tomleslie

13876 Reputation

20 Badges

15 years, 357 days

MaplePrimes Activity


These are replies submitted by tomleslie

on exactly how nt) and m(t) were obtained.

Suggest you upload your complete worksheet including these calculations using the big green up-arrow in the Mapleprimes toolbar

The attached worksheet

  1. fits u() and v() independently, thus producing two (different) sets of fitting parameters a_1, a_2, b_1, b_2
  2. fits u()^2+v()^2, producing a single set of fitting parameters a_1, a_2, b_1, b_2, which then apply to both of the constituent functions u() and v()


 

restart;

with(Statistics);

[AbsoluteDeviation, AgglomeratedPlot, AreaChart, AutoCorrelation, BarChart, Biplot, Bootstrap, BoxPlot, BubblePlot, CDF, CGF, CentralMoment, CharacteristicFunction, ChiSquareGoodnessOfFitTest, ChiSquareIndependenceTest, ChiSquareSuitableModelTest, ColumnGraph, Correlation, CorrelationMatrix, Count, CountMissing, Covariance, CovarianceMatrix, CrossCorrelation, Cumulant, CumulantGeneratingFunction, CumulativeDistributionFunction, CumulativeProduct, CumulativeSum, CumulativeSumChart, DataSummary, Decile, DensityPlot, DiscreteValueMap, Distribution, ErrorPlot, EvaluateToFloat, Excise, ExpectedValue, ExponentialFit, ExponentialSmoothing, FailureRate, FisherInformation, Fit, FivePointSummary, FrequencyPlot, FrequencyTable, GeometricMean, GridPlot, HarmonicMean, HazardRate, HeatMap, Histogram, HodgesLehmann, Information, InteractiveDataAnalysis, InterquartileRange, InverseSurvivalFunction, Join, KernelDensity, KernelDensityPlot, KernelDensitySample, Kurtosis, Likelihood, LikelihoodRatioStatistic, LineChart, LinearFilter, LinearFit, LogLikelihood, LogarithmicFit, Lowess, MGF, MLE, MakeProcedure, MaximumLikelihoodEstimate, Mean, MeanDeviation, Median, MedianDeviation, MillsRatio, Mode, Moment, MomentGeneratingFunction, MovingAverage, MovingMedian, MovingStatistic, NonlinearFit, NormalPlot, OneSampleChiSquareTest, OneSampleTTest, OneSampleZTest, OneWayANOVA, OrderByRank, OrderStatistic, PCA, PDF, ParetoChart, Percentile, PieChart, PointPlot, PolynomialFit, PowerFit, PredictiveLeastSquares, PrincipalComponentAnalysis, Probability, ProbabilityDensityFunction, ProbabilityFunction, ProbabilityPlot, ProfileLikelihood, ProfileLogLikelihood, QuadraticMean, Quantile, QuantilePlot, Quartile, RandomVariable, Range, Rank, Remove, RemoveInRange, RemoveNonNumeric, RepeatedMedianEstimator, RousseeuwCrouxQn, RousseeuwