = 12, c = 5, a+b+c = 37], [a = 25, b = 12, c = 7, a+b+c = 37], [a = 25, b = 12, c = 11, a+b+c = 37], [a = 25, b = 14, c = 3, a+b+c = 39], [a = 25, b = 14, c = 7, a+b+c = 39], [a = 25, b = 14, c = 11, a+b+c = 39], [a = 25, b = 14, c = 13, a+b+c = 39], [a = 25, b = 17, c = 1, a+b+c = 42], [a = 25, b = 17, c = 4, a+b+c = 42], [a = 25, b = 17, c = 6, a+b+c = 42], [a = 25, b = 17, c = 9, a+b+c = 42], [a = 25, b = 17, c = 10, a+b+c = 42], [a = 25, b = 17, c = 12, a+b+c = 42], [a = 25, b = 17, c = 13, a+b+c = 42], [a = 25, b = 17, c = 14, a+b+c = 42], [a = 25, b = 17, c = 15, a+b+c = 42], [a = 25, b = 17, c = 16, a+b+c = 42], [a = 25, b = 18, c = 2, a+b+c = 43], [a = 25, b = 18, c = 5, a+b+c = 43], [a = 25, b = 18, c = 7, a+b+c = 43], [a = 25, b = 18, c = 11, a+b+c = 43], [a = 25, b = 18, c = 13, a+b+c = 43], [a = 25, b = 18, c = 17, a+b+c = 43], [a = 25, b = 20, c = 3, a+b+c = 45], [a = 25, b = 20, c = 7, a+b+c = 45], [a = 25, b = 20, c = 13, a+b+c = 45], [a = 25, b = 20, c = 17, a+b+c = 45], [a = 25, b = 20, c = 19, a+b+c = 45], [a = 25, b = 21, c = 2, a+b+c = 46], [a = 25, b = 21, c = 5, a+b+c = 46], [a = 25, b = 21, c = 13, a+b+c = 46], [a = 25, b = 21, c = 17, a+b+c = 46], [a = 25, b = 21, c = 19, a+b+c = 46], [a = 25, b = 22, c = 3, a+b+c = 47], [a = 25, b = 22, c = 5, a+b+c = 47], [a = 25, b = 22, c = 11, a+b+c = 47], [a = 25, b = 22, c = 17, a+b+c = 47], [a = 25, b = 22, c = 19, a+b+c = 47], [a = 25, b = 23, c = 4, a+b+c = 48], [a = 25, b = 23, c = 6, a+b+c = 48], [a = 25, b = 23, c = 7, a+b+c = 48], [a = 25, b = 23, c = 10, a+b+c = 48], [a = 25, b = 23, c = 12, a+b+c = 48], [a = 25, b = 23, c = 15, a+b+c = 48], [a = 25, b = 23, c = 16, a+b+c = 48], [a = 25, b = 23, c = 18, a+b+c = 48], [a = 25, b = 23, c = 19, a+b+c = 48], [a = 25, b = 23, c = 20, a+b+c = 48], [a = 25, b = 23, c = 21, a+b+c = 48], [a = 25, b = 23, c = 22, a+b+c = 48], [a = 25, b = 24, c = 5, a+b+c = 49], [a = 25, b = 24, c = 7, a+b+c = 49], [a = 25, b = 24, c = 11, a+b+c = 49], [a = 25, b = 24, c = 13, a+b+c = 49], [a = 25, b = 24, c = 17, a+b+c = 49], [a = 25, b = 24, c = 19, a+b+c = 49], [a = 25, b = 24, c = 23, a+b+c = 49], [a = 26, b = 3, c = 1, a+b+c = 29], [a = 26, b = 3, c = 2, a+b+c = 29], [a = 26, b = 7, c = 2, a+b+c = 33], [a = 26, b = 7, c = 3, a+b+c = 33], [a = 26, b = 7, c = 4, a+b+c = 33], [a = 26, b = 7, c = 5, a+b+c = 33], [a = 26, b = 7, c = 6, a+b+c = 33], [a = 26, b = 9, c = 2, a+b+c = 35], [a = 26, b = 9, c = 5, a+b+c = 35], [a = 26, b = 9, c = 7, a+b+c = 35], [a = 26, b = 10, c = 2, a+b+c = 36], [a = 26, b = 10, c = 3, a+b+c = 36], [a = 26, b = 10, c = 5, a+b+c = 36], [a = 26, b = 10, c = 7, a+b+c = 36], [a = 26, b = 13, c = 2, a+b+c = 39], [a = 26, b = 13, c = 5, a+b+c = 39], [a = 26, b = 13, c = 6, a+b+c = 39], [a = 26, b = 13, c = 8, a+b+c = 39], [a = 26, b = 13, c = 9, a+b+c = 39], [a = 26, b = 13, c = 10, a+b+c = 39], [a = 26, b = 13, c = 11, a+b+c = 39], [a = 26, b = 13, c = 12, a+b+c = 39], [a = 26, b = 15, c = 2, a+b+c = 41], [a = 26, b = 15, c = 7, a+b+c = 41], [a = 26, b = 15, c = 11, a+b+c = 41], [a = 26, b = 15, c = 13, a+b+c = 41], [a = 26, b = 18, c = 2, a+b+c = 44], [a = 26, b = 18, c = 5, a+b+c = 44], [a = 26, b = 18, c = 7, a+b+c = 44], [a = 26, b = 18, c = 11, a+b+c = 44], [a = 26, b = 18, c = 13, a+b+c = 44], [a = 26, b = 18, c = 17, a+b+c = 44], [a = 26, b = 19, c = 2, a+b+c = 45], [a = 26, b = 19, c = 3, a+b+c = 45], [a = 26, b = 19, c = 6, a+b+c = 45], [a = 26, b = 19, c = 8, a+b+c = 45], [a = 26, b = 19, c = 11, a+b+c = 45], [a = 26, b = 19, c = 12, a+b+c = 45], [a = 26, b = 19, c = 14, a+b+c = 45], [a = 26, b = 19, c = 15, a+b+c = 45], [a = 26, b = 19, c = 16, a+b+c = 45], [a = 26, b = 19, c = 17, a+b+c = 45], [a = 26, b = 19, c = 18, a+b+c = 45], [a = 26, b = 21, c = 2, a+b+c = 47], [a = 26, b = 21, c = 5, a+b+c = 47], [a = 26, b = 21, c = 13, a+b+c = 47], [a = 26, b = 21, c = 17, a+b+c = 47], [a = 26, b = 21, c = 19, a+b+c = 47], [a = 26, b = 22, c = 3, a+b+c = 48], [a = 26, b = 22, c = 5, a+b+c = 48], [a = 26, b = 22, c = 11, a+b+c = 48], [a = 26, b = 22, c = 17, a+b+c = 48], [a = 26, b = 22, c = 19, a+b+c = 48], [a = 26, b = 23, c = 4, a+b+c = 49], [a = 26, b = 23, c = 6, a+b+c = 49], [a = 26, b = 23, c = 7, a+b+c = 49], [a = 26, b = 23, c = 10, a+b+c = 49], [a = 26, b = 23, c = 12, a+b+c = 49], [a = 26, b = 23, c = 15, a+b+c = 49], [a = 26, b = 23, c = 16, a+b+c = 49], [a = 26, b = 23, c = 18, a+b+c = 49], [a = 26, b = 23, c = 19, a+b+c = 49], [a = 26, b = 23, c = 20, a+b+c = 49], [a = 26, b = 23, c = 21, a+b+c = 49], [a = 26, b = 23, c = 22, a+b+c = 49], [a = 26, b = 24, c = 5, a+b+c = 50], [a = 26, b = 24, c = 7, a+b+c = 50], [a = 26, b = 24, c = 11, a+b+c = 50], [a = 26, b = 24, c = 13, a+b+c = 50], [a = 26, b = 24, c = 17, a+b+c = 50], [a = 26, b = 24, c = 19, a+b+c = 50], [a = 26, b = 24, c = 23, a+b+c = 50], [a = 26, b = 25, c = 2, a+b+c = 51], [a = 26, b = 25, c = 17, a+b+c = 51], [a = 26, b = 25, c = 23, a+b+c = 51], [a = 27, b = 4, c = 2, a+b+c = 31], [a = 27, b = 4, c = 3, a+b+c = 31], [a = 27, b = 8, c = 3, a+b+c = 35], [a = 27, b = 8, c = 5, a+b+c = 35], [a = 27, b = 8, c = 7, a+b+c = 35], [a = 27, b = 10, c = 2, a+b+c = 37], [a = 27, b = 10, c = 3, a+b+c = 37], [a = 27, b = 10, c = 5, a+b+c = 37], [a = 27, b = 10, c = 7, a+b+c = 37], [a = 27, b = 11, c = 3, a+b+c = 38], [a = 27, b = 11, c = 4, a+b+c = 38], [a = 27, b = 11, c = 6, a+b+c = 38], [a = 27, b = 11, c = 7, a+b+c = 38], [a = 27, b = 11, c = 8, a+b+c = 38], [a = 27, b = 11, c = 9, a+b+c = 38], [a = 27, b = 11, c = 10, a+b+c = 38], [a = 27, b = 14, c = 3, a+b+c = 41], [a = 27, b = 14, c = 7, a+b+c = 41], [a = 27, b = 14, c = 11, a+b+c = 41], [a = 27, b = 14, c = 13, a+b+c = 41], [a = 27, b = 16, c = 3, a+b+c = 43], [a = 27, b = 16, c = 5, a+b+c = 43], [a = 27, b = 16, c = 11, a+b+c = 43], [a = 27, b = 16, c = 13, a+b+c = 43], [a = 27, b = 19, c = 2, a+b+c = 46], [a = 27, b = 19, c = 3, a+b+c = 46], [a = 27, b = 19, c = 6, a+b+c = 46], [a = 27, b = 19, c = 8, a+b+c = 46], [a = 27, b = 19, c = 11, a+b+c = 46], [a = 27, b = 19, c = 12, a+b+c = 46], [a = 27, b = 19, c = 14, a+b+c = 46], [a = 27, b = 19, c = 15, a+b+c = 46], [a = 27, b = 19, c = 16, a+b+c = 46], [a = 27, b = 19, c = 17, a+b+c = 46], [a = 27, b = 19, c = 18, a+b+c = 46], [a = 27, b = 20, c = 3, a+b+c = 47], [a = 27, b = 20, c = 7, a+b+c = 47], [a = 27, b = 20, c = 13, a+b+c = 47], [a = 27, b = 20, c = 17, a+b+c = 47], [a = 27, b = 20, c = 19, a+b+c = 47], [a = 27, b = 22, c = 3, a+b+c = 49], [a = 27, b = 22, c = 5, a+b+c = 49], [a = 27, b = 22, c = 11, a+b+c = 49], [a = 27, b = 22, c = 17, a+b+c = 49], [a = 27, b = 22, c = 19, a+b+c = 49], [a = 27, b = 23, c = 4, a+b+c = 50], [a = 27, b = 23, c = 6, a+b+c = 50], [a = 27, b = 23, c = 7, a+b+c = 50], [a = 27, b = 23, c = 10, a+b+c = 50], [a = 27, b = 23, c = 12, a+b+c = 50], [a = 27, b = 23, c = 15, a+b+c = 50], [a = 27, b = 23, c = 16, a+b+c = 50], [a = 27, b = 23, c = 18, a+b+c = 50], [a = 27, b = 23, c = 19, a+b+c = 50], [a = 27, b = 23, c = 20, a+b+c = 50], [a = 27, b = 23, c = 21, a+b+c = 50], [a = 27, b = 23, c = 22, a+b+c = 50], [a = 27, b = 24, c = 5, a+b+c = 51], [a = 27, b = 24, c = 7, a+b+c = 51], [a = 27, b = 24, c = 11, a+b+c = 51], [a = 27, b = 24, c = 13, a+b+c = 51], [a = 27, b = 24, c = 17, a+b+c = 51], [a = 27, b = 24, c = 19, a+b+c = 51], [a = 27, b = 24, c = 23, a+b+c = 51], [a = 27, b = 25, c = 2, a+b+c = 52], [a = 27, b = 25, c = 17, a+b+c = 52], [a = 27, b = 25, c = 23, a+b+c = 52], [a = 27, b = 26, c = 3, a+b+c = 53], [a = 27, b = 26, c = 7, a+b+c = 53], [a = 27, b = 26, c = 13, a+b+c = 53], [a = 27, b = 26, c = 19, a+b+c = 53], [a = 27, b = 26, c = 23, a+b+c = 53], [a = 28, b = 5, c = 1, a+b+c = 33], [a = 28, b = 5, c = 2, a+b+c = 33], [a = 28, b = 5, c = 3, a+b+c = 33], [a = 28, b = 5, c = 4, a+b+c = 33], [a = 28, b = 9, c = 2, a+b+c = 37], [a = 28, b = 9, c = 5, a+b+c = 37], [a = 28, b = 9, c = 7, a+b+c = 37], [a = 28, b = 11, c = 3, a+b+c = 39], [a = 28, b = 11, c = 4, a+b+c = 39], [a = 28, b = 11, c = 6, a+b+c = 39], [a = 28, b = 11, c = 7, a+b+c = 39], [a = 28, b = 11, c = 8, a+b+c = 39], [a = 28, b = 11, c = 9, a+b+c = 39], [a = 28, b = 11, c = 10, a+b+c = 39], [a = 28, b = 12, c = 5, a+b+c = 40], [a = 28, b = 12, c = 7, a+b+c = 40], [a = 28, b = 12, c = 11, a+b+c = 40], [a = 28, b = 15, c = 2, a+b+c = 43], [a = 28, b = 15, c = 7, a+b+c = 43], [a = 28, b = 15, c = 11, a+b+c = 43], [a = 28, b = 15, c = 13, a+b+c = 43], [a = 28, b = 17, c = 1, a+b+c = 45], [a = 28, b = 17, c = 4, a+b+c = 45], [a = 28, b = 17, c = 6, a+b+c = 45], [a = 28, b = 17, c = 9, a+b+c = 45], [a = 28, b = 17, c = 10, a+b+c = 45], [a = 28, b = 17, c = 12, a+b+c = 45], [a = 28, b = 17, c = 13, a+b+c = 45], [a = 28, b = 17, c = 14, a+b+c = 45], [a = 28, b = 17, c = 15, a+b+c = 45], [a = 28, b = 17, c = 16, a+b+c = 45], [a = 28, b = 20, c = 3, a+b+c = 48], [a = 28, b = 20, c = 7, a+b+c = 48], [a = 28, b = 20, c = 13, a+b+c = 48], [a = 28, b = 20, c = 17, a+b+c = 48], [a = 28, b = 20, c = 19, a+b+c = 48], [a = 28, b = 21, c = 2, a+b+c = 49], [a = 28, b = 21, c = 5, a+b+c = 49], [a = 28, b = 21, c = 13, a+b+c = 49], [a = 28, b = 21, c = 17, a+b+c = 49], [a = 28, b = 21, c = 19, a+b+c = 49], [a = 28, b = 23, c = 4, a+b+c = 51], [a = 28, b = 23, c = 6, a+b+c = 51], [a = 28, b = 23, c = 7, a+b+c = 51], [a = 28, b = 23, c = 10, a+b+c = 51], [a = 28, b = 23, c = 12, a+b+c = 51], [a = 28, b = 23, c = 15, a+b+c = 51], [a = 28, b = 23, c = 16, a+b+c = 51], [a = 28, b = 23, c = 18, a+b+c = 51], [a = 28, b = 23, c = 19, a+b+c = 51], [a = 28, b = 23, c = 20, a+b+c = 51], [a = 28, b = 23, c = 21, a+b+c = 51], [a = 28, b = 23, c = 22, a+b+c = 51], [a = 28, b = 24, c = 5, a+b+c = 52], [a = 28, b = 24, c = 7, a+b+c = 52], [a = 28, b = 24, c = 11, a+b+c = 52], [a = 28, b = 24, c = 13, a+b+c = 52], [a = 28, b = 24, c = 17, a+b+c = 52], [a = 28, b = 24, c = 19, a+b+c = 52], [a = 28, b = 24, c = 23, a+b+c = 52], [a = 28, b = 25, c = 2, a+b+c = 53], [a = 28, b = 25, c = 17, a+b+c = 53], [a = 28, b = 25, c = 23, a+b+c = 53], [a = 28, b = 26, c = 3, a+b+c = 54], [a = 28, b = 26, c = 7, a+b+c = 54], [a = 28, b = 26, c = 13, a+b+c = 54], [a = 28, b = 26, c = 19, a+b+c = 54], [a = 28, b = 26, c = 23, a+b+c = 54], [a = 28, b = 27, c = 11, a+b+c = 55], [a = 28, b = 27, c = 19, a+b+c = 55], [a = 28, b = 27, c = 23, a+b+c = 55], [a = 29, b = 6, c = 1, a+b+c = 35], [a = 29, b = 6, c = 2, a+b+c = 35], [a = 29, b = 6, c = 3, a+b+c = 35], [a = 29, b = 6, c = 4, a+b+c = 35], [a = 29, b = 6, c = 5, a+b+c = 35], [a = 29, b = 10, c = 2, a+b+c = 39], [a = 29, b = 10, c = 3, a+b+c = 39], [a = 29, b = 10, c = 5, a+b+c = 39], [a = 29, b = 10, c = 6, a+b+c = 39], [a = 29, b = 10, c = 7, a+b+c = 39], [a = 29, b = 10, c = 8, a+b+c = 39], [a = 29, b = 10, c = 9, a+b+c = 39], [a = 29, b = 12, c = 1, a+b+c = 41], [a = 29, b = 12, c = 4, a+b+c = 41], [a = 29, b = 12, c = 5, a+b+c = 41], [a = 29, b = 12, c = 7, a+b+c = 41], [a = 29, b = 12, c = 8, a+b+c = 41], [a = 29, b = 12, c = 9, a+b+c = 41], [a = 29, b = 12, c = 10, a+b+c = 41], [a = 29, b = 12, c = 11, a+b+c = 41], [a = 29, b = 13, c = 2, a+b+c = 42], [a = 29, b = 13, c = 5, a+b+c = 42], [a = 29, b = 13, c = 6, a+b+c = 42], [a = 29, b = 13, c = 8, a+b+c = 42], [a = 29, b = 13, c = 9, a+b+c = 42], [a = 29, b = 13, c = 10, a+b+c = 42], [a = 29, b = 13, c = 11, a+b+c = 42], [a = 29, b = 13, c = 12, a+b+c = 42], [a = 29, b = 16, c = 3, a+b+c = 45], [a = 29, b = 16, c = 5, a+b+c = 45], [a = 29, b = 16, c = 8, a+b+c = 45], [a = 29, b = 16, c = 9, a+b+c = 45], [a = 29, b = 16, c = 11, a+b+c = 45], [a = 29, b = 16, c = 12, a+b+c = 45], [a = 29, b = 16, c = 13, a+b+c = 45], [a = 29, b = 16, c = 14, a+b+c = 45], [a = 29, b = 16, c = 15, a+b+c = 45], [a = 29, b = 18, c = 1, a+b+c = 47], [a = 29, b = 18, c = 2, a+b+c = 47], [a = 29, b = 18, c = 5, a+b+c = 47], [a = 29, b = 18, c = 7, a+b+c = 47], [a = 29, b = 18, c = 10, a+b+c = 47], [a = 29, b = 18, c = 11, a+b+c = 47], [a = 29, b = 18, c = 13, a+b+c = 47], [a = 29, b = 18, c = 14, a+b+c = 47], [a = 29, b = 18, c = 15, a+b+c = 47], [a = 29, b = 18, c = 16, a+b+c = 47], [a = 29, b = 18, c = 17, a+b+c = 47], [a = 29, b = 21, c = 2, a+b+c = 50], [a = 29, b = 21, c = 4, a+b+c = 50], [a = 29, b = 21, c = 5, a+b+c = 50], [a = 29, b = 21, c = 8, a+b+c = 50], [a = 29, b = 21, c = 10, a+b+c = 50], [a = 29, b = 21, c = 13, a+b+c = 50], [a = 29, b = 21, c = 14, a+b+c = 50], [a = 29, b = 21, c = 16, a+b+c = 50], [a = 29, b = 21, c = 17, a+b+c = 50], [a = 29, b = 21, c = 18, a+b+c = 50], [a = 29, b = 21, c = 19, a+b+c = 50], [a = 29, b = 21, c = 20, a+b+c = 50], [a = 29, b = 22, c = 3, a+b+c = 51], [a = 29, b = 22, c = 5, a+b+c = 51], [a = 29, b = 22, c = 6, a+b+c = 51], [a = 29, b = 22, c = 9, a+b+c = 51], [a = 29, b = 22, c = 11, a+b+c = 51], [a = 29, b = 22, c = 14, a+b+c = 51], [a = 29, b = 22, c = 15, a+b+c = 51], [a = 29, b = 22, c = 17, a+b+c = 51], [a = 29, b = 22, c = 18, a+b+c = 51], [a = 29, b = 22, c = 19, a+b+c = 51], [a = 29, b = 22, c = 20, a+b+c = 51], [a = 29, b = 22, c = 21, a+b+c = 51], [a = 29, b = 24, c = 1, a+b+c = 53], [a = 29, b = 24, c = 5, a+b+c = 53], [a = 29, b = 24, c = 7, a+b+c = 53], [a = 29, b = 24, c = 8, a+b+c = 53], [a = 29, b = 24, c = 11, a+b+c = 53], [a = 29, b = 24, c = 13, a+b+c = 53], [a = 29, b = 24, c = 16, a+b+c = 53], [a = 29, b = 24, c = 17, a+b+c = 53], [a = 29, b = 24, c = 19, a+b+c = 53], [a = 29, b = 24, c = 20, a+b+c = 53], [a = 29, b = 24, c = 21, a+b+c = 53], [a = 29, b = 24, c = 22, a+b+c = 53], [a = 29, b = 24, c = 23, a+b+c = 53], [a = 29, b = 25, c = 2, a+b+c = 54], [a = 29, b = 25, c = 6, a+b+c = 54], [a = 29, b = 25, c = 8, a+b+c = 54], [a = 29, b = 25, c = 9, a+b+c = 54], [a = 29, b = 25, c = 12, a+b+c = 54], [a = 29, b = 25, c = 14, a+b+c = 54], [a = 29, b = 25, c = 17, a+b+c = 54], [a = 29, b = 25, c = 18, a+b+c = 54], [a = 29, b = 25, c = 20, a+b+c = 54], [a = 29, b = 25, c = 21, a+b+c = 54], [a = 29, b = 25, c = 22, a+b+c = 54], [a = 29, b = 25, c = 23, a+b+c = 54], [a = 29, b = 25, c = 24, a+b+c = 54], [a = 29, b = 26, c = 3, a+b+c = 55], [a = 29, b = 26, c = 7, a+b+c = 55], [a = 29, b = 26, c = 9, a+b+c = 55], [a = 29, b = 26, c = 10, a+b+c = 55], [a = 29, b = 26, c = 13, a+b+c = 55], [a = 29, b = 26, c = 15, a+b+c = 55], [a = 29, b = 26, c = 18, a+b+c = 55], [a = 29, b = 26, c = 19, a+b+c = 55], [a = 29, b = 26, c = 21, a+b+c = 55], [a = 29, b = 26, c = 22, a+b+c = 55], [a = 29, b = 26, c = 23, a+b+c = 55], [a = 29, b = 26, c = 24, a+b+c = 55], [a = 29, b = 26, c = 25, a+b+c = 55], [a = 29, b = 27, c = 4, a+b+c = 56], [a = 29, b = 27, c = 8, a+b+c = 56], [a = 29, b = 27, c = 10, a+b+c = 56], [a = 29, b = 27, c = 11, a+b+c = 56], [a = 29, b = 27, c = 14, a+b+c = 56], [a = 29, b = 27, c = 16, a+b+c = 56], [a = 29, b = 27, c = 19, a+b+c = 56], [a = 29, b = 27, c = 20, a+b+c = 56], [a = 29, b = 27, c = 22, a+b+c = 56], [a = 29, b = 27, c = 23, a+b+c = 56], [a = 29, b = 27, c = 24, a+b+c = 56], [a = 29, b = 27, c = 25, a+b+c = 56], [a = 29, b = 27, c = 26, a+b+c = 56], [a = 29, b = 28, c = 5, a+b+c = 57], [a = 29, b = 28, c = 9, a+b+c = 57], [a = 29, b = 28, c = 11, a+b+c = 57], [a = 29, b = 28, c = 12, a+b+c = 57], [a = 29, b = 28, c = 15, a+b+c = 57], [a = 29, b = 28, c = 17, a+b+c = 57], [a = 29, b = 28, c = 20, a+b+c = 57], [a = 29, b = 28, c = 21, a+b+c = 57], [a = 29, b = 28, c = 23, a+b+c = 57], [a = 29, b = 28, c = 24, a+b+c = 57], [a = 29, b = 28, c = 25, a+b+c = 57], [a = 29, b = 28, c = 26, a+b+c = 57], [a = 29, b = 28, c = 27, a+b+c = 57], [a = 30, b = 7, c = 2, a+b+c = 37], [a = 30, b = 7, c = 3, a+b+c = 37], [a = 30, b = 7, c = 4, a+b+c = 37], [a = 30, b = 7, c = 5, a+b+c = 37], [a = 30, b = 7, c = 6, a+b+c = 37], [a = 30, b = 11, c = 3, a+b+c = 41], [a = 30, b = 11, c = 4, a+b+c = 41], [a = 30, b = 11, c = 6, a+b+c = 41], [a = 30, b = 11, c = 7, a+b+c = 41], [a = 30, b = 11, c = 8, a+b+c = 41], [a = 30, b = 11, c = 9, a+b+c = 41], [a = 30, b = 11, c = 10, a+b+c = 41], [a = 30, b = 13, c = 2, a+b+c = 43], [a = 30, b = 13, c = 5, a+b+c = 43], [a = 30, b = 13, c = 6, a+b+c = 43], [a = 30, b = 13, c = 8, a+b+c = 43], [a = 30, b = 13, c = 9, a+b+c = 43], [a = 30, b = 13, c = 10, a+b+c = 43], [a = 30, b = 13, c = 11, a+b+c = 43], [a = 30, b = 13, c = 12, a+b+c = 43], [a = 30, b = 14, c = 3, a+b+c = 44], [a = 30, b = 14, c = 7, a+b+c = 44], [a = 30, b = 14, c = 11, a+b+c = 44], [a = 30, b = 14, c = 13, a+b+c = 44], [a = 30, b = 17, c = 1, a+b+c = 47], [a = 30, b = 17, c = 4, a+b+c = 47], [a = 30, b = 17, c = 6, a+b+c = 47], [a = 30, b = 17, c = 9, a+b+c = 47], [a = 30, b = 17, c = 10, a+b+c = 47], [a = 30, b = 17, c = 12, a+b+c = 47], [a = 30, b = 17, c = 13, a+b+c = 47], [a = 30, b = 17, c = 14, a+b+c = 47], [a = 30, b = 17, c = 15, a+b+c = 47], [a = 30, b = 17, c = 16, a+b+c = 47], [a = 30, b = 19, c = 2, a+b+c = 49], [a = 30, b = 19, c = 3, a+b+c = 49], [a = 30, b = 19, c = 6, a+b+c = 49], [a = 30, b = 19, c = 8, a+b+c = 49], [a = 30, b = 19, c = 11, a+b+c = 49], [a = 30, b = 19, c = 12, a+b+c = 49], [a = 30, b = 19, c = 14, a+b+c = 49], [a = 30, b = 19, c = 15, a+b+c = 49], [a = 30, b = 19, c = 16, a+b+c = 49], [a = 30, b = 19, c = 17, a+b+c = 49], [a = 30, b = 19, c = 18, a+b+c = 49], [a = 30, b = 22, c = 3, a+b+c = 52], [a = 30, b = 22, c = 5, a+b+c = 52], [a = 30, b = 22, c = 11, a+b+c = 52], [a = 30, b = 22, c = 17, a+b+c = 52], [a = 30, b = 22, c = 19, a+b+c = 52], [a = 30, b = 23, c = 4, a+b+c = 53], [a = 30, b = 23, c = 6, a+b+c = 53], [a = 30, b = 23, c = 7, a+b+c = 53], [a = 30, b = 23, c = 10, a+b+c = 53], [a = 30, b = 23, c = 12, a+b+c = 53], [a = 30, b = 23, c = 15, a+b+c = 53], [a = 30, b = 23, c = 16, a+b+c = 53], [a = 30, b = 23, c = 18, a+b+c = 53], [a = 30, b = 23, c = 19, a+b+c = 53], [a = 30, b = 23, c = 20, a+b+c = 53], [a = 30, b = 23, c = 21, a+b+c = 53], [a = 30, b = 23, c = 22, a+b+c = 53], [a = 30, b = 25, c = 2, a+b+c = 55], [a = 30, b = 25, c = 17, a+b+c = 55], [a = 30, b = 25, c = 23, a+b+c = 55], [a = 30, b = 26, c = 3, a+b+c = 56], [a = 30, b = 26, c = 7, a+b+c = 56], [a = 30, b = 26, c = 13, a+b+c = 56], [a = 30, b = 26, c = 19, a+b+c = 56], [a = 30, b = 26, c = 23, a+b+c = 56], [a = 30, b = 27, c = 11, a+b+c = 57], [a = 30, b = 27, c = 19, a+b+c = 57], [a = 30, b = 27, c = 23, a+b+c = 57], [a = 30, b = 28, c = 5, a+b+c = 58], [a = 30, b = 28, c = 11, a+b+c = 58], [a = 30, b = 28, c = 17, a+b+c = 58], [a = 30, b = 28, c = 23, a+b+c = 58], [a = 30, b = 29, c = 6, a+b+c = 59], [a = 30, b = 29, c = 10, a+b+c = 59], [a = 30, b = 29, c = 12, a+b+c = 59], [a = 30, b = 29, c = 13, a+b+c = 59], [a = 30, b = 29, c = 16, a+b+c = 59], [a = 30, b = 29, c = 18, a+b+c = 59], [a = 30, b = 29, c = 21, a+b+c = 59], [a = 30, b = 29, c = 22, a+b+c = 59], [a = 30, b = 29, c = 24, a+b+c = 59], [a = 30, b = 29, c = 25, a+b+c = 59], [a = 30, b = 29, c = 26, a+b+c = 59], [a = 30, b = 29, c = 27, a+b+c = 59], [a = 30, b = 29, c = 28, a+b+c = 59], [a = 31, b = 2, c = 1, a+b+c = 33], [a = 31, b = 8, c = 1, a+b+c = 39], [a = 31, b = 8, c = 3, a+b+c = 39], [a = 31, b = 8, c = 4, a+b+c = 39], [a = 31, b = 8, c = 5, a+b+c = 39], [a = 31, b = 8, c = 6, a+b+c = 39], [a = 31, b = 8, c = 7, a+b+c = 39], [a = 31, b = 12, c = 1, a+b+c = 43], [a = 31, b = 12, c = 4, a+b+c = 43], [a = 31, b = 12, c = 5, a+b+c = 43], [a = 31, b = 12, c = 7, a+b+c = 43], [a = 31, b = 12, c = 8, a+b+c = 43], [a = 31, b = 12, c = 9, a+b+c = 43], [a = 31, b = 12, c = 10, a+b+c = 43], [a = 31, b = 12, c = 11, a+b+c = 43], [a = 31, b = 14, c = 1, a+b+c = 45], [a = 31, b = 14, c = 3, a+b+c = 45], [a = 31, b = 14, c = 6, a+b+c = 45], [a = 31, b = 14, c = 7, a+b+c = 45], [a = 31, b = 14, c = 9, a+b+c = 45], [a = 31, b = 14, c = 10, a+b+c = 45], [a = 31, b = 14, c = 11, a+b+c = 45], [a = 31, b = 14, c = 12, a+b+c = 45], [a = 31, b = 14, c = 13, a+b+c = 45], [a = 31, b = 15, c = 2, a+b+c = 46], [a = 31, b = 15, c = 4, a+b+c = 46], [a = 31, b = 15, c = 7, a+b+c = 46], [a = 31, b = 15, c = 8, a+b+c = 46], [a = 31, b = 15, c = 10, a+b+c = 46], [a = 31, b = 15, c = 11, a+b+c = 46], [a = 31, b = 15, c = 12, a+b+c = 46], [a = 31, b = 15, c = 13, a+b+c = 46], [a = 31, b = 15, c = 14, a+b+c = 46], [a = 31, b = 18, c = 1, a+b+c = 49], [a = 31, b = 18, c = 2, a+b+c = 49], [a = 31, b = 18, c = 5, a+b+c = 49], [a = 31, b = 18, c = 7, a+b+c = 49], [a = 31, b = 18, c = 10, a+b+c = 49], [a = 31, b = 18, c = 11, a+b+c = 49], [a = 31, b = 18, c = 13, a+b+c = 49], [a = 31, b = 18, c = 14, a+b+c = 49], [a = 31, b = 18, c = 15, a+b+c = 49], [a = 31, b = 18, c = 16, a+b+c = 49], [a = 31, b = 18, c = 17, a+b+c = 49], [a = 31, b = 20, c = 1, a+b+c = 51], [a = 31, b = 20, c = 3, a+b+c = 51], [a = 31, b = 20, c = 4, a+b+c = 51], [a = 31, b = 20, c = 7, a+b+c = 51], [a = 31, b = 20, c = 9, a+b+c = 51], [a = 31, b = 20, c = 12, a+b+c = 51], [a = 31, b = 20, c = 13, a+b+c = 51], [a = 31, b = 20, c = 15, a+b+c = 51], [a = 31, b = 20, c = 16, a+b+c = 51], [a = 31, b = 20, c = 17, a+b+c = 51], [a = 31, b = 20, c = 18, a+b+c = 51], [a = 31, b = 20, c = 19, a+b+c = 51], [a = 31, b = 23, c = 4, a+b+c = 54], [a = 31, b = 23, c = 6, a+b+c = 54], [a = 31, b = 23, c = 7, a+b+c = 54], [a = 31, b = 23, c = 10, a+b+c = 54], [a = 31, b = 23, c = 12, a+b+c = 54], [a = 31, b = 23, c = 15, a+b+c = 54], [a = 31, b = 23, c = 16, a+b+c = 54], [a = 31, b = 23, c = 18, a+b+c = 54], [a = 31, b = 23, c = 19, a+b+c = 54], [a = 31, b = 23, c = 20, a+b+c = 54], [a = 31, b = 23, c = 21, a+b+c = 54], [a = 31, b = 23, c = 22, a+b+c = 54], [a = 31, b = 24, c = 1, a+b+c = 55], [a = 31, b = 24, c = 5, a+b+c = 55], [a = 31, b = 24, c = 7, a+b+c = 55], [a = 31, b = 24, c = 8, a+b+c = 55], [a = 31, b = 24, c = 11, a+b+c = 55], [a = 31, b = 24, c = 13, a+b+c = 55], [a = 31, b = 24, c = 16, a+b+c = 55], [a = 31, b = 24, c = 17, a+b+c = 55], [a = 31, b = 24, c = 19, a+b+c = 55], [a = 31, b = 24, c = 20, a+b+c = 55], [a = 31, b = 24, c = 21, a+b+c = 55], [a = 31, b = 24, c = 22, a+b+c = 55], [a = 31, b = 24, c = 23, a+b+c = 55], [a = 31, b = 26, c = 3, a+b+c = 57], [a = 31, b = 26, c = 7, a+b+c = 57], [a = 31, b = 26, c = 9, a+b+c = 57], [a = 31, b = 26, c = 10, a+b+c = 57], [a = 31, b = 26, c = 13, a+b+c = 57], [a = 31, b = 26, c = 15, a+b+c = 57], [a = 31, b = 26, c = 18, a+b+c = 57], [a = 31, b = 26, c = 19, a+b+c = 57], [a = 31, b = 26, c = 21, a+b+c = 57], [a = 31, b = 26, c = 22, a+b+c = 57], [a = 31, b = 26, c = 23, a+b+c = 57], [a = 31, b = 26, c = 24, a+b+c = 57], [a = 31, b = 26, c = 25, a+b+c = 57], [a = 31, b = 27, c = 4, a+b+c = 58], [a = 31, b = 27, c = 8, a+b+c = 58], [a = 31, b = 27, c = 10, a+b+c = 58], [a = 31, b = 27, c = 11, a+b+c = 58], [a = 31, b = 27, c = 14, a+b+c = 58], [a = 31, b = 27, c = 16, a+b+c = 58], [a = 31, b = 27, c = 19, a+b+c = 58], [a = 31, b = 27, c = 20, a+b+c = 58], [a = 31, b = 27, c = 22, a+b+c = 58], [a = 31, b = 27, c = 23, a+b+c = 58], [a = 31, b = 27, c = 24, a+b+c = 58], [a = 31, b = 27, c = 25, a+b+c = 58], [a = 31, b = 27, c = 26, a+b+c = 58], [a = 31, b = 28, c = 5, a+b+c = 59], [a = 31, b = 28, c = 9, a+b+c = 59], [a = 31, b = 28, c = 11, a+b+c = 59], [a = 31, b = 28, c = 12, a+b+c = 59], [a = 31, b = 28, c = 15, a+b+c = 59], [a = 31, b = 28, c = 17, a+b+c = 59], [a = 31, b = 28, c = 20, a+b+c = 59], [a = 31, b = 28, c = 21, a+b+c = 59], [a = 31, b = 28, c = 23, a+b+c = 59], [a = 31, b = 28, c = 24, a+b+c = 59], [a = 31, b = 28, c = 25, a+b+c = 59], [a = 31, b = 28, c = 26, a+b+c = 59], [a = 31, b = 28, c = 27, a+b+c = 59], [a = 31, b = 29, c = 6, a+b+c = 60], [a = 31, b = 29, c = 10, a+b+c = 60], [a = 31, b = 29, c = 12, a+b+c = 60], [a = 31, b = 29, c = 13, a+b+c = 60], [a = 31, b = 29, c = 16, a+b+c = 60], [a = 31, b = 29, c = 18, a+b+c = 60], [a = 31, b = 29, c = 21, a+b+c = 60], [a = 31, b = 29, c = 22, a+b+c = 60], [a = 31, b = 29, c = 24, a+b+c = 60], [a = 31, b = 29, c = 25, a+b+c = 60], [a = 31, b = 29, c = 26, a+b+c = 60], [a = 31, b = 29, c = 27, a+b+c = 60], [a = 31, b = 29, c = 28, a+b+c = 60], [a = 32, b = 3, c = 1, a+b+c = 35], [a = 32, b = 3, c = 2, a+b+c = 35], [a = 32, b = 9, c = 2, a+b+c = 41], [a = 32, b = 9, c = 5, a+b+c = 41], [a = 32, b = 9, c = 7, a+b+c = 41], [a = 32, b = 13, c = 2, a+b+c = 45], [a = 32, b = 13, c = 5, a+b+c = 45], [a = 32, b = 13, c = 6, a+b+c = 45], [a = 32, b = 13, c = 8, a+b+c = 45], [a = 32, b = 13, c = 9, a+b+c = 45], [a = 32, b = 13, c = 10, a+b+c = 45], [a = 32, b = 13, c = 11, a+b+c = 45], [a = 32, b = 13, c = 12, a+b+c = 45], [a = 32, b = 15, c = 2, a+b+c = 47], [a = 32, b = 15, c = 7, a+b+c = 47], [a = 32, b = 15, c = 11, a+b+c = 47], [a = 32, b = 15, c = 13, a+b+c = 47], [a = 32, b = 16, c = 3, a+b+c = 48], [a = 32, b = 16, c = 5, a+b+c = 48], [a = 32, b = 16, c = 11, a+b+c = 48], [a = 32, b = 16, c = 13, a+b+c = 48], [a = 32, b = 19, c = 2, a+b+c = 51], [a = 32, b = 19, c = 3, a+b+c = 51], [a = 32, b = 19, c = 6, a+b+c = 51], [a = 32, b = 19, c = 8, a+b+c = 51], [a = 32, b = 19, c = 11, a+b+c = 51], [a = 32, b = 19, c = 12, a+b+c = 51], [a = 32, b = 19, c = 14, a+b+c = 51], [a = 32, b = 19, c = 15, a+b+c = 51], [a = 32, b = 19, c = 16, a+b+c = 51], [a = 32, b = 19, c = 17, a+b+c = 51], [a = 32, b = 19, c = 18, a+b+c = 51], [a = 32, b = 21, c = 2, a+b+c = 53], [a = 32, b = 21, c = 5, a+b+c = 53], [a = 32, b = 21, c = 13, a+b+c = 53], [a = 32, b = 21, c = 17, a+b+c = 53], [a = 32, b = 21, c = 19, a+b+c = 53], [a = 32, b = 24, c = 5, a+b+c = 56], [a = 32, b = 24, c = 7, a+b+c = 56], [a = 32, b = 24, c = 11, a+b+c = 56], [a = 32, b = 24, c = 13, a+b+c = 56], [a = 32, b = 24, c = 17, a+b+c = 56], [a = 32, b = 24, c = 19, a+b+c = 56], [a = 32, b = 24, c = 23, a+b+c = 56], [a = 32, b = 25, c = 2, a+b+c = 57], [a = 32, b = 25, c = 17, a+b+c = 57], [a = 32, b = 25, c = 23, a+b+c = 57], [a = 32, b = 27, c = 11, a+b+c = 59], [a = 32, b = 27, c = 19, a+b+c = 59], [a = 32, b = 27, c = 23, a+b+c = 59], [a = 32, b = 28, c = 5, a+b+c = 60], [a = 32, b = 28, c = 11, a+b+c = 60], [a = 32, b = 28, c = 17, a+b+c = 60], [a = 32, b = 28, c = 23, a+b+c = 60], [a = 33, b = 2, c = 1, a+b+c = 35], [a = 33, b = 4, c = 2, a+b+c = 37], [a = 33, b = 4, c = 3, a+b+c = 37], [a = 33, b = 10, c = 2, a+b+c = 43], [a = 33, b = 10, c = 3, a+b+c = 43], [a = 33, b = 10, c = 5, a+b+c = 43], [a = 33, b = 10, c = 7, a+b+c = 43], [a = 33, b = 14, c = 3, a+b+c = 47], [a = 33, b = 14, c = 7, a+b+c = 47], [a = 33, b = 14, c = 11, a+b+c = 47], [a = 33, b = 14, c = 13, a+b+c = 47], [a = 33, b = 16, c = 3, a+b+c = 49], [a = 33, b = 16, c = 5, a+b+c = 49], [a = 33, b = 16, c = 11, a+b+c = 49], [a = 33, b = 16, c = 13, a+b+c = 49], [a = 33, b = 17, c = 1, a+b+c = 50], [a = 33, b = 17, c = 4, a+b+c = 50], [a = 33, b = 17, c = 6, a+b+c = 50], [a = 33, b = 17, c = 9, a+b+c = 50], [a = 33, b = 17, c = 10, a+b+c = 50], [a = 33, b = 17, c = 12, a+b+c = 50], [a = 33, b = 17, c = 13, a+b+c = 50], [a = 33, b = 17, c = 14, a+b+c = 50], [a = 33, b = 17, c = 15, a+b+c = 50], [a = 33, b = 17, c = 16, a+b+c = 50], [a = 33, b = 20, c = 3, a+b+c = 53], [a = 33, b = 20, c = 7, a+b+c = 53], [a = 33, b = 20, c = 13, a+b+c = 53], [a = 33, b = 20, c = 17, a+b+c = 53], [a = 33, b = 20, c = 19, a+b+c = 53], [a = 33, b = 22, c = 3, a+b+c = 55], [a = 33, b = 22, c = 5, a+b+c = 55], [a = 33, b = 22, c = 11, a+b+c = 55], [a = 33, b = 22, c = 17, a+b+c = 55], [a = 33, b = 22, c = 19, a+b+c = 55], [a = 33, b = 25, c = 2, a+b+c = 58], [a = 33, b = 25, c = 17, a+b+c = 58], [a = 33, b = 25, c = 23, a+b+c = 58], [a = 33, b = 26, c = 3, a+b+c = 59], [a = 33, b = 26, c = 7, a+b+c = 59], [a = 33, b = 26, c = 13, a+b+c = 59], [a = 33, b = 26, c = 19, a+b+c = 59], [a = 33, b = 26, c = 23, a+b+c = 59], [a = 34, b = 2, c = 1, a+b+c = 36], [a = 34, b = 3, c = 1, a+b+c = 37], [a = 34, b = 3, c = 2, a+b+c = 37], [a = 34, b = 5, c = 1, a+b+c = 39], [a = 34, b = 5, c = 2, a+b+c = 39], [a = 34, b = 5, c = 3, a+b+c = 39], [a = 34, b = 5, c = 4, a+b+c = 39], [a = 34, b = 11, c = 3, a+b+c = 45], [a = 34, b = 11, c = 4, a+b+c = 45], [a = 34, b = 11, c = 6, a+b+c = 45], [a = 34, b = 11, c = 7, a+b+c = 45], [a = 34, b = 11, c = 8, a+b+c = 45], [a = 34, b = 11, c = 9, a+b+c = 45], [a = 34, b = 11, c = 10, a+b+c = 45], [a = 34, b = 15, c = 2, a+b+c = 49], [a = 34, b = 15, c = 7, a+b+c = 49], [a = 34, b = 15, c = 11, a+b+c = 49], [a = 34, b = 15, c = 13, a+b+c = 49], [a = 34, b = 17, c = 1, a+b+c = 51], [a = 34, b = 17, c = 4, a+b+c = 51], [a = 34, b = 17, c = 6, a+b+c = 51], [a = 34, b = 17, c = 9, a+b+c = 51], [a = 34, b = 17, c = 10, a+b+c = 51], [a = 34, b = 17, c = 12, a+b+c = 51], [a = 34, b = 17, c = 13, a+b+c = 51], [a = 34, b = 17, c = 14, a+b+c = 51], [a = 34, b = 17, c = 15, a+b+c = 51], [a = 34, b = 17, c = 16, a+b+c = 51], [a = 34, b = 18, c = 2, a+b+c = 52], [a = 34, b = 18, c = 5, a+b+c = 52], [a = 34, b = 18, c = 7, a+b+c = 52], [a = 34, b = 18, c = 11, a+b+c = 52], [a = 34, b = 18, c = 13, a+b+c = 52], [a = 34, b = 18, c = 17, a+b+c = 52], [a = 34, b = 21, c = 2, a+b+c = 55], [a = 34, b = 21, c = 5, a+b+c = 55], [a = 34, b = 21, c = 13, a+b+c = 55], [a = 34, b = 21, c = 17, a+b+c = 55], [a = 34, b = 21, c = 19, a+b+c = 55], [a = 34, b = 23, c = 4, a+b+c = 57], [a = 34, b = 23, c = 6, a+b+c = 57], [a = 34, b = 23, c = 7, a+b+c = 57], [a = 34, b = 23, c = 10, a+b+c = 57], [a = 34, b = 23, c = 12, a+b+c = 57], [a = 34, b = 23, c = 15, a+b+c = 57], [a = 34, b = 23, c = 16, a+b+c = 57], [a = 34, b = 23, c = 18, a+b+c = 57], [a = 34, b = 23, c = 19, a+b+c = 57], [a = 34, b = 23, c = 20, a+b+c = 57], [a = 34, b = 23, c = 21, a+b+c = 57], [a = 34, b = 23, c = 22, a+b+c = 57], [a = 34, b = 26, c = 3, a+b+c = 60], [a = 34, b = 26, c = 7, a+b+c = 60], [a = 34, b = 26, c = 13, a+b+c = 60], [a = 34, b = 26, c = 19, a+b+c = 60], [a = 34, b = 26, c = 23, a+b+c = 60], [a = 35, b = 3, c = 1, a+b+c = 38], [a = 35, b = 3, c = 2, a+b+c = 38], [a = 35, b = 4, c = 2, a+b+c = 39], [a = 35, b = 4, c = 3, a+b+c = 39], [a = 35, b = 6, c = 2, a+b+c = 41], [a = 35, b = 6, c = 3, a+b+c = 41], [a = 35, b = 6, c = 5, a+b+c = 41], [a = 35, b = 12, c = 5, a+b+c = 47], [a = 35, b = 12, c = 7, a+b+c = 47], [a = 35, b = 12, c = 11, a+b+c = 47], [a = 35, b = 16, c = 3, a+b+c = 51], [a = 35, b = 16, c = 5, a+b+c = 51], [a = 35, b = 16, c = 11, a+b+c = 51], [a = 35, b = 16, c = 13, a+b+c = 51], [a = 35, b = 18, c = 2, a+b+c = 53], [a = 35, b = 18, c = 5, a+b+c = 53], [a = 35, b = 18, c = 7, a+b+c = 53], [a = 35, b = 18, c = 11, a+b+c = 53], [a = 35, b = 18, c = 13, a+b+c = 53], [a = 35, b = 18, c = 17, a+b+c = 53], [a = 35, b = 19, c = 2, a+b+c = 54], [a = 35, b = 19, c = 3, a+b+c = 54], [a = 35, b = 19, c = 6, a+b+c = 54], [a = 35, b = 19, c = 8, a+b+c = 54], [a = 35, b = 19, c = 11, a+b+c = 54], [a = 35, b = 19, c = 12, a+b+c = 54], [a = 35, b = 19, c = 14, a+b+c = 54], [a = 35, b = 19, c = 15, a+b+c = 54], [a = 35, b = 19, c = 16, a+b+c = 54], [a = 35, b = 19, c = 17, a+b+c = 54], [a = 35, b = 19, c = 18, a+b+c = 54], [a = 35, b = 22, c = 3, a+b+c = 57], [a = 35, b = 22, c = 5, a+b+c = 57], [a = 35, b = 22, c = 11, a+b+c = 57], [a = 35, b = 22, c = 17, a+b+c = 57], [a = 35, b = 22, c = 19, a+b+c = 57], [a = 35, b = 24, c = 5, a+b+c = 59], [a = 35, b = 24, c = 7, a+b+c = 59], [a = 35, b = 24, c = 11, a+b+c = 59], [a = 35, b = 24, c = 13, a+b+c = 59], [a = 35, b = 24, c = 17, a+b+c = 59], [a = 35, b = 24, c = 19, a+b+c = 59], [a = 35, b = 24, c = 23, a+b+c = 59], [a = 36, b = 4, c = 2, a+b+c = 40], [a = 36, b = 4, c = 3, a+b+c = 40], [a = 36, b = 5, c = 1, a+b+c = 41], [a = 36, b = 5, c = 2, a+b+c = 41], [a = 36, b = 5, c = 3, a+b+c = 41], [a = 36, b = 5, c = 4, a+b+c = 41], [a = 36, b = 7, c = 2, a+b+c = 43], [a = 36, b = 7, c = 3, a+b+c = 43], [a = 36, b = 7, c = 4, a+b+c = 43], [a = 36, b = 7, c = 5, a+b+c = 43], [a = 36, b = 7, c = 6, a+b+c = 43], [a = 36, b = 13, c = 2, a+b+c = 49], [a = 36, b = 13, c = 5, a+b+c = 49], [a = 36, b = 13, c = 6, a+b+c = 49], [a = 36, b = 13, c = 8, a+b+c = 49], [a = 36, b = 13, c = 9, a+b+c = 49], [a = 36, b = 13, c = 10, a+b+c = 49], [a = 36, b = 13, c = 11, a+b+c = 49], [a = 36, b = 13, c = 12, a+b+c = 49], [a = 36, b = 17, c = 1, a+b+c = 53], [a = 36, b = 17, c = 4, a+b+c = 53], [a = 36, b = 17, c = 6, a+b+c = 53], [a = 36, b = 17, c = 9, a+b+c = 53], [a = 36, b = 17, c = 10, a+b+c = 53], [a = 36, b = 17, c = 12, a+b+c = 53], [a = 36, b = 17, c = 13, a+b+c = 53], [a = 36, b = 17, c = 14, a+b+c = 53], [a = 36, b = 17, c = 15, a+b+c = 53], [a = 36, b = 17, c = 16, a+b+c = 53], [a = 36, b = 19, c = 2, a+b+c = 55], [a = 36, b = 19, c = 3, a+b+c = 55], [a = 36, b = 19, c = 6, a+b+c = 55], [a = 36, b = 19, c = 8, a+b+c = 55], [a = 36, b = 19, c = 11, a+b+c = 55], [a = 36, b = 19, c = 12, a+b+c = 55], [a = 36, b = 19, c = 14, a+b+c = 55], [a = 36, b = 19, c = 15, a+b+c = 55], [a = 36, b = 19, c = 16, a+b+c = 55], [a = 36, b = 19, c = 17, a+b+c = 55], [a = 36, b = 19, c = 18, a+b+c = 55], [a = 36, b = 20, c = 3, a+b+c = 56], [a = 36, b = 20, c = 7, a+b+c = 56], [a = 36, b = 20, c = 13, a+b+c = 56], [a = 36, b = 20, c = 17, a+b+c = 56], [a = 36, b = 20, c = 19, a+b+c = 56], [a = 36, b = 23, c = 4, a+b+c = 59], [a = 36, b = 23, c = 6, a+b+c = 59], [a = 36, b = 23, c = 7, a+b+c = 59], [a = 36, b = 23, c = 10, a+b+c = 59], [a = 36, b = 23, c = 12, a+b+c = 59], [a = 36, b = 23, c = 15, a+b+c = 59], [a = 36, b = 23, c = 16, a+b+c = 59], [a = 36, b = 23, c = 18, a+b+c = 59], [a = 36, b = 23, c = 19, a+b+c = 59], [a = 36, b = 23, c = 20, a+b+c = 59], [a = 36, b = 23, c = 21, a+b+c = 59], [a = 36, b = 23, c = 22, a+b+c = 59], [a = 37, b = 5, c = 1, a+b+c = 42], [a = 37, b = 5, c = 2, a+b+c = 42], [a = 37, b = 5, c = 3, a+b+c = 42], [a = 37, b = 5, c = 4, a+b+c = 42], [a = 37, b = 6, c = 1, a+b+c = 43], [a = 37, b = 6, c = 2, a+b+c = 43], [a = 37, b = 6, c = 3, a+b+c = 43], [a = 37, b = 6, c = 4, a+b+c = 43], [a = 37, b = 6, c = 5, a+b+c = 43], [a = 37, b = 8, c = 1, a+b+c = 45], [a = 37, b = 8, c = 3, a+b+c = 45], [a = 37, b = 8, c = 4, a+b+c = 45], [a = 37, b = 8, c = 5, a+b+c = 45], [a = 37, b = 8, c = 6, a+b+c = 45], [a = 37, b = 8, c = 7, a+b+c = 45], [a = 37, b = 14, c = 1, a+b+c = 51], [a = 37, b = 14, c = 3, a+b+c = 51], [a = 37, b = 14, c = 6, a+b+c = 51], [a = 37, b = 14, c = 7, a+b+c = 51], [a = 37, b = 14, c = 9, a+b+c = 51], [a = 37, b = 14, c = 10, a+b+c = 51], [a = 37, b = 14, c = 11, a+b+c = 51], [a = 37, b = 14, c = 12, a+b+c = 51], [a = 37, b = 14, c = 13, a+b+c = 51], [a = 37, b = 18, c = 1, a+b+c = 55], [a = 37, b = 18, c = 2, a+b+c = 55], [a = 37, b = 18, c = 5, a+b+c = 55], [a = 37, b = 18, c = 7, a+b+c = 55], [a = 37, b = 18, c = 10, a+b+c = 55], [a = 37, b = 18, c = 11, a+b+c = 55], [a = 37, b = 18, c = 13, a+b+c = 55], [a = 37, b = 18, c = 14, a+b+c = 55], [a = 37, b = 18, c = 15, a+b+c = 55], [a = 37, b = 18, c = 16, a+b+c = 55], [a = 37, b = 18, c = 17, a+b+c = 55], [a = 37, b = 20, c = 1, a+b+c = 57], [a = 37, b = 20, c = 3, a+b+c = 57], [a = 37, b = 20, c = 4, a+b+c = 57], [a = 37, b = 20, c = 7, a+b+c = 57], [a = 37, b = 20, c = 9, a+b+c = 57], [a = 37, b = 20, c = 12, a+b+c = 57], [a = 37, b = 20, c = 13, a+b+c = 57], [a = 37, b = 20, c = 15, a+b+c = 57], [a = 37, b = 20, c = 16, a+b+c = 57], [a = 37, b = 20, c = 17, a+b+c = 57], [a = 37, b = 20, c = 18, a+b+c = 57], [a = 37, b = 20, c = 19, a+b+c = 57], [a = 37, b = 21, c = 2, a+b+c = 58], [a = 37, b = 21, c = 4, a+b+c = 58], [a = 37, b = 21, c = 5, a+b+c = 58], [a = 37, b = 21, c = 8, a+b+c = 58], [a = 37, b = 21, c = 10, a+b+c = 58], [a = 37, b = 21, c = 13, a+b+c = 58], [a = 37, b = 21, c = 14, a+b+c = 58], [a = 37, b = 21, c = 16, a+b+c = 58], [a = 37, b = 21, c = 17, a+b+c = 58], [a = 37, b = 21, c = 18, a+b+c = 58], [a = 37, b = 21, c = 19, a+b+c = 58], [a = 37, b = 21, c = 20, a+b+c = 58], [a = 38, b = 6, c = 2, a+b+c = 44], [a = 38, b = 6, c = 3, a+b+c = 44], [a = 38, b = 6, c = 5, a+b+c = 44], [a = 38, b = 7, c = 2, a+b+c = 45], [a = 38, b = 7, c = 3, a+b+c = 45], [a = 38, b = 7, c = 4, a+b+c = 45], [a = 38, b = 7, c = 5, a+b+c = 45], [a = 38, b = 7, c = 6, a+b+c = 45], [a = 38, b = 9, c = 2, a+b+c = 47], [a = 38, b = 9, c = 5, a+b+c = 47], [a = 38, b = 9, c = 7, a+b+c = 47], [a = 38, b = 15, c = 2, a+b+c = 53], [a = 38, b = 15, c = 7, a+b+c = 53], [a = 38, b = 15, c = 11, a+b+c = 53], [a = 38, b = 15, c = 13, a+b+c = 53], [a = 38, b = 19, c = 2, a+b+c = 57], [a = 38, b = 19, c = 3, a+b+c = 57], [a = 38, b = 19, c = 6, a+b+c = 57], [a = 38, b = 19, c = 8, a+b+c = 57], [a = 38, b = 19, c = 11, a+b+c = 57], [a = 38, b = 19, c = 12, a+b+c = 57], [a = 38, b = 19, c = 14, a+b+c = 57], [a = 38, b = 19, c = 15, a+b+c = 57], [a = 38, b = 19, c = 16, a+b+c = 57], [a = 38, b = 19, c = 17, a+b+c = 57], [a = 38, b = 19, c = 18, a+b+c = 57], [a = 38, b = 21, c = 2, a+b+c = 59], [a = 38, b = 21, c = 5, a+b+c = 59], [a = 38, b = 21, c = 13, a+b+c = 59], [a = 38, b = 21, c = 17, a+b+c = 59], [a = 38, b = 21, c = 19, a+b+c = 59], [a = 38, b = 22, c = 3, a+b+c = 60], [a = 38, b = 22, c = 5, a+b+c = 60], [a = 38, b = 22, c = 11, a+b+c = 60], [a = 38, b = 22, c = 17, a+b+c = 60], [a = 38, b = 22, c = 19, a+b+c = 60], [a = 39, b = 2, c = 1, a+b+c = 41], [a = 39, b = 7, c = 2, a+b+c = 46], [a = 39, b = 7, c = 3, a+b+c = 46], [a = 39, b = 7, c = 4, a+b+c = 46], [a = 39, b = 7, c = 5, a+b+c = 46], [a = 39, b = 7, c = 6, a+b+c = 46], [a = 39, b = 8, c = 3, a+b+c = 47], [a = 39, b = 8, c = 5, a+b+c = 47], [a = 39, b = 8, c = 7, a+b+c = 47], [a = 39, b = 10, c = 2, a+b+c = 49], [a = 39, b = 10, c = 3, a+b+c = 49], [a = 39, b = 10, c = 5, a+b+c = 49], [a = 39, b = 10, c = 7, a+b+c = 49], [a = 39, b = 16, c = 3, a+b+c = 55], [a = 39, b = 16, c = 5, a+b+c = 55], [a = 39, b = 16, c = 11, a+b+c = 55], [a = 39, b = 16, c = 13, a+b+c = 55], [a = 39, b = 20, c = 3, a+b+c = 59], [a = 39, b = 20, c = 7, a+b+c = 59], [a = 39, b = 20, c = 13, a+b+c = 59], [a = 39, b = 20, c = 17, a+b+c = 59], [a = 39, b = 20, c = 19, a+b+c = 59], [a = 40, b = 3, c = 1, a+b+c = 43], [a = 40, b = 3, c = 2, a+b+c = 43], [a = 40, b = 8, c = 3, a+b+c = 48], [a = 40, b = 8, c = 5, a+b+c = 48], [a = 40, b = 8, c = 7, a+b+c = 48], [a = 40, b = 9, c = 2, a+b+c = 49], [a = 40, b = 9, c = 5, a+b+c = 49], [a = 40, b = 9, c = 7, a+b+c = 49], [a = 40, b = 11, c = 3, a+b+c = 51], [a = 40, b = 11, c = 4, a+b+c = 51], [a = 40, b = 11, c = 6, a+b+c = 51], [a = 40, b = 11, c = 7, a+b+c = 51], [a = 40, b = 11, c = 8, a+b+c = 51], [a = 40, b = 11, c = 9, a+b+c = 51], [a = 40, b = 11, c = 10, a+b+c = 51], [a = 40, b = 17, c = 1, a+b+c = 57], [a = 40, b = 17, c = 4, a+b+c = 57], [a = 40, b = 17, c = 6, a+b+c = 57], [a = 40, b = 17, c = 9, a+b+c = 57], [a = 40, b = 17, c = 10, a+b+c = 57], [a = 40, b = 17, c = 12, a+b+c = 57], [a = 40, b = 17, c = 13, a+b+c = 57], [a = 40, b = 17, c = 14, a+b+c = 57], [a = 40, b = 17, c = 15, a+b+c = 57], [a = 40, b = 17, c = 16, a+b+c = 57], [a = 41, b = 4, c = 1, a+b+c = 45], [a = 41, b = 4, c = 2, a+b+c = 45], [a = 41, b = 4, c = 3, a+b+c = 45], [a = 41, b = 9, c = 1, a+b+c = 50], [a = 41, b = 9, c = 2, a+b+c = 50], [a = 41, b = 9, c = 4, a+b+c = 50], [a = 41, b = 9, c = 5, a+b+c = 50], [a = 41, b = 9, c = 6, a+b+c = 50], [a = 41, b = 9, c = 7, a+b+c = 50], [a = 41, b = 9, c = 8, a+b+c = 50], [a = 41, b = 10, c = 2, a+b+c = 51], [a = 41, b = 10, c = 3, a+b+c = 51], [a = 41, b = 10, c = 5, a+b+c = 51], [a = 41, b = 10, c = 6, a+b+c = 51], [a = 41, b = 10, c = 7, a+b+c = 51], [a = 41, b = 10, c = 8, a+b+c = 51], [a = 41, b = 10, c = 9, a+b+c = 51], [a = 41, b = 12, c = 1, a+b+c = 53], [a = 41, b = 12, c = 4, a+b+c = 53], [a = 41, b = 12, c = 5, a+b+c = 53], [a = 41, b = 12, c = 7, a+b+c = 53], [a = 41, b = 12, c = 8, a+b+c = 53], [a = 41, b = 12, c = 9, a+b+c = 53], [a = 41, b = 12, c = 10, a+b+c = 53], [a = 41, b = 12, c = 11, a+b+c = 53], [a = 41, b = 18, c = 1, a+b+c = 59], [a = 41, b = 18, c = 2, a+b+c = 59], [a = 41, b = 18, c = 5, a+b+c = 59], [a = 41, b = 18, c = 7, a+b+c = 59], [a = 41, b = 18, c = 10, a+b+c = 59], [a = 41, b = 18, c = 11, a+b+c = 59], [a = 41, b = 18, c = 13, a+b+c = 59], [a = 41, b = 18, c = 14, a+b+c = 59], [a = 41, b = 18, c = 15, a+b+c = 59], [a = 41, b = 18, c = 16, a+b+c = 59], [a = 41, b = 18, c = 17, a+b+c = 59], [a = 42, b = 5, c = 1, a+b+c = 47], [a = 42, b = 5, c = 2, a+b+c = 47], [a = 42, b = 5, c = 3, a+b+c = 47], [a = 42, b = 5, c = 4, a+b+c = 47], [a = 42, b = 10, c = 2, a+b+c = 52], [a = 42, b = 10, c = 3, a+b+c = 52], [a = 42, b = 10, c = 5, a+b+c = 52], [a = 42, b = 10, c = 7, a+b+c = 52], [a = 42, b = 11, c = 3, a+b+c = 53], [a = 42, b = 11, c = 4, a+b+c = 53], [a = 42, b = 11, c = 6, a+b+c = 53], [a = 42, b = 11, c = 7, a+b+c = 53], [a = 42, b = 11, c = 8, a+b+c = 53], [a = 42, b = 11, c = 9, a+b+c = 53], [a = 42, b = 11, c = 10, a+b+c = 53], [a = 42, b = 13, c = 2, a+b+c = 55], [a = 42, b = 13, c = 5, a+b+c = 55], [a = 42, b = 13, c = 6, a+b+c = 55], [a = 42, b = 13, c = 8, a+b+c = 55], [a = 42, b = 13, c = 9, a+b+c = 55], [a = 42, b = 13, c = 10, a+b+c = 55], [a = 42, b = 13, c = 11, a+b+c = 55], [a = 42, b = 13, c = 12, a+b+c = 55], [a = 43, b = 2, c = 1, a+b+c = 45], [a = 43, b = 6, c = 1, a+b+c = 49], [a = 43, b = 6, c = 2, a+b+c = 49], [a = 43, b = 6, c = 3, a+b+c = 49], [a = 43, b = 6, c = 4, a+b+c = 49], [a = 43, b = 6, c = 5, a+b+c = 49], [a = 43, b = 11, c = 3, a+b+c = 54], [a = 43, b = 11, c = 4, a+b+c = 54], [a = 43, b = 11, c = 6, a+b+c = 54], [a = 43, b = 11, c = 7, a+b+c = 54], [a = 43, b = 11, c = 8, a+b+c = 54], [a = 43, b = 11, c = 9, a+b+c = 54], [a = 43, b = 11, c = 10, a+b+c = 54], [a = 43, b = 12, c = 1, a+b+c = 55], [a = 43, b = 12, c = 4, a+b+c = 55], [a = 43, b = 12, c = 5, a+b+c = 55], [a = 43, b = 12, c = 7, a+b+c = 55], [a = 43, b = 12, c = 8, a+b+c = 55], [a = 43, b = 12, c = 9, a+b+c = 55], [a = 43, b = 12, c = 10, a+b+c = 55], [a = 43, b = 12, c = 11, a+b+c = 55], [a = 43, b = 14, c = 1, a+b+c = 57], [a = 43, b = 14, c = 3, a+b+c = 57], [a = 43, b = 14, c = 6, a+b+c = 57], [a = 43, b = 14, c = 7, a+b+c = 57], [a = 43, b = 14, c = 9, a+b+c = 57], [a = 43, b = 14, c = 10, a+b+c = 57], [a = 43, b = 14, c = 11, a+b+c = 57], [a = 43, b = 14, c = 12, a+b+c = 57], [a = 43, b = 14, c = 13, a+b+c = 57], [a = 44, b = 3, c = 1, a+b+c = 47], [a = 44, b = 3, c = 2, a+b+c = 47], [a = 44, b = 7, c = 2, a+b+c = 51], [a = 44, b = 7, c = 3, a+b+c = 51], [a = 44, b = 7, c = 4, a+b+c = 51], [a = 44, b = 7, c = 5, a+b+c = 51], [a = 44, b = 7, c = 6, a+b+c = 51], [a = 44, b = 12, c = 5, a+b+c = 56], [a = 44, b = 12, c = 7, a+b+c = 56], [a = 44, b = 12, c = 11, a+b+c = 56], [a = 44, b = 13, c = 2, a+b+c = 57], [a = 44, b = 13, c = 5, a+b+c = 57], [a = 44, b = 13, c = 6, a+b+c = 57], [a = 44, b = 13, c = 8, a+b+c = 57], [a = 44, b = 13, c = 9, a+b+c = 57], [a = 44, b = 13, c = 10, a+b+c = 57], [a = 44, b = 13, c = 11, a+b+c = 57], [a = 44, b = 13, c = 12, a+b+c = 57], [a = 44, b = 15, c = 2, a+b+c = 59], [a = 44, b = 15, c = 7, a+b+c = 59], [a = 44, b = 15, c = 11, a+b+c = 59], [a = 44, b = 15, c = 13, a+b+c = 59], [a = 45, b = 2, c = 1, a+b+c = 47], [a = 45, b = 4, c = 2, a+b+c = 49], [a = 45, b = 4, c = 3, a+b+c = 49], [a = 45, b = 8, c = 3, a+b+c = 53], [a = 45, b = 8, c = 5, a+b+c = 53], [a = 45, b = 8, c = 7, a+b+c = 53], [a = 45, b = 13, c = 2, a+b+c = 58], [a = 45, b = 13, c = 5, a+b+c = 58], [a = 45, b = 13, c = 6, a+b+c = 58], [a = 45, b = 13, c = 8, a+b+c = 58], [a = 45, b = 13, c = 9, a+b+c = 58], [a = 45, b = 13, c = 10, a+b+c = 58], [a = 45, b = 13, c = 11, a+b+c = 58], [a = 45, b = 13, c = 12, a+b+c = 58], [a = 45, b = 14, c = 3, a+b+c = 59], [a = 45, b = 14, c = 7, a+b+c = 59], [a = 45, b = 14, c = 11, a+b+c = 59], [a = 45, b = 14, c = 13, a+b+c = 59], [a = 46, b = 3, c = 1, a+b+c = 49], [a = 46, b = 3, c = 2, a+b+c = 49], [a = 46, b = 5, c = 1, a+b+c = 51], [a = 46, b = 5, c = 2, a+b+c = 51], [a = 46, b = 5, c = 3, a+b+c = 51], [a = 46, b = 5, c = 4, a+b+c = 51], [a = 46, b = 9, c = 2, a+b+c = 55], [a = 46, b = 9, c = 5, a+b+c = 55], [a = 46, b = 9, c = 7, a+b+c = 55], [a = 46, b = 14, c = 3, a+b+c = 60], [a = 46, b = 14, c = 7, a+b+c = 60], [a = 46, b = 14, c = 11, a+b+c = 60], [a = 46, b = 14, c = 13, a+b+c = 60], [a = 47, b = 4, c = 1, a+b+c = 51], [a = 47, b = 4, c = 2, a+b+c = 51], [a = 47, b = 4, c = 3, a+b+c = 51], [a = 47, b = 6, c = 1, a+b+c = 53], [a = 47, b = 6, c = 2, a+b+c = 53], [a = 47, b = 6, c = 3, a+b+c = 53], [a = 47, b = 6, c = 4, a+b+c = 53], [a = 47, b = 6, c = 5, a+b+c = 53], [a = 47, b = 10, c = 2, a+b+c = 57], [a = 47, b = 10, c = 3, a+b+c = 57], [a = 47, b = 10, c = 5, a+b+c = 57], [a = 47, b = 10, c = 6, a+b+c = 57], [a = 47, b = 10, c = 7, a+b+c = 57], [a = 47, b = 10, c = 8, a+b+c = 57], [a = 47, b = 10, c = 9, a+b+c = 57], [a = 48, b = 5, c = 1, a+b+c = 53], [a = 48, b = 5, c = 2, a+b+c = 53], [a = 48, b = 5, c = 3, a+b+c = 53], [a = 48, b = 5, c = 4, a+b+c = 53], [a = 48, b = 7, c = 2, a+b+c = 55], [a = 48, b = 7, c = 3, a+b+c = 55], [a = 48, b = 7, c = 4, a+b+c = 55], [a = 48, b = 7, c = 5, a+b+c = 55], [a = 48, b = 7, c = 6, a+b+c = 55], [a = 48, b = 11, c = 3, a+b+c = 59], [a = 48, b = 11, c = 4, a+b+c = 59], [a = 48, b = 11, c = 6, a+b+c = 59], [a = 48, b = 11, c = 7, a+b+c = 59], [a = 48, b = 11, c = 8, a+b+c = 59], [a = 48, b = 11, c = 9, a+b+c = 59], [a = 48, b = 11, c = 10, a+b+c = 59], [a = 49, b = 2, c = 1, a+b+c = 51], [a = 49, b = 6, c = 2, a+b+c = 55], [a = 49, b = 6, c = 3, a+b+c = 55], [a = 49, b = 6, c = 5, a+b+c = 55], [a = 49, b = 8, c = 3, a+b+c = 57], [a = 49, b = 8, c = 5, a+b+c = 57], [a = 49, b = 8, c = 7, a+b+c = 57], [a = 50, b = 3, c = 1, a+b+c = 53], [a = 50, b = 3, c = 2, a+b+c = 53], [a = 50, b = 7, c = 2, a+b+c = 57], [a = 50, b = 7, c = 3, a+b+c = 57], [a = 50, b = 7, c = 4, a+b+c = 57], [a = 50, b = 7, c = 5, a+b+c = 57], [a = 50, b = 7, c = 6, a+b+c = 57], [a = 50, b = 9, c = 2, a+b+c = 59], [a = 50, b = 9, c = 5, a+b+c = 59], [a = 50, b = 9, c = 7, a+b+c = 59], [a = 51, b = 4, c = 2, a+b+c = 55], [a = 51, b = 4, c = 3, a+b+c = 55], [a = 51, b = 8, c = 3, a+b+c = 59], [a = 51, b = 8, c = 5, a+b+c = 59], [a = 51, b = 8, c = 7, a+b+c = 59], [a = 52, b = 5, c = 1, a+b+c = 57], [a = 52, b = 5, c = 2, a+b+c = 57], [a = 52, b = 5, c = 3, a+b+c = 57], [a = 52, b = 5, c = 4, a+b+c = 57], [a = 53, b = 6, c = 1, a+b+c = 59], [a = 53, b = 6, c = 2, a+b+c = 59], [a = 53, b = 6, c = 3, a+b+c = 59], [a = 53, b = 6, c = 4, a+b+c = 59], [a = 53, b = 6, c = 5, a+b+c = 59], [a = 55, b = 2, c = 1, a+b+c = 57], [a = 56, b = 3, c = 1, a+b+c = 59], [a = 56, b = 3, c = 2, a+b+c = 59]

 

2114

(7)

seq(`if`(rhs(j[4]) = rhs(sol2[4]), j, NULL), `in`(j, [sol4]))

[a = 30, b = 29, c = 6, a+b+c = 59], [a = 30, b = 29, c = 10, a+b+c = 59], [a = 30, b = 29, c = 12, a+b+c = 59], [a = 30, b = 29, c = 13, a+b+c = 59], [a = 30, b = 29, c = 16, a+b+c = 59], [a = 30, b = 29, c = 18, a+b+c = 59], [a = 30, b = 29, c = 21, a+b+c = 59], [a = 30, b = 29, c = 22, a+b+c = 59], [a = 30, b = 29, c = 24, a+b+c = 59], [a = 30, b = 29, c = 25, a+b+c = 59], [a = 30, b = 29, c = 26, a+b+c = 59], [a = 30, b = 29, c = 27, a+b+c = 59], [a = 30, b = 29, c = 28, a+b+c = 59], [a = 31, b = 28, c = 5, a+b+c = 59], [a = 31, b = 28, c = 9, a+b+c = 59], [a = 31, b = 28, c = 11, a+b+c = 59], [a = 31, b = 28, c = 12, a+b+c = 59], [a = 31, b = 28, c = 15, a+b+c = 59], [a = 31, b = 28, c = 17, a+b+c = 59], [a = 31, b = 28, c = 20, a+b+c = 59], [a = 31, b = 28, c = 21, a+b+c = 59], [a = 31, b = 28, c = 23, a+b+c = 59], [a = 31, b = 28, c = 24, a+b+c = 59], [a = 31, b = 28, c = 25, a+b+c = 59], [a = 31, b = 28, c = 26, a+b+c = 59], [a = 31, b = 28, c = 27, a+b+c = 59], [a = 32, b = 27, c = 11, a+b+c = 59], [a = 32, b = 27, c = 19, a+b+c = 59], [a = 32, b = 27, c = 23, a+b+c = 59], [a = 33, b = 26, c = 3, a+b+c = 59], [a = 33, b = 26, c = 7, a+b+c = 59], [a = 33, b = 26, c = 13, a+b+c = 59], [a = 33, b = 26, c = 19, a+b+c = 59], [a = 33, b = 26, c = 23, a+b+c = 59], [a = 35, b = 24, c = 5, a+b+c = 59], [a = 35, b = 24, c = 7, a+b+c = 59], [a = 35, b = 24, c = 11, a+b+c = 59], [a = 35, b = 24, c = 13, a+b+c = 59], [a = 35, b = 24, c = 17, a+b+c = 59], [a = 35, b = 24, c = 19, a+b+c = 59], [a = 35, b = 24, c = 23, a+b+c = 59], [a = 36, b = 23, c = 4, a+b+c = 59], [a = 36, b = 23, c = 6, a+b+c = 59], [a = 36, b = 23, c = 7, a+b+c = 59], [a = 36, b = 23, c = 10, a+b+c = 59], [a = 36, b = 23, c = 12, a+b+c = 59], [a = 36, b = 23, c = 15, a+b+c = 59], [a = 36, b = 23, c = 16, a+b+c = 59], [a = 36, b = 23, c = 18, a+b+c = 59], [a = 36, b = 23, c = 19, a+b+c = 59], [a = 36, b = 23, c = 20, a+b+c = 59], [a = 36, b = 23, c = 21, a+b+c = 59], [a = 36, b = 23, c = 22, a+b+c = 59], [a = 38, b = 21, c = 2, a+b+c = 59], [a = 38, b = 21, c = 5, a+b+c = 59], [a = 38, b = 21, c = 13, a+b+c = 59], [a = 38, b = 21, c = 17, a+b+c = 59], [a = 38, b = 21, c = 19, a+b+c = 59], [a = 39, b = 20, c = 3, a+b+c = 59], [a = 39, b = 20, c = 7, a+b+c = 59], [a = 39, b = 20, c = 13, a+b+c = 59], [a = 39, b = 20, c = 17, a+b+c = 59], [a = 39, b = 20, c = 19, a+b+c = 59], [a = 41, b = 18, c = 1, a+b+c = 59], [a = 41, b = 18, c = 2, a+b+c = 59], [a = 41, b = 18, c = 5, a+b+c = 59], [a = 41, b = 18, c = 7, a+b+c = 59], [a = 41, b = 18, c = 10, a+b+c = 59], [a = 41, b = 18, c = 11, a+b+c = 59], [a = 41, b = 18, c = 13, a+b+c = 59], [a = 41, b = 18, c = 14, a+b+c = 59], [a = 41, b = 18, c = 15, a+b+c = 59], [a = 41, b = 18, c = 16, a+b+c = 59], [a = 41, b = 18, c = 17, a+b+c = 59], [a = 44, b = 15, c = 2, a+b+c = 59], [a = 44, b = 15, c = 7, a+b+c = 59], [a = 44, b = 15, c = 11, a+b+c = 59], [a = 44, b = 15, c = 13, a+b+c = 59], [a = 45, b = 14, c = 3, a+b+c = 59], [a = 45, b = 14, c = 7, a+b+c = 59], [a = 45, b = 14, c = 11, a+b+c = 59], [a = 45, b = 14, c = 13, a+b+c = 59], [a = 48, b = 11, c = 3, a+b+c = 59], [a = 48, b = 11, c = 4, a+b+c = 59], [a = 48, b = 11, c = 6, a+b+c = 59], [a = 48, b = 11, c = 7, a+b+c = 59], [a = 48, b = 11, c = 8, a+b+c = 59], [a = 48, b = 11, c = 9, a+b+c = 59], [a = 48, b = 11, c = 10, a+b+c = 59], [a = 50, b = 9, c = 2, a+b+c = 59], [a = 50, b = 9, c = 5, a+b+c = 59], [a = 50, b = 9, c = 7, a+b+c = 59], [a = 51, b = 8, c = 3, a+b+c = 59], [a = 51, b = 8, c = 5, a+b+c = 59], [a = 51, b = 8, c = 7, a+b+c = 59], [a = 53, b = 6, c = 1, a+b+c = 59], [a = 53, b = 6, c = 2, a+b+c = 59], [a = 53, b = 6, c = 3, a+b+c = 59], [a = 53, b = 6, c = 4, a+b+c = 59], [a = 53, b = 6, c = 5, a+b+c = 59], [a = 56, b = 3, c = 1, a+b+c = 59], [a = 56, b = 3, c = 2, a+b+c = 59]

(8)

NULL

Download logProb2.mw

@9009134 

Before you start using functions such as Divergence(), VectorField(), Laplacian(), Gradient(), I suggest you get very clear in your mind the input argument types for these functions (ie vector or scalar) and the output type (again vector or scalar).

The worksheet you supplied uses the above commands six times and the arguments are of the wrong type five times. This a pretty spectacular failure rate.

Detailed explanation of these failures is given in the comment sections of the attached

As a guide the following little table lists the accptable input and output types for the various functions. NB this is is not a Maple restriction, it arises from basic vector calculus - see any textbook

Function                   Input type                     Output type
-------------------------------------------------------------------------
Gradient                     scalar                           vector
Divergence                vector                            scalar
VectorField                vector                            vector
Laplacian                   scalar                            scalar

Other points

I have no idea why you are referring to "biharmonic" anything in your post - there is no reference to "biharmonic" anything in the worksheet you supplied. This just seems "random"

Why is Maple's definition of toroidal coordinates different from Wikipedia's? Inonvenient but you have to accept that for many coordinate systems, there is no universally agreed definition. For example, if you check the Wikipedia page on spherical polar coordinates, you will find the sentence

The use of symbols and the order of the coordinates differs between sources.

because there is no universally agreed way to define something as simple as spherical polars!! Why do you expect the situation to be different for less frequently used coordinate systems??

  restart;
  with(VectorCalculus):
#
# Define coordinates
#
  X := a*sinh(tau)*cos(phi)/(cosh(tau) - cos(sigma)):
  Y := a*sinh(tau)*sin(phi)/(cosh(tau) - cos(sigma)):
  Z := a*sin(sigma)/(cosh(tau) - cos(sigma)):
#
# Set up coordinate system. NB this system which the
# OP calls "toroidal" is slightly different from the
# Maple's in-built toroidal system - hence the
# coordinate system name
#
  AddCoordinates( OPToroid[ sigma,
                            tau,
                            phi
                          ],
                 [ X, Y, Z ]):
#

#####################################################
#
# Why does the following execution group not work??
#
# The first problem is that the command sequence
#
#   Divergence
#   ( f(sigma, tau, phi),
#     OPToroid[ sigma, tau, phi ]
#   )
#
# is trying to compute the Divergence() of a scalar
# field, because f(sigma, tau, phi) is obviously the
# latter. The concept of Divergence() only exists for
# a vector field. The Divergence of a scalar field is
# mathematically completely meaningless
#
# The second problem, is that if one (successfully)
# computes the Divergence of a vector field, the result
# will be scalar field. The VectorField() command can
# only work with some kind of vector function as input
# - and you are supplying a scalar. Thus the command
# sequence
#
# VectorField(Divergence( anything ) )
#
# will always be complete mathematical nonsense
#
# The third problem is that the Laplacian() function
# requires a scalar field as input and a (functional)
# VectorField command would supply a vector field,
# so (once again) this is  complete mathematical nonsense
##########################################################
d:= simplify
      ( expand
        ( Laplacian
          ( VectorField
            ( Divergence
              ( f(sigma, tau, phi),
                OPToroid[ sigma, tau, phi ]
              ),
              OPToroid[ sigma, tau, phi ]
            )
          )
        )
      );

Error, invalid input: too many and/or wrong type of arguments passed to VectorCalculus:-Divergence; first unused argument is f(sigma, tau, phi)

 

 

###########################################################
#
# Why does the following execution group not work??
#
# The "innermost" command is fine, because the argument to
# Laplacian() is a scalar field, and thus a scalar field
# will be returned
#
# The Vectorfield command will fail, because it expects
# (some kind) of vector definition as input argument and
# is being supplied with a scalar field by the Laplacian()
# command
#
# The "outermost" command will fail, because Laplacian()
# expects a scalar field as argument, and even if the
# VectorField() command worked, it would supply a vector
# field
############################################################
d:= simplify
      ( expand
        ( Laplacian
          ( VectorField
            ( Laplacian
              ( f(sigma, tau, phi),

                OPToroid[ sigma, tau, phi ]
              ),
              OPToroid[ sigma, tau, phi ]
            )
          )
        )
      );

Error, invalid input: VectorCalculus:-VectorField expects its 1st argument, v, to be of type {Vector(algebraic), list(algebraic)}, but received (cosh(tau)-cos(sigma))^2*(-(diff(f(sigma, tau, phi), sigma))*a^2*sinh(tau)^2*sin(sigma)/((a^2*sinh(tau)^2/(cosh(tau)-cos(sigma))^2)^(1/2)*(cosh(tau)-cos(sigma))^3)+(a^2*sinh(tau)^2/(cosh(tau)-cos(sigma))^2)^(1/2)*(diff(diff(f(sigma, tau, phi), sigma), sigma))+(1/2)*(diff(f(sigma, tau, phi), tau))*(2*a^2*sinh(tau)*cosh(tau)/(cosh(tau)-cos(sigma))^2-2*a^2*sinh(tau)^3/(cosh(tau)-cos(sigma))^3)/(a^2*sinh(tau)^2/(cosh(tau)-cos(sigma))^2)^(1/2)+(a^2*sinh(tau)^2/(cosh(tau)-cos(sigma))^2)^(1/2)*(diff(diff(f(sigma, tau, phi), tau), tau))+(a^2*sinh(tau)^2/(cosh(tau)-cos(sigma))^ ... ))/sinh(tau)^2)/(a^2*(a^2*sinh(tau)^2/(cosh(tau)-cos(sigma))^2)^(1/2))

 

NULL

Download lapl5.mw

 

@Kitonum 

which adds a procedure to provide plots of the dependent variables as a function of the parameter 'E' (ie the x-axis is E) for supplied values of the independent variable 't'

NULL

restart; with(plots); r := .9; K := 10; beta := .5; g := 0.3e-1; alpha[1] := .4; alpha[2] := 2.2; alpha[3] := 4; d[1] := .1; d[2] := .1; q := 1; s := .46; delta := 1.5; b := 1.2; p := 1; c := 0.1e-1; mu := 0.25e-1; P0 := 4; M0 := 5; N0 := 3; L0 := 2; T := 20

.9

 

10

 

.5

 

0.3e-1

 

.4

 

2.2

 

4

 

.1

 

.1

 

1

 

.46

 

1.5

 

1.2

 

1

 

0.1e-1

 

0.25e-1

 

4

 

5

 

3

 

2

 

20

(1)

Model 1;

 

NULL

dP := r*P(t)*(1-P(t)/K)+g*P(t)-beta*P(t); dM := beta*P(t)-q*E*M(t)-d[1]*M(t); dN := -s*N(t)+delta*N(t)*M(t)/(M(t)+b*N(t)); dL := (alpha[1]-alpha[2]*L(t)/(alpha[3]+M(t)))*L(t)-d[2]*L(t)

satu := diff(P(t), t) = dP; dua := diff(M(t), t) = dM; tiga := diff(N(t), t) = dN; empat := diff(L(t), t) = dL

diff(P(t), t) = .9*P(t)*(1-(1/10)*P(t))-.47*P(t)

 

diff(M(t), t) = .5*P(t)-E*M(t)-.1*M(t)

 

diff(N(t), t) = -.46*N(t)+1.5*N(t)*M(t)/(M(t)+1.2*N(t))

 

diff(L(t), t) = (.4-2.2*L(t)/(4+M(t)))*L(t)-.1*L(t)

(1.1)

pdb := [satu, dua, tiga, empat]; fcns := {L(t), M(t), N(t), P(t)}

assign(seq(Q[i] = dsolve({(eval(pdb, E = 0.4e-1*i))[], L(0) = L0, M(0) = M0, N(0) = N0, P(0) = P0}, fcns, type = numeric, output = listprocedure, method = rkf45), i = 0 .. 100))

PP := seq(display(odeplot(Q[i], [[t, P(t), color = blue], [t, M(t), color = green], [t, N(t), color = red], [t, L(t), color = gold]], t = 0 .. T, thickness = 2, view = 0 .. 15), textplot([10, 14, E = 0.2e-1*i], font = [times, 16])), i = 0 .. 100)

display(PP, insequence = true, size = [800, 400])

 

#
# Supply a value of 't' as the first argument to the
# following procedure whihc will return P vs E, M vs E,
# N vs E and L vs E at that time value
#
  plotVSE:= proc(tVal, sols)
                 local j, k,
                       funcs:=[P(t), M(t), N(t), L(t)],
                       cols:=[blue, green, red, gold]:
                 uses plots;
                 return seq
                        ( pointplot
                          ( [ seq
                              ( [0.02*j, eval(funcs[k], sols[j])(tVal)],
                                j = 0 .. 100
                              )
                            ],
                            style = line,
                            color = cols[k]
                          ),
                          k=1..4
                        )
            end proc:
#
# Pick any value ot 't' you want - the following shows
# t=1 and t=5
#
  display([plotVSE(1, Q)]);
  display([plotVSE(5, Q)]);

 

 

``

``

``

Download capBreed.mw

@Carl Love 

Couldn't resist running a quick check between the two implementations of Eratosthenes sieve.

You won on memory usage (by a long way), but I won on cputime, by a smidge - so I'm going to call it a draw.

See the attached

  restart:

  sieve:= proc( N::integer ) :: list;
                local j, k, prArr:
                                description "The sieve of Eratosthenes":
              #
              # Initialise the array with all even indices
              # >=4 set to zero: other entries set to 1
              #
                prArr:= Array
                        ( 2..N,
                          [ 1,
                            1,
                            seq
                            ( '0,1',
                              j = 2..N/2
                            )
                          ]
                        ):
              #
              # cycle through all odd multiples (other than 1)
              # of all odd indices, setting the entry to 0
              #
                prArr[ [ seq
                                     ( seq
                           ( k*j,
                             j = k..N/k, 2
                           ),
                           k = 3..trunc(sqrt(N)), 2
                         )
                       ]
                     ]:= 0:
              #
              # Return the indices which have non-zero entries
              #
                return [ 2,
                         seq
                         ( `if`
                           ( prArr[j]=0,
                             NULL,
                             j
                           ),
                           j = 3..N, 2
                         )
                       ]:
                    end proc:

CodeTools:-Usage(sieve(2^14), iterations=1000):

memory used=1.07MiB, alloc change=59.50MiB, cpu time=5.18ms, real time=5.20ms, gc time=124.80us

 

restart:

#
# Carl's code
#
  EratosthenesSieve:= proc(N::posint)
# Returns list of primes <= N
   local
      # Only record data for the odds >= 3
      M:= iquo(N-1,2)
     ,prime:= rtable(1..M, fill= true)
     ,p, P, k
   ;
   for p to trunc(evalf(sqrt(N)/2)) do
      if prime[p] then
         P:= 2*p+1;
         for k from (P+1)*p by P to M do  prime[k]:= false  end do
      end if
   end do;
   [`if`(N=1,[][],2), seq(`if`(prime[p], 2*p+1, [][]), p= 1..M)]
end proc:
     
CodeTools:-Usage(EratosthenesSieve(2^14), iterations=1000):

memory used=0.55MiB, alloc change=2.00MiB, cpu time=6.02ms, real time=6.04ms, gc time=280.80us

 

 

Download sieveEXEC.mw
 

@Gabriel samaila 

The attached runs without error in Maple 2016. ("local" statements in functional operators are necessary to avoid spurious warning messages in the latest Maple release - whhc is why I had them)

I have separated out the initial conditions for i=0, so these are evaluated before the relevant 'for' loop is executed. Don't see why this is necessary since these conditions *seem* to be the same irrespective of the index value

  restart;
  interface(version);
  Physics:-Version();
  PDEtools[declare](f(x),theta(x),u(x),w(x), prime=x):
  N:= 4;

`Standard Worksheet Interface, Maple 2016.2, Windows 7, January 13 2017 Build ID 1194701`

 

"C:\Program Files\Maple 2016\lib\update.mla", `2017, January 13, 5:18 hours`

 

f(x)*`will now be displayed as`*f

 

theta(x)*`will now be displayed as`*theta

 

u(x)*`will now be displayed as`*u

 

w(x)*`will now be displayed as`*w

 

`derivatives with respect to`*x*`of functions of one variable will now be displayed with '`

 

4

(1)

  F:=      x -> add
                ( p^i*f[i](x),
                  i=0..N
                );
  Theta:=  x -> add
                ( p^i*theta[i](x),
                  i = 0..N
                );
  U:=      x -> add
                ( p^i*u[i](x),
                  i = 0..N
                );
  W:=      x -> add
                ( p^i*w[i](x),
                  i = 0 .. N
                );

proc (x) options operator, arrow; add(p^i*f[i](x), i = 0 .. N) end proc

 

proc (x) options operator, arrow; add(p^i*theta[i](x), i = 0 .. N) end proc

 

proc (x) options operator, arrow; add(p^i*u[i](x), i = 0 .. N) end proc

 

proc (x) options operator, arrow; add(p^i*w[i](x), i = 0 .. N) end proc

(2)

  HPMEq := collect
           ( (1-p)*diff(F(x), x$2)+p*(diff(F(x), x$2)-k1*diff(F(x), x)-k2*F(x)),
              p
           );
  HPMEr := collect
           ( (1-p)*diff(Theta(x),x$2)+p*(diff(Theta(x),x$2)-k11*diff(Theta(x),x)+k12*diff(U(x),x)^2+k13*diff(W(x),x)^2+k14*Theta(x)),
              p
           );
  HPMEs := collect
           ( (1-p)*diff(U(x),x$2)+p*(diff(U(x),x$2)-R*diff(U(x),x)-A-k8*W(x)-k7*U(x)+k5*Theta(x)+k6*F(x)),
              p
           );
  HPMEt := collect
           ( (1-p)*diff(W(x),x$2)+p*(diff(W(x),x$2)-R*diff(W(x),x)+k9*U(x)-k10*W(x)),
              p
           );

(-k1*(diff(f[4](x), x))-k2*f[4](x))*p^5+(-k1*(diff(f[3](x), x))-k2*f[3](x)+diff(diff(f[4](x), x), x))*p^4+(-k1*(diff(f[2](x), x))-k2*f[2](x)+diff(diff(f[3](x), x), x))*p^3+(-k1*(diff(f[1](x), x))-k2*f[1](x)+diff(diff(f[2](x), x), x))*p^2+(-k1*(diff(f[0](x), x))-k2*f[0](x)+diff(diff(f[1](x), x), x))*p+diff(diff(f[0](x), x), x)

 

(k12*(diff(u[4](x), x))^2+k13*(diff(w[4](x), x))^2)*p^9+(2*k12*(diff(u[3](x), x))*(diff(u[4](x), x))+2*k13*(diff(w[3](x), x))*(diff(w[4](x), x)))*p^8+(k12*(2*(diff(u[2](x), x))*(diff(u[4](x), x))+(diff(u[3](x), x))^2)+k13*(2*(diff(w[2](x), x))*(diff(w[4](x), x))+(diff(w[3](x), x))^2))*p^7+(k12*(2*(diff(u[1](x), x))*(diff(u[4](x), x))+2*(diff(u[2](x), x))*(diff(u[3](x), x)))+k13*(2*(diff(w[1](x), x))*(diff(w[4](x), x))+2*(diff(w[2](x), x))*(diff(w[3](x), x))))*p^6+(-k11*(diff(theta[4](x), x))+k12*(2*(diff(u[0](x), x))*(diff(u[4](x), x))+2*(diff(u[1](x), x))*(diff(u[3](x), x))+(diff(u[2](x), x))^2)+k13*(2*(diff(w[0](x), x))*(diff(w[4](x), x))+2*(diff(w[1](x), x))*(diff(w[3](x), x))+(diff(w[2](x), x))^2)+k14*theta[4](x))*p^5+(diff(diff(theta[4](x), x), x)-k11*(diff(theta[3](x), x))+k12*(2*(diff(u[0](x), x))*(diff(u[3](x), x))+2*(diff(u[1](x), x))*(diff(u[2](x), x)))+k13*(2*(diff(w[0](x), x))*(diff(w[3](x), x))+2*(diff(w[1](x), x))*(diff(w[2](x), x)))+k14*theta[3](x))*p^4+(diff(diff(theta[3](x), x), x)-k11*(diff(theta[2](x), x))+k12*(2*(diff(u[0](x), x))*(diff(u[2](x), x))+(diff(u[1](x), x))^2)+k13*(2*(diff(w[0](x), x))*(diff(w[2](x), x))+(diff(w[1](x), x))^2)+k14*theta[2](x))*p^3+(2*k12*(diff(u[0](x), x))*(diff(u[1](x), x))+2*k13*(diff(w[0](x), x))*(diff(w[1](x), x))-k11*(diff(theta[1](x), x))+k14*theta[1](x)+diff(diff(theta[2](x), x), x))*p^2+(k12*(diff(u[0](x), x))^2+k13*(diff(w[0](x), x))^2-k11*(diff(theta[0](x), x))+k14*theta[0](x)+diff(diff(theta[1](x), x), x))*p+diff(diff(theta[0](x), x), x)

 

(-k8*w[4](x)-k7*u[4](x)+k6*f[4](x)-R*(diff(u[4](x), x))+k5*theta[4](x))*p^5+(-k8*w[3](x)-k7*u[3](x)+k6*f[3](x)-R*(diff(u[3](x), x))+k5*theta[3](x)+diff(diff(u[4](x), x), x))*p^4+(-k8*w[2](x)-k7*u[2](x)+k6*f[2](x)-R*(diff(u[2](x), x))+k5*theta[2](x)+diff(diff(u[3](x), x), x))*p^3+(-k8*w[1](x)-k7*u[1](x)+k6*f[1](x)-R*(diff(u[1](x), x))+k5*theta[1](x)+diff(diff(u[2](x), x), x))*p^2+(-k8*w[0](x)-k7*u[0](x)+k6*f[0](x)-R*(diff(u[0](x), x))+k5*theta[0](x)-A+diff(diff(u[1](x), x), x))*p+diff(diff(u[0](x), x), x)

 

(-k10*w[4](x)+k9*u[4](x)-R*(diff(w[4](x), x)))*p^5+(-k10*w[3](x)+k9*u[3](x)-R*(diff(w[3](x), x))+diff(diff(w[4](x), x), x))*p^4+(-k10*w[2](x)+k9*u[2](x)-R*(diff(w[2](x), x))+diff(diff(w[3](x), x), x))*p^3+(-k10*w[1](x)+k9*u[1](x)-R*(diff(w[1](x), x))+diff(diff(w[2](x), x), x))*p^2+(-k10*w[0](x)+k9*u[0](x)-R*(diff(w[0](x), x))+diff(diff(w[1](x), x), x))*p+diff(diff(w[0](x), x), x)

(3)

#
# renamed equ[1] to equ1
#
  for i from 0 to N do
      equ1[i] := coeff(HPMEq, p, i) = 0;
  end do;
#
# renamed equa[1] to equ2
#
  for i from 0 to N do
      equ2[i] := coeff(HPMEr, p, i) = 0;
  end do;
#
# renamed equat[1] to equ3
#
  for i from 0 to N do
      equ3[i] := coeff(HPMEs, p, i) = 0;
  end do;
#
# renamed equati[1] to equ4
#
  for i from 0 to N do
      equ4[i] := coeff(HPMEt, p, i) = 0;
  end do

diff(diff(f[0](x), x), x) = 0

 

-k1*(diff(f[0](x), x))-k2*f[0](x)+diff(diff(f[1](x), x), x) = 0

 

-k1*(diff(f[1](x), x))-k2*f[1](x)+diff(diff(f[2](x), x), x) = 0

 

-k1*(diff(f[2](x), x))-k2*f[2](x)+diff(diff(f[3](x), x), x) = 0

 

-k1*(diff(f[3](x), x))-k2*f[3](x)+diff(diff(f[4](x), x), x) = 0

 

diff(diff(theta[0](x), x), x) = 0

 

k12*(diff(u[0](x), x))^2+k13*(diff(w[0](x), x))^2-k11*(diff(theta[0](x), x))+k14*theta[0](x)+diff(diff(theta[1](x), x), x) = 0

 

2*k12*(diff(u[0](x), x))*(diff(u[1](x), x))+2*k13*(diff(w[0](x), x))*(diff(w[1](x), x))-k11*(diff(theta[1](x), x))+k14*theta[1](x)+diff(diff(theta[2](x), x), x) = 0

 

diff(diff(theta[3](x), x), x)-k11*(diff(theta[2](x), x))+k12*(2*(diff(u[0](x), x))*(diff(u[2](x), x))+(diff(u[1](x), x))^2)+k13*(2*(diff(w[0](x), x))*(diff(w[2](x), x))+(diff(w[1](x), x))^2)+k14*theta[2](x) = 0

 

diff(diff(theta[4](x), x), x)-k11*(diff(theta[3](x), x))+k12*(2*(diff(u[0](x), x))*(diff(u[3](x), x))+2*(diff(u[1](x), x))*(diff(u[2](x), x)))+k13*(2*(diff(w[0](x), x))*(diff(w[3](x), x))+2*(diff(w[1](x), x))*(diff(w[2](x), x)))+k14*theta[3](x) = 0

 

diff(diff(u[0](x), x), x) = 0

 

-k8*w[0](x)-k7*u[0](x)+k6*f[0](x)-R*(diff(u[0](x), x))+k5*theta[0](x)-A+diff(diff(u[1](x), x), x) = 0

 

-k8*w[1](x)-k7*u[1](x)+k6*f[1](x)-R*(diff(u[1](x), x))+k5*theta[1](x)+diff(diff(u[2](x), x), x) = 0

 

-k8*w[2](x)-k7*u[2](x)+k6*f[2](x)-R*(diff(u[2](x), x))+k5*theta[2](x)+diff(diff(u[3](x), x), x) = 0

 

-k8*w[3](x)-k7*u[3](x)+k6*f[3](x)-R*(diff(u[3](x), x))+k5*theta[3](x)+diff(diff(u[4](x), x), x) = 0

 

diff(diff(w[0](x), x), x) = 0

 

-k10*w[0](x)+k9*u[0](x)-R*(diff(w[0](x), x))+diff(diff(w[1](x), x), x) = 0

 

-k10*w[1](x)+k9*u[1](x)-R*(diff(w[1](x), x))+diff(diff(w[2](x), x), x) = 0

 

-k10*w[2](x)+k9*u[2](x)-R*(diff(w[2](x), x))+diff(diff(w[3](x), x), x) = 0

 

-k10*w[3](x)+k9*u[3](x)-R*(diff(w[3](x), x))+diff(diff(w[4](x), x), x) = 0

(4)

#
# Sequentially solve the system(s)
#
  cons:= f[0](-1) = 1, f[0](1) = 1,
         theta[0](-1)=1, theta[0](1)=1,
         u[0](-1)=1, u[0](1)=1,
         w[0](-1)=1, w[0](1)=1:
  for i from 0 to N do
      assign(dsolve( [ equ1[i], equ2[i], equ3[i], equ4[i], cons ]));
      if i < N
      then cons:= f[i+1](-1) = 1, f[i+1](1) = 1,
                  theta[i+1](-1)=1, theta[i+1](1)=1,
                  u[i+1](-1)=1, u[i+1](1)=1,
                  w[i+1](-1)=1, w[i+1](1)=1;
      fi;
  od:

#
# What happens next??
#
# OP can access any of the "individual" functions,
# for example theta[2](x) or w[3](x), just by entering
# these expressions, as in
#
  collect(theta[2](x), x);
  collect(w[3](x), x);
#
# Or one can get the "sum" terms for these functions
# just by entering F(x), Theta(x), U(x) or W(x). These
# expresssions are a bit lengthy
#
# For example, U(x) is shown below
#
  collect(U(x), x);

(1/24)*k14^2*x^4-(1/6)*k14*k11*x^3+(-(1/4)*k14^2-(1/2)*k14)*x^2+(1/6)*k11*k14*x+(5/24)*k14^2+(1/2)*k14+1

 

1+(1/2)*k9-(1/2)*k10-(5/24)*k10*k9+(5/24)*k5*k9+(5/24)*k6*k9-(5/24)*k7*k9-(5/24)*k8*k9+(1/24)*R^2*k10-(1/24)*R^2*k9+(61/720)*k10^2*k9+(61/720)*k7^2*k9-(61/720)*k8*k9^2+(5/24)*k10^2+(61/720)*A*k10*k9+(61/720)*A*k7*k9-(61/720)*k10*k5*k9-(61/720)*k10*k6*k9+(61/720)*k10*k7*k9+(61/360)*k10*k8*k9+(61/720)*k14*k5*k9-(61/720)*k2*k6*k9-(61/720)*k5*k7*k9-(61/720)*k6*k7*k9+(61/720)*k7*k8*k9-(61/720)*k10^3+(-(17/180)*A*R*k9+(17/180)*R*k10^2-(17/180)*R*k10*k9+(17/180)*R*k5*k9+(17/180)*R*k6*k9-(17/180)*R*k7*k9-(17/180)*R*k8*k9-(1/6)*R*k10+(1/6)*R*k9)*x+(-(1/720)*k14*k5*k9+(-(1/720)*k7*k8-(1/720)*k7^2+((1/720)*k6+(1/720)*k5-(1/720)*A)*k7+(1/720)*k2*k6)*k9+(-(1/360)*k8-(1/720)*k7+(1/720)*k6+(1/720)*k5-(1/720)*A)*k9*k10-(1/720)*k10^2*k9+(1/720)*k10^3+(1/720)*k8*k9^2)*x^6+((-(1/60)*R*k8-(1/60)*R*k7+(1/60)*R*k6+(1/60)*R*k5-(1/60)*A*R)*k9-(1/60)*R*k10*k9+(1/60)*R*k10^2)*x^5+((1/48)*k14*k5*k9+(((1/48)*k7-1/24)*k8+(1/48)*k7^2+(-(1/48)*k6-(1/48)*k5-1/24+(1/48)*A)*k7+(-(1/48)*k2+1/24)*k6+(1/24)*k5-(1/24)*R^2)*k9+(((1/24)*k8+(1/48)*k7-(1/48)*k6-(1/48)*k5-1/24+(1/48)*A)*k9+(1/24)*R^2)*k10+((1/48)*k9+1/24)*k10^2-(1/48)*k10^3-(1/48)*k8*k9^2)*x^4+(((1/9)*R*k8+(1/9)*R*k7-(1/9)*R*k6-(1/9)*R*k5+((1/9)*A-1/6)*R)*k9+((1/9)*R*k9+(1/6)*R)*k10-(1/9)*R*k10^2)*x^3+(-(5/48)*k14*k5*k9+((-(5/48)*k7+1/4)*k8-(5/48)*k7^2+((5/48)*k6+(5/48)*k5+1/4-(5/48)*A)*k7+((5/48)*k2-1/4)*k6-(1/4)*k5-1/2+(1/12)*R^2)*k9+((-(5/24)*k8-(5/48)*k7+(5/48)*k6+(5/48)*k5+1/4-(5/48)*A)*k9+1/2-(1/12)*R^2)*k10+(-(5/48)*k9-1/4)*k10^2+(5/48)*k10^3+(5/48)*k8*k9^2)*x^2

 

p^4*(-(1/40320)*k2^3*k6-(1/40320)*k2^2*k6*k7+(1/40320)*k7^3*k8+(1/40320)*k7^4+(-(1/40320)*k6-(1/40320)*k5+(1/40320)*A)*k7^3+((-(1/20160)*k8^2+(-(1/20160)*k7+(1/40320)*k6+(1/40320)*k5-(1/40320)*A)*k8)*k9+(1/40320)*k7^2*k8)*k10+(-(1/20160)*k8^2*k7+(-(1/13440)*k7^2+((1/20160)*k6+(1/20160)*k5-(1/20160)*A)*k7+(1/40320)*k2*k6)*k8)*k9-(1/40320)*k14^2*k5*k7+(1/40320)*k10^3*k8+(1/40320)*k14^3*k5+(-(1/40320)*k5*k8*k9+(1/40320)*k5*k7^2)*k14+(1/40320)*k8^2*k9^2-(1/40320)*k2*k6*k7^2+(-(1/40320)*k8*k9+(1/40320)*k7*k8)*k10^2)*x^8+p^4*((-(1/2520)*k1-(1/5040)*R)*k2^2*k6+(-(1/5040)*k1-(1/2520)*R)*k2*k6*k7+(1/1680)*R*k7^2*k8+(1/1680)*R*k7^3+(-(1/1680)*R*k8*k9+(1/1680)*R*k7*k8)*k10+(-(1/1680)*k8^2*R+(-(1/840)*R*k7+(1/1680)*R*k6+(1/1680)*R*k5-(1/1680)*A*R)*k8)*k9+(-(1/2520)*k5*k11-(1/5040)*R*k5)*k14^2+((1/5040)*k11*k5*k7+(1/2520)*R*k5*k7)*k14+(-(1/1680)*R*k6-(1/1680)*R*k5+(1/1680)*A*R)*k7^2+(1/1680)*R*k10^2*k8)*x^7+(p^3*(-(1/720)*k14^2*k5+(1/720)*k14*k5*k7+(-(1/720)*k8*k9+(1/720)*k7*k8)*k10+(-(1/720)*k8^2+(-(1/360)*k7+(1/720)*k6+(1/720)*k5-(1/720)*A)*k8)*k9+(1/720)*k7^2*k8+(1/720)*k7^3+(-(1/720)*k6-(1/720)*k5+(1/720)*A)*k7^2-(1/720)*k2*k6*k7-(1/720)*k2^2*k6+(1/720)*k10^2*k8)+p^4*(((1/1440)*k2^3-(1/720)*k2^2+(-(1/720)*k1^2-(1/720)*R*k1-(1/720)*R^2)*k2)*k6+(((1/1440)*k2^2-(1/720)*k2-(1/240)*R^2)*k6-(1/240)*R^2*k5+(1/240)*A*R^2)*k7+(-(1/1440)*k7^3+(1/720)*k7^2+(1/240)*R^2*k7)*k8-(1/1440)*k7^4+((1/1440)*k6+(1/1440)*k5+1/720-(1/1440)*A)*k7^3+(((1/720)*k8^2+((1/720)*k7-(1/1440)*k6-(1/1440)*k5-1/720+(1/1440)*A)*k8)*k9+(-(1/1440)*k7^2+(1/720)*k7+(1/240)*R^2)*k8)*k10+(((1/720)*k7-1/720)*k8^2+((1/480)*k7^2+(-(1/720)*k6-(1/720)*k5-1/360+(1/720)*A)*k7+(-(1/1440)*k2+1/720)*k6+(1/720)*k5-(1/240)*R^2)*k8)*k9+((1/1440)*k5*k7-(1/720)*k5)*k14^2-(1/1440)*k10^3*k8-(1/1440)*k14^3*k5+((1/720)*k5*k11^2+(1/720)*k11*R*k5+(1/1440)*k5*k8*k9-(1/1440)*k5*k7^2+(1/720)*k5*k7+(1/720)*R^2*k5)*k14+((1/360)*k5*k10^2-(1/180)*k10*k5*k9+(1/360)*k5*k9^2)*k13-(1/1440)*k8^2*k9^2+(((1/1440)*k2-1/720)*k6-(1/720)*k5+(1/240)*R^2)*k7^2+((1/360)*k5*k8^2+((1/180)*k5*k7-(1/180)*k5*k6-(1/180)*k5^2+(1/180)*A*k5)*k8+(1/360)*k5*k7^2+(-(1/180)*k5*k6-(1/180)*k5^2+(1/180)*A*k5)*k7+(1/360)*k5*k6^2+((1/180)*k5^2-(1/180)*A*k5)*k6+(1/360)*k5^3-(1/180)*A*k5^2+(1/360)*A^2*k5)*k12+((1/1440)*k8*k9+(-(1/1440)*k7+1/720)*k8)*k10^2))*x^6+(p^3*(((1/120)*k5*k11+(1/120)*R*k5)*k14+(1/60)*R*k10*k8-(1/60)*R*k8*k9+(1/60)*R*k7*k8+(1/60)*R*k7^2+(-(1/60)*R*k6-(1/60)*R*k5+(1/60)*A*R)*k7+(-(1/120)*k1-(1/120)*R)*k2*k6)+p^4*(-(1/120)*R^3*k5+(((1/180)*k1+(1/240)*R)*k2^2+(-(1/120)*k1-(1/120)*R)*k2-(1/120)*R^3)*k6+((((1/720)*k1+(1/120)*R)*k2-(1/60)*R)*k6-(1/60)*R*k5+(1/120)*R^3)*k7+(1/120)*A*R^3+(-(7/720)*R*k7^2+(1/60)*R*k7+(1/120)*R^3)*k8-(7/720)*R*k7^3+((7/720)*R*k8*k9+(-(7/720)*R*k7+(1/60)*R)*k8)*k10+((7/720)*k8^2*R+((7/360)*R*k7-(7/720)*R*k6-(7/720)*R*k5+((7/720)*A-1/60)*R)*k8)*k9+((1/180)*k5*k11+(1/240)*R*k5)*k14^2+((-(1/720)*k5*k7+(1/120)*k5)*k11-(1/120)*R*k5*k7+(1/120)*R*k5)*k14+((7/720)*R*k6+(7/720)*R*k5+(-(7/720)*A+1/60)*R)*k7^2-(7/720)*R*k10^2*k8))*x^5+(p^2*((1/24)*A*k7+(1/24)*k10*k8+(1/24)*k14*k5-(1/24)*k2*k6-(1/24)*k5*k7-(1/24)*k6*k7+(1/24)*k7^2+(1/24)*k7*k8-(1/24)*k8*k9)+p^3*((1/48)*k14^2*k5+(-(1/48)*k5*k7+(1/24)*k5)*k14+((1/48)*k8*k9+(-(1/48)*k7+1/24)*k8)*k10+((1/48)*k8^2+((1/24)*k7-(1/48)*k6-(1/48)*k5-1/24+(1/48)*A)*k8)*k9+(-(1/48)*k7^2+(1/24)*k7+(1/24)*R^2)*k8-(1/48)*k7^3+((1/48)*k6+(1/48)*k5-(1/48)*A+1/24)*k7^2+(((1/48)*k2-1/24)*k6-(1/24)*k5+(1/24)*R^2)*k7+((1/48)*k2^2-(1/24)*k2-(1/24)*R^2)*k6-(1/24)*R^2*k5+(1/24)*A*R^2-(1/48)*k10^2*k8)+p^4*(-(1/24)*R^2*k5+(-(5/576)*k2^3+(1/48)*k2^2+((1/144)*k1^2+(1/144)*R*k1+(1/48)*R^2-1/24)*k2-(1/24)*R^2)*k6+((-(5/576)*k2^2+(1/48)*k2-1/24+(5/144)*R^2)*k6+(-1/24+(5/144)*R^2)*k5+(1/24-(5/144)*A)*R^2)*k7+((5/576)*k7^3-(1/48)*k7^2+(-(5/144)*R^2+1/24)*k7+(1/24)*R^2)*k8+(5/576)*k7^4+(-(5/576)*k6-(5/576)*k5-1/48+(5/576)*A)*k7^3+((-(5/288)*k8^2+(-(5/288)*k7+(5/576)*k6+(5/576)*k5-(5/576)*A+1/48)*k8)*k9+((5/576)*k7^2-(1/48)*k7-(5/144)*R^2+1/24)*k8)*k10+((-(5/288)*k7+1/48)*k8^2+(-(5/192)*k7^2+((5/288)*k6+(5/288)*k5+1/24-(5/288)*A)*k7+((5/576)*k2-1/48)*k6-(1/48)*k5-1/24+(5/144)*R^2)*k8)*k9+(-(5/576)*k5*k7+(1/48)*k5)*k14^2+(5/576)*k10^3*k8+(5/576)*k14^3*k5+(-(1/144)*k5*k11^2-(1/144)*k11*R*k5-(5/576)*k5*k8*k9+(5/576)*k5*k7^2-(1/48)*k5*k7+(1/24-(1/48)*R^2)*k5)*k14+(5/576)*k8^2*k9^2+((-(5/576)*k2+1/48)*k6+(1/48)*k5-(5/144)*R^2+1/24)*k7^2+(-(5/576)*k8*k9+((5/576)*k7-1/48)*k8)*k10^2))*x^4+(p^2*((1/6)*A*R-(1/6)*R*k5-(1/6)*R*k6+(1/6)*R*k7+(1/6)*R*k8)+p^3*((-(1/36)*k5*k11-(1/12)*R*k5)*k14-(1/9)*R*k10*k8+(1/9)*R*k8*k9+(-(1/9)*R*k7+(1/6)*R)*k8-(1/9)*R*k7^2+((1/9)*R*k6+(1/9)*R*k5+(1/6-(1/9)*A)*R)*k7+(((1/36)*k1+(1/12)*R)*k2-(1/6)*R)*k6-(1/6)*R*k5)+p^4*(((1/36)*R^3-(1/6)*R)*k5+((-(17/1080)*k1-(5/144)*R)*k2^2+((1/36)*k1+(1/12)*R)*k2+(1/36)*R^3-(1/6)*R)*k6+(((-(7/2160)*k1-(17/360)*R)*k2+(1/9)*R)*k6+(1/9)*R*k5+(1/6)*R-(1/36)*R^3)*k7+((109/2160)*R*k7^2-(1/9)*R*k7+(1/6)*R-(1/36)*R^3)*k8+(109/2160)*R*k7^3+(-(109/2160)*R*k8*k9+((109/2160)*R*k7-(1/9)*R)*k8)*k10+(-(109/2160)*k8^2*R+(-(109/1080)*R*k7+(109/2160)*R*k6+(109/2160)*R*k5+(-(109/2160)*A+1/9)*R)*k8)*k9+(-(17/1080)*k5*k11-(5/144)*R*k5)*k14^2+(((7/2160)*k5*k7-(1/36)*k5)*k11+(17/360)*R*k5*k7-(1/12)*R*k5)*k14+(-(109/2160)*R*k6-(109/2160)*R*k5+((109/2160)*A-1/9)*R)*k7^2+(109/2160)*R*k10^2*k8-(1/36)*A*R^3))*x^3+(p*((1/2)*k8+(1/2)*k7-(1/2)*k6-(1/2)*k5+(1/2)*A)+p^2*(-(1/4)*A*k7-(1/4)*k10*k8-(1/4)*k14*k5+(1/4)*k2*k6+(1/4)*k5*k7+(1/4)*k6*k7-(1/4)*k7^2-(1/4)*k7*k8+(1/4)*k8*k9-(1/2)*k5-(1/2)*k6+(1/2)*k7+(1/2)*k8)+p^3*(-(5/48)*k14^2*k5-(1/12)*A*R^2+((5/48)*k5*k7-(1/4)*k5)*k14+(-(5/48)*k8*k9+((5/48)*k7-1/4)*k8)*k10+(-(5/48)*k8^2+(-(5/24)*k7+(5/48)*k6+(5/48)*k5+1/4-(5/48)*A)*k8)*k9+((5/48)*k7^2-(1/4)*k7+1/2-(1/12)*R^2)*k8+(5/48)*k7^3+(-(5/48)*k6-(5/48)*k5-1/4+(5/48)*A)*k7^2+((-(5/48)*k2+1/4)*k6+(1/4)*k5+1/2-(1/12)*R^2)*k7+(-(5/48)*k2^2+(1/4)*k2-1/2+(1/12)*R^2)*k6+(-1/2+(1/12)*R^2)*k5+(5/48)*k10^2*k8)+p^4*((-1/2+(1/12)*R^2)*k5+((61/1440)*k2^3-(5/48)*k2^2+(-(1/48)*k1^2-(7/720)*R*k1-(3/80)*R^2+1/4)*k2-1/2+(1/12)*R^2)*k6+(((61/1440)*k2^2-(5/48)*k2+1/4-(49/720)*R^2)*k6+(1/4-(49/720)*R^2)*k5+1/2+((49/720)*A-1/12)*R^2)*k7+(-(61/1440)*k7^3+(5/48)*k7^2+(-1/4+(49/720)*R^2)*k7+1/2-(1/12)*R^2)*k8-(61/1440)*k7^4+((61/1440)*k6+(61/1440)*k5+5/48-(61/1440)*A)*k7^3+(((61/720)*k8^2+((61/720)*k7-(61/1440)*k6-(61/1440)*k5-5/48+(61/1440)*A)*k8)*k9+(-(61/1440)*k7^2+(5/48)*k7-1/4+(49/720)*R^2)*k8)*k10+(((61/720)*k7-5/48)*k8^2+((61/480)*k7^2+(-(61/720)*k6-(61/720)*k5-5/24+(61/720)*A)*k7+(-(61/1440)*k2+5/48)*k6+(5/48)*k5+1/4-(49/720)*R^2)*k8)*k9+((61/1440)*k5*k7-(5/48)*k5)*k14^2-(61/1440)*k10^3*k8-(61/1440)*k14^3*k5+((1/48)*k5*k11^2+(7/720)*k11*R*k5+(61/1440)*k5*k8*k9-(61/1440)*k5*k7^2+(5/48)*k5*k7+(-1/4+(3/80)*R^2)*k5)*k14+(-(1/24)*k5*k10^2+(1/12)*k10*k5*k9-(1/24)*k5*k9^2)*k13-(61/1440)*k8^2*k9^2+(((61/1440)*k2-5/48)*k6-(5/48)*k5-1/4+(49/720)*R^2)*k7^2+(-(1/24)*k5*k8^2+(-(1/12)*k5*k7+(1/12)*k5*k6+(1/12)*k5^2-(1/12)*A*k5)*k8-(1/24)*k5*k7^2+((1/12)*k5*k6+(1/12)*k5^2-(1/12)*A*k5)*k7-(1/24)*k5*k6^2+(-(1/12)*k5^2+(1/12)*A*k5)*k6-(1/24)*k5^3+(1/12)*A*k5^2-(1/24)*A^2*k5)*k12+((61/1440)*k8*k9+(-(61/1440)*k7+5/48)*k8)*k10^2))*x^2+(p^2*(-(1/6)*A*R+(1/6)*R*k5+(1/6)*R*k6-(1/6)*R*k7-(1/6)*R*k8)+p^3*((17/180)*A*R*k7+(17/180)*R*k10*k8+(3/40)*R*k14*k5-(3/40)*R*k6*k2-(17/180)*R*k5*k7-(17/180)*R*k6*k7+(17/180)*R*k7^2+(17/180)*R*k7*k8-(17/180)*R*k8*k9-(7/360)*k1*k6*k2+(7/360)*k11*k14*k5+(1/6)*R*k5+(1/6)*R*k6-(1/6)*R*k7-(1/6)*R*k8)+p^4*(-(17/180)*R*k8*k9+(17/180)*R*k10*k8+(3/40)*R*k14*k5-(17/180)*R*k5*k7-(17/180)*R*k6*k7+(17/180)*R*k7*k8+(7/360)*k11*k14*k5+(1/6)*R*k6+(17/180)*R*k7^2-(3/40)*R*k6*k2-(7/360)*k1*k6*k2-(1/6)*R*k8-(1/6)*R*k7+(1/6)*R*k5-(7/360)*R^3*k5+(7/360)*R^3*k7+(7/360)*R^3*k8-(125/3024)*R*k7^3+(2/189)*k1*k6*k2^2+(31/1008)*R*k6*k2^2+(7/360)*A*R^3-(7/360)*R^3*k6+(125/3024)*R*k10*k8*k9+(125/1512)*R*k7*k8*k9-(125/3024)*A*R*k7^2-(125/3024)*R*k10^2*k8+(31/1008)*R*k14^2*k5+(125/3024)*R*k5*k7^2+(125/3024)*R*k6*k7^2-(125/3024)*R*k7^2*k8+(125/3024)*R*k8^2*k9+(2/189)*k11*k14^2*k5+(125/3024)*A*R*k8*k9-(125/3024)*R*k10*k7*k8-(11/280)*R*k14*k5*k7+(11/280)*R*k2*k6*k7-(125/3024)*R*k5*k8*k9-(125/3024)*R*k6*k8*k9+(31/15120)*k1*k2*k6*k7-(31/15120)*k11*k14*k5*k7))*x+1+p*(-(1/2)*k8-(1/2)*k7+(1/2)*k6+(1/2)*k5-(1/2)*A+1)+p^2*((5/24)*A*k7+(5/24)*k10*k8+(5/24)*k14*k5-(5/24)*k2*k6-(5/24)*k5*k7-(5/24)*k6*k7+(5/24)*k7^2+(5/24)*k7*k8-(5/24)*k8*k9+(1/2)*k5+(1/2)*k6-(1/2)*k7-(1/2)*k8+1)+p^3*(1-(5/24)*k8*k9+(5/24)*k10*k8+(5/24)*k14*k5-(5/24)*k2*k6-(5/24)*k5*k7-(5/24)*k6*k7+(5/24)*k7*k8+(1/24)*A*R^2-(61/720)*A*k7^2-(1/24)*R^2*k5-(1/24)*R^2*k6+(1/24)*R^2*k7+(1/24)*R^2*k8-(61/720)*k10^2*k8+(61/720)*k14^2*k5+(61/720)*k2^2*k6+(61/720)*k5*k7^2+(61/720)*k6*k7^2-(61/720)*k7^2*k8+(61/720)*k8^2*k9+(5/24)*k7^2-(1/2)*k7+(1/2)*k5+(1/2)*k6-(1/2)*k8+(61/720)*k10*k8*k9+(61/360)*k7*k8*k9+(61/720)*A*k8*k9-(61/720)*k10*k7*k8-(61/720)*k14*k5*k7+(61/720)*k2*k6*k7-(61/720)*k5*k8*k9-(61/720)*k6*k8*k9-(61/720)*k7^3)+p^4*(1-(5/24)*k8*k9+(5/24)*k10*k8+(5/24)*k14*k5-(5/24)*k2*k6-(5/24)*k5*k7-(5/24)*k6*k7+(5/24)*k7*k8-(1/24)*R^2*k5-(1/24)*R^2*k6+(1/24)*R^2*k7+(1/24)*R^2*k8-(61/720)*k10^2*k8+(61/720)*k14^2*k5+(61/720)*k2^2*k6+(61/720)*k5*k7^2+(61/720)*k6*k7^2-(61/720)*k7^2*k8+(61/720)*k8^2*k9+(5/24)*k7^2-(1/2)*k7+(1/2)*k5+(1/2)*k6-(1/2)*k8+(61/720)*k10*k8*k9+(61/360)*k7*k8*k9-(61/720)*k10*k7*k8-(61/720)*k14*k5*k7+(61/720)*k2*k6*k7-(61/720)*k5*k8*k9-(61/720)*k6*k8*k9-(61/720)*k7^3-(277/8064)*A*k10*k8*k9-(7/90)*A*k12*k5*k6+(7/90)*A*k12*k5*k7+(7/90)*A*k12*k5*k8-(277/4032)*A*k7*k8*k9+(1/240)*R*k1*k2*k6-(1/240)*R*k11*k14*k5-(7/90)*k10*k13*k5*k9+(277/8064)*k10*k5*k8*k9+(277/8064)*k10*k6*k8*k9-(7/90)*k12*k5*k6*k7-(7/90)*k12*k5*k6*k8+(7/90)*k12*k5*k7*k8-(277/8064)*k14*k5*k8*k9+(277/8064)*k2*k6*k8*k9+(277/4032)*k5*k7*k8*k9+(277/4032)*k6*k7*k8*k9-(277/4032)*k7*k8^2*k9+(7/180)*A^2*k12*k5-(3/80)*A*R^2*k7-(7/90)*A*k12*k5^2-(3/80)*R^2*k10*k8-(13/720)*R^2*k14*k5+(13/720)*R^2*k2*k6+(3/80)*R^2*k5*k7+(3/80)*R^2*k6*k7-(3/80)*R^2*k7*k8+(11/720)*k1^2*k2*k6+(7/180)*k10^2*k13*k5+(277/8064)*k10^2*k7*k8+(277/8064)*k10*k7^2*k8-(277/4032)*k10*k8^2*k9-(11/720)*k11^2*k14*k5+(7/90)*k12*k5^2*k6-(7/90)*k12*k5^2*k7-(7/90)*k12*k5^2*k8+(7/180)*k12*k5*k6^2+(7/180)*k12*k5*k7^2+(7/180)*k12*k5*k8^2+(7/180)*k13*k5*k9^2-(277/8064)*k14^2*k5*k7+(277/8064)*k14*k5*k7^2-(277/8064)*k2^2*k6*k7-(277/8064)*k2*k6*k7^2+(277/8064)*A*k7^3-(3/80)*R^2*k7^2+(277/8064)*k10^3*k8+(7/180)*k12*k5^3+(277/8064)*k14^3*k5-(277/8064)*k2^3*k6-(277/8064)*k5*k7^3-(277/8064)*k6*k7^3+(277/8064)*k7^3*k8+(277/8064)*k7^4+(277/8064)*k8^2*k9^2+(3/80)*R^2*k8*k9-(277/8064)*k10^2*k8*k9-(277/2688)*k7^2*k8*k9-(277/4032)*k10*k7*k8*k9)

(5)

 

Download HOM2016.mw

 

@mugwort 

where I have tidied up a few things

Differential Geometry

restart;

#
#
# None of these are necessary - so far!
#
# So comment out
#
# with(plots):with(ArrayTools):with(VectorCalculus):

#
# Pretty much never a good idea to restrict the
# accuracy of floating point computations this way.
# Better idea - if all you want to do is clean up
# output - is to leave the Digits setting and just
# contrlm the amount of digits which MAple actually
# displays
#
#  Digits:=3:
   interface(displayPrecision=3);

3

(1)

Frenet Frame

 

vel:= proc(p)
          return diff(p,s);
      end proc:

speed:= proc(p)
             uses VectorCalculus:
             return simplify(Norm(vel(p)));
        end proc:

unitT:= proc(p)
            return simplify(vel(p)/speed(p));
        end proc:

curv:= proc(p)
            return simplify(diff(unitT(p),s));
       end proc:

kappa:= proc(p)
             uses VectorCalculus:
             return simplify(Norm(curv(p)));
        end proc:

unitN:= proc(p)
             return curv(p)/kappa(p);
        end proc:

Testing

 

#
# Assume that variable 's' is real
#
  assume(s::real);
#
# Suppress printing of trailing 'tildes' on
# variables with assumptions
#
  interface(showassumed=0):
  p := <3*arcsinh(s/5), (25+s^2)^(1/2), 4*arcsinh(s/5)>;

Vector(3, {(1) = 3*arcsinh((1/5)*s), (2) = sqrt(s^2+25), (3) = 4*arcsinh((1/5)*s)})

(1.1.1)

  vel(p);

Vector(3, {(1) = 3/sqrt(s^2+25), (2) = s/sqrt(s^2+25), (3) = 4/sqrt(s^2+25)})

(1.1.2)

curv(p);

Vector(3, {(1) = -3*s/(s^2+25)^(3/2), (2) = 25/(s^2+25)^(3/2), (3) = -4*s/(s^2+25)^(3/2)})

(1.1.3)

kappa(p);

5/(s^2+25)

(1.1.4)

unitN(p);

Vector(3, {(1) = -((3/5)*s^2+15)*s/(s^2+25)^(3/2), (2) = (5*s^2+125)/(s^2+25)^(3/2), (3) = -((4/5)*s^2+20)*s/(s^2+25)^(3/2)})

(1.1.5)

 

Download DG.mw

@acer 

For a long time, I have been living with the delusion that only the operator form of the 'if' statement was allowed in certain contexts: generally those with "special evaluation rules" - most commonly add(), mul() seq().

Hence, in these contexts, one was restricted to the three-argument limitation, as in

`if`(condition, doThis, otherwiseDoThat)

or the (very underadvertised)

ifelse(condition, doThis, otherwiseDoThat)

How this delusion arose, I have no idea:-(

@acer 

f:=x->`if`(x=0,1,-1)

will always work, but how would you get

if x=0
then 1
elif x=1
then 2;
elif x=3
then 7
else 10
fi

to work if you have to start with

f:=x->...

If that't's to difficult to understand, then write

f:= proc(x)
              if      x=0
              then return 1
              elif    x=1
              then return 2;
              elif   x=3
              then return 7
              else return 10
              fi
    end proc

as a function using -> notation. NB 'nested 'if' statements are not allowed - you have to use 'elif'

@acer 

ie any functioning  'if' statement in a mapping which has more than two 'exits'. By two 'exits' I mean

f->`if( condition, exit1, exit2)

because (obviosly) if 'elif' clauses are allowed then one can have an arbitrary number of exit points.

Similar limitation occurs when using an 'if' statement within a seq() construct

If I could get around either of these limitations to provide multiple 'exits' then my life would be so much easier, so I'd really like to see a functioning example

@9009134 

you are expected to think for yourself.

Having been shown how to calculate pretty much every vector calculus function on the planet, exactly what is your difficulty with

Laplacian(Laplacian(u)) where u is a scalar function

or

Laplacian(Divergence(u)) where  is a vector function

Use commands from the VectorCalculus() package - that is what it is designed for!

In the attached, the various execution groups

  1. defines the "new" coordinate system and add it to the coordinate systems which the VectorCalculu package understands
  2. computes the Laplacian in the "new" coordinate system, and verifies that this Laplacian is equal to that quoted in https://en.wikipedia.org/wiki/Toroidal_coordinates
  3. computes the Gradient() of a general (scalar) function in the "new" coordinate system. Also computes the Gradient of a specific (but arbitrary) scalar function - I just used a more-or-less random expression in exp(), sin(), cos(). The latter is just for illustration
  4. computes the Divergence() of a general (vector) function in the "new" coordinate system. Also computes the Divergence of a specific (but arbitrary) vector function - I just used a more-or-less random expression in exp(), sin(), cos(). The latter is just for illustration.
  5. computes the Divergence of the Gradient of a general (scalar) function in the "new" coordinate system and verifies that this is equal to the Laplacian obtained at (2) above
  6. computes the Gradient of the Divergence of a general (vector) function in the "new" coordinate system

That would seem to cover most of the possible operations in the new coordinate system!

One could probably save a little typing in the attached by using the SetCoordinates() command to specify that that the "new" (toroidal) coordinate system is the default, rather than specifying the use of this coordinate system as an option to the Divergence(), Gradient() and Laplacian() commands

#
# Initialize: load VectorCalculus
#
  restart;
  with(VectorCalculus):

#
# Define OP's "toroidal" coordinate system
#
  X := a*sinh(tau)*cos(phi)/(cosh(tau) - cos(sigma)):
  Y := a*sinh(tau)*sin(phi)/(cosh(tau) - cos(sigma)):
  Z := a*sin(sigma)/(cosh(tau) - cos(sigma)):
#
# Add OP's toroidal coordinate system to those known
# by the VectorCalculus package.
#
# NB this system which the OP calls "toroidal" is
# slightly different from the Maple's in-built toroidal
# system - so it has to be given a different "name"
#
  AddCoordinates
  ( OPToroid[ sigma, tau, phi ],
    [ X, Y, Z ]
  ):

#
# Compute the Laplacian for an arbitrary function in
# OP's toroidal system
#
  LP:= simplify
       ( expand
         ( Laplacian
           ( f(sigma, tau, phi),
             OPToroid[sigma, tau, phi]
           )
         )
       );
#
# Painfully, type in the Laplacian quoted on the
# Wikipedia page
#
# https://en.wikipedia.org/wiki/Toroidal_coordinates
#
  wiki:= simplify
         ( expand
           ( ( cosh(tau)-cos(sigma) )^3/(a^2*sinh(tau))
               *
               ( sinh(tau)*diff(diff(f(sigma,tau,phi), sigma)/(cosh(tau)-cos(sigma)),sigma)
               +
               diff( sinh(tau)*diff(f(sigma,tau,phi),tau)/(cosh(tau)-cos(sigma)),tau)
               +
               diff(f(sigma,tau,phi),phi$2)/(sinh(tau)*(cosh(tau)-cos(sigma)))
             )
           )
         );
#
# Check whether the Laplacian derived by Maple from the
# definition of the coordinate system above (ie LP) is
# the same as the Laplacian quaoted by Wikipedia (ie wiki)
#
# They *look* the same, but are they???
#
  is( wiki=LP );
#
# Laplacian of a specific (but arbitrary) function in the
# "new" coordinate system
#
  simplify
  ( expand
    ( Laplacian
      ( exp(sigma)*sin(tau)*cos(phi),
        OPToroid[sigma, tau, phi]
      )
    )
  );

-(cosh(tau)-cos(sigma))*((-cosh(tau)^3+cos(sigma)*cosh(tau)^2+cosh(tau)-cos(sigma))*(diff(diff(f(sigma, tau, phi), sigma), sigma))+(-cosh(tau)^3+cos(sigma)*cosh(tau)^2+cosh(tau)-cos(sigma))*(diff(diff(f(sigma, tau, phi), tau), tau))+(-cosh(tau)+cos(sigma))*(diff(diff(f(sigma, tau, phi), phi), phi))+(cosh(tau)^2*sin(sigma)-sin(sigma))*(diff(f(sigma, tau, phi), sigma))+(diff(f(sigma, tau, phi), tau))*sinh(tau)*(cosh(tau)*cos(sigma)-1))/(a^2*sinh(tau)^2)

 

-(cosh(tau)-cos(sigma))*((-cosh(tau)^3+cos(sigma)*cosh(tau)^2+cosh(tau)-cos(sigma))*(diff(diff(f(sigma, tau, phi), sigma), sigma))+(-cosh(tau)^3+cos(sigma)*cosh(tau)^2+cosh(tau)-cos(sigma))*(diff(diff(f(sigma, tau, phi), tau), tau))+(-cosh(tau)+cos(sigma))*(diff(diff(f(sigma, tau, phi), phi), phi))+(cosh(tau)^2*sin(sigma)-sin(sigma))*(diff(f(sigma, tau, phi), sigma))+(diff(f(sigma, tau, phi), tau))*sinh(tau)*(cosh(tau)*cos(sigma)-1))/(a^2*sinh(tau)^2)

 

true

 

exp(sigma)*(sin(tau)*sin(sigma)*cosh(tau)^2+(cos(tau)*sinh(tau)*cos(sigma)+sin(tau))*cosh(tau)+(-cos(sigma)-sin(sigma))*sin(tau)-cos(tau)*sinh(tau))*(-cosh(tau)+cos(sigma))*cos(phi)/(a^2*sinh(tau)^2)

(1)

#########################################################
# Gradient for a general function in the "new" coordinate
# system
#
  Gradient
  ( f(sigma, tau, phi),
    OPToroid[sigma, tau, phi]
  );
#
# Gradient of a specific (but arbitrary) function in the
# "new" coordinate system
#
  Gradient
  ( exp(sigma)*sin(2*tau)*cos(phi+Pi/4),
    OPToroid[sigma, tau, phi]
  );

Vector(3, {(1) = (diff(f(sigma, tau, phi), sigma))/sqrt(a^2/(cosh(tau)-cos(sigma))^2), (2) = (diff(f(sigma, tau, phi), tau))/sqrt(a^2/(cosh(tau)-cos(sigma))^2), (3) = (diff(f(sigma, tau, phi), phi))/sqrt(a^2*sinh(tau)^2/(cosh(tau)-cos(sigma))^2)})

 

Vector(3, {(1) = exp(sigma)*sin(2*tau)*cos(phi+(1/4)*Pi)/sqrt(a^2/(cosh(tau)-cos(sigma))^2), (2) = 2*exp(sigma)*cos(2*tau)*cos(phi+(1/4)*Pi)/sqrt(a^2/(cosh(tau)-cos(sigma))^2), (3) = -exp(sigma)*sin(2*tau)*sin(phi+(1/4)*Pi)/sqrt(a^2*sinh(tau)^2/(cosh(tau)-cos(sigma))^2)})

(2)

###################################################
# Divergence of a general vector field in the "new"
# coordinate system
#
  simplify
  ( expand
    ( Divergence
      ( VectorField
        ( < f(sigma, tau, phi),
            g(sigma, tau, phi),
            h(sigma, tau, phi)
          >,
          OPToroid[ sigma, tau, phi ]
        )
      )
    )
  );
#
# Divergence of a specific (but arbitrary) vector
# field in the "new" coordinate system
#
  simplify
  ( expand
    ( Divergence
      ( VectorField
        ( < exp(tau)*sin(sigma),
            exp(-tau)*cos(sigma),
            sin(sigma)*cos(phi)
          >,
          OPToroid[ sigma, tau, phi ]
        )
      )
    )
  );

-((-sinh(tau)*(cosh(tau)-cos(sigma))*(diff(f(sigma, tau, phi), sigma))-sinh(tau)*(cosh(tau)-cos(sigma))*(diff(g(sigma, tau, phi), tau))+(cosh(tau)^2+cosh(tau)*cos(sigma)-2)*g(sigma, tau, phi)+2*sin(sigma)*sinh(tau)*f(sigma, tau, phi))*(a^2*sinh(tau)^2/(cosh(tau)-cos(sigma))^2)^(1/2)-(diff(h(sigma, tau, phi), phi))*(a^2/(cosh(tau)-cos(sigma))^2)^(1/2)*sinh(tau)*(cosh(tau)-cos(sigma)))/((a^2/(cosh(tau)-cos(sigma))^2)^(1/2)*(a^2*(cosh(tau)^2-1)/(cosh(tau)-cos(sigma))^2)^(1/2)*sinh(tau)*(cosh(tau)-cos(sigma)))

 

-((((cosh(tau)-sinh(tau))*cos(sigma)+cosh(tau)^2+sinh(tau)*cosh(tau)-2)*cos(sigma)*exp(-tau)-exp(tau)*sinh(tau)*(cosh(tau)*cos(sigma)+cos(sigma)^2-2))*(a^2*sinh(tau)^2/(cosh(tau)-cos(sigma))^2)^(1/2)+sin(sigma)*(a^2/(cosh(tau)-cos(sigma))^2)^(1/2)*sin(phi)*sinh(tau)*(cosh(tau)-cos(sigma)))/((a^2*(cosh(tau)^2-1)/(cosh(tau)-cos(sigma))^2)^(1/2)*(a^2/(cosh(tau)-cos(sigma))^2)^(1/2)*sinh(tau)*(cosh(tau)-cos(sigma)))

(3)

#######################################################
# The Divergence of the Gradient of a general function
# in the "new" coordinate system.
#
# Note that the Gradient of a (scalar) function returns
# a vector function and the Divergence of a vector
# function returns a scalar function, so
#
#  Divergence(Gradient())
#
# accepts a scalar function and returns a scalar functon
#
  d:= simplify
      ( expand
        ( Divergence
          ( VectorField
            ( Gradient
              ( f(sigma, tau, phi),
                OPToroid[ sigma, tau, phi ]
              ),
              OPToroid[ sigma, tau, phi ]
            )
          )
        )
      );
#
# Check that the Divergence of the Gradient of a
# general function is equal to the Laplacian
# computed earlier
#
  is( d=LP );

-(cosh(tau)-cos(sigma))*((-cosh(tau)^3+cos(sigma)*cosh(tau)^2+cosh(tau)-cos(sigma))*(diff(diff(f(sigma, tau, phi), sigma), sigma))+(-cosh(tau)^3+cos(sigma)*cosh(tau)^2+cosh(tau)-cos(sigma))*(diff(diff(f(sigma, tau, phi), tau), tau))+(-cosh(tau)+cos(sigma))*(diff(diff(f(sigma, tau, phi), phi), phi))+(cosh(tau)^2*sin(sigma)-sin(sigma))*(diff(f(sigma, tau, phi), sigma))+(diff(f(sigma, tau, phi), tau))*sinh(tau)*(cosh(tau)*cos(sigma)-1))/(a^2*sinh(tau)^2)

 

true

(4)

########################################################
# The Gradient of the Divergence of a general function
# in the "new" coordinate system.
#
# Not that the Divergence of a (vector) function returns
# a scalar function and the Gradient of a scalar function
# returns a vector function, so
#
#  Gradient(Divergence())
#
# accepts a vector function and returns a evctor functon
#
  simplify
  ( expand
    ( Gradient
      ( Divergence
        ( VectorField
          ( < f(sigma, tau, phi),
              g(sigma, tau, phi),
              h(sigma, tau, phi)
            >,
            OPToroid[ sigma, tau, phi ]
          )
        ),
        OPToroid[ sigma, tau, phi ]
      )
    )
  );

Vector(3, {(1) = ((sinh(tau)^2*(cosh(tau)-cos(sigma))*(diff(diff(h(sigma, tau, phi), phi), sigma))+(diff(h(sigma, tau, phi), phi))*sin(sigma)*(cosh(tau)-1)*(cosh(tau)+1))*(cosh(tau)-cos(sigma))^2*sqrt(a^2/(cosh(tau)-cos(sigma))^2)*sqrt(a^2*sinh(tau)^2/(cosh(tau)-cos(sigma))^2)+a^2*(cosh(tau)-1)*((cosh(tau)^3-cos(sigma)*cosh(tau)^2-cosh(tau)+cos(sigma))*(diff(diff(f(sigma, tau, phi), sigma), sigma))+(cosh(tau)^3-cos(sigma)*cosh(tau)^2-cosh(tau)+cos(sigma))*(diff(diff(g(sigma, tau, phi), sigma), tau))-sinh(tau)*(cosh(tau)^2+cosh(tau)*cos(sigma)-2)*(diff(g(sigma, tau, phi), sigma))+(-cosh(tau)^2*sin(sigma)+sin(sigma))*(diff(f(sigma, tau, phi), sigma))+(cosh(tau)^2*sin(sigma)-sin(sigma))*(diff(g(sigma, tau, phi), tau))+(-2*cos(sigma)*cosh(tau)^2+2*cos(sigma))*f(sigma, tau, phi)+g(sigma, tau, phi)*cosh(tau)*sinh(tau)*sin(sigma))*(cosh(tau)+1))*(cosh(tau)-cos(sigma))/(a^4*sinh(tau)^4), (2) = (cosh(tau)-cos(sigma))*(sinh(tau)*(cosh(tau)-cos(sigma))^2*(sinh(tau)*(cosh(tau)-cos(sigma))*(diff(diff(h(sigma, tau, phi), phi), tau))+(diff(h(sigma, tau, phi), phi))*(cosh(tau)*cos(sigma)-1))*sqrt(a^2/(cosh(tau)-cos(sigma))^2)*sqrt(a^2*sinh(tau)^2/(cosh(tau)-cos(sigma))^2)-a^2*((-cosh(tau)^3+cos(sigma)*cosh(tau)^2+cosh(tau)-cos(sigma))*(diff(diff(f(sigma, tau, phi), sigma), tau))+(-cosh(tau)^3+cos(sigma)*cosh(tau)^2+cosh(tau)-cos(sigma))*(diff(diff(g(sigma, tau, phi), tau), tau))+(-cosh(tau)^2*sinh(tau)+sinh(tau))*(diff(f(sigma, tau, phi), sigma))+(2*cosh(tau)^2*sin(sigma)-2*sin(sigma))*(diff(f(sigma, tau, phi), tau))+sinh(tau)*(cosh(tau)*cos(sigma)-1)*(diff(g(sigma, tau, phi), tau))+g(sigma, tau, phi)*(cosh(tau)^3-cos(sigma)))*(cosh(tau)-1)*(cosh(tau)+1))/(a^4*sinh(tau)^4), (3) = ((diff(diff(h(sigma, tau, phi), phi), phi))*sqrt(a^2/(cosh(tau)-cos(sigma))^2)*(cosh(tau)-cos(sigma))^3*sqrt(a^2*sinh(tau)^2/(cosh(tau)-cos(sigma))^2)-(-2*((1/2)*cosh(tau)-1/2)*(cosh(tau)+1)*(cosh(tau)-cos(sigma))*(diff(diff(f(sigma, tau, phi), phi), sigma))-2*((1/2)*cosh(tau)-1/2)*(cosh(tau)+1)*(cosh(tau)-cos(sigma))*(diff(diff(g(sigma, tau, phi), phi), tau))+2*(cosh(tau)^2*sin(sigma)-sin(sigma))*(diff(f(sigma, tau, phi), phi))+sinh(tau)*(cosh(tau)^2+cosh(tau)*cos(sigma)-2)*(diff(g(sigma, tau, phi), phi)))*a^2)/(sqrt(a^2/(cosh(tau)-cos(sigma))^2)*sqrt(a^2*sinh(tau)^2/(cosh(tau)-cos(sigma))^2)*a^2*sinh(tau)^2*(cosh(tau)-cos(sigma)))})

(5)

 

Download lapl3.mw

if you were *consistent* in your use of coordinate labels.

  1. Your worksheet uses (r, theta, phi)
  2. The Wikipedia page which you reference uses (sigma, tau, phi)
  3. The "Jacobian" which you reference uses (theta, eta, phi)

The attached adds your coordinate system to Maple's VectorCalculus() package and computes the Laplacian.

It then compares this result with the Laplacian quoted in the Wikipedia page which you reference - the results are identical

Throughout, I have used the Wikipedia coordinate labels (sigma, tau, phi)

  restart;
  with(VectorCalculus):
#
# Define coordinates
#
  X := a*sinh(tau)*cos(phi)/(cosh(tau) - cos(sigma)):
  Y := a*sinh(tau)*sin(phi)/(cosh(tau) - cos(sigma)):
  Z := a*sin(sigma)/(cosh(tau) - cos(sigma)):
#
# Set up coordinate system. NB this system which the
# OP calls "toroidal" is slightly different from the
# Maple's in-built toroidal system - hence the
# coordinate system name
#
  AddCoordinates( OPToroid[ sigma,
                            tau,
                            phi
                          ],
                 [ X, Y, Z ]):
#
# Compute the Laplacian
#
  LP:= simplify
       ( Laplacian
         ( f(sigma, tau, phi),
           OPToroid[sigma, tau, phi]
         )
       );

-((-cosh(tau)^3+cos(sigma)*cosh(tau)^2+cosh(tau)-cos(sigma))*(diff(diff(f(sigma, tau, phi), sigma), sigma))+(-cosh(tau)^3+cos(sigma)*cosh(tau)^2+cosh(tau)-cos(sigma))*(diff(diff(f(sigma, tau, phi), tau), tau))+(-cosh(tau)+cos(sigma))*(diff(diff(f(sigma, tau, phi), phi), phi))+(cosh(tau)^2*sin(sigma)-sin(sigma))*(diff(f(sigma, tau, phi), sigma))+sinh(tau)*(diff(f(sigma, tau, phi), tau))*(cosh(tau)*cos(sigma)-1))*(cosh(tau)-cos(sigma))/(a^2*sinh(tau)^2)

(1)

#
# Painfully, type in the Laplacian quoted on the
# Wikipedia page
#
# https://en.wikipedia.org/wiki/Toroidal_coordinates
#
  wiki:=  ( cosh(tau)-cos(sigma) )^3/(a^2*sinh(tau))
          *
          ( sinh(tau)*diff(diff(f(sigma,tau,phi), sigma)/(cosh(tau)-cos(sigma)),sigma)
            +
            diff( sinh(tau)*diff(f(sigma,tau,phi),tau)/(cosh(tau)-cos(sigma)),tau)
            +
            diff(f(sigma,tau,phi),phi$2)/(sinh(tau)*(cosh(tau)-cos(sigma)))
          ):
  wiki:= simplify(expand(wiki));

-((-cosh(tau)^3+cos(sigma)*cosh(tau)^2+cosh(tau)-cos(sigma))*(diff(diff(f(sigma, tau, phi), sigma), sigma))+(-cosh(tau)^3+cos(sigma)*cosh(tau)^2+cosh(tau)-cos(sigma))*(diff(diff(f(sigma, tau, phi), tau), tau))+(-cosh(tau)+cos(sigma))*(diff(diff(f(sigma, tau, phi), phi), phi))+(cosh(tau)^2*sin(sigma)-sin(sigma))*(diff(f(sigma, tau, phi), sigma))+sinh(tau)*(diff(f(sigma, tau, phi), tau))*(cosh(tau)*cos(sigma)-1))*(cosh(tau)-cos(sigma))/(a^2*sinh(tau)^2)

(2)

#
# Check whether the Laplacian derived by Maple from the
# definition of the coordinate system above (ie LP) is
# the same as the Laplacian quaoted by Wikipedia (ie wiki)
#
# They *look* the same, but are they???
#
  is(wiki=LP);

true

(3)

 


 

Download lapl2.mw

 

If I ignore all the syntax errors in your worksheet, it seems as if you are specifying the Laplacian in general curvilinear coordinates and then applying this to a specific (new?) coordinate system.

If this is indeed the requirement, then a better approach is add the (new?) coordinate system to those known by the VectorCalculus package using its AddCoordinates() command. For this, all you need to know is the definition of the 'new' coordinate system in terms of Cartesian coordinates

Consider the 'toy' example shown in the attached

You should also be aware that the VectorCalculus package already contains definitions of many curvilinear coordinate systems which may also be used. You can examine these by entering

? VectorCalculus/Coordinates

at the Maple prompt

  restart;
  with(VectorCalculus):
  AddCoordinates(foo[u,v,w], [sqrt(u), sqrt(v), sqrt(w)]);
  Laplacian( f(u,v,w), foo[u,v,w]);

foo

 

8*(-(1/4)*(1/v)^(1/2)*(1/w)^(1/2)*(diff(f(u, v, w), u))/((1/u)^(1/2)*u)+(1/2)*(1/u)^(1/2)*(1/v)^(1/2)*(1/w)^(1/2)*(diff(f(u, v, w), u))+(1/2)*(1/u)^(1/2)*(1/v)^(1/2)*(1/w)^(1/2)*u*(diff(diff(f(u, v, w), u), u))-(1/4)*(1/u)^(1/2)*(1/w)^(1/2)*(diff(f(u, v, w), v))/((1/v)^(1/2)*v)+(1/2)*(1/u)^(1/2)*(1/v)^(1/2)*(1/w)^(1/2)*(diff(f(u, v, w), v))+(1/2)*(1/u)^(1/2)*(1/v)^(1/2)*(1/w)^(1/2)*v*(diff(diff(f(u, v, w), v), v))-(1/4)*(1/u)^(1/2)*(1/v)^(1/2)*(diff(f(u, v, w), w))/((1/w)^(1/2)*w)+(1/2)*(1/u)^(1/2)*(1/v)^(1/2)*(1/w)^(1/2)*(diff(f(u, v, w), w))+(1/2)*(1/u)^(1/2)*(1/v)^(1/2)*(1/w)^(1/2)*w*(diff(diff(f(u, v, w), w), w)))/((1/u)^(1/2)*(1/v)^(1/2)*(1/w)^(1/2))

(1)

 


 

Download lapl.mw

First 65 66 67 68 69 70 71 Last Page 67 of 207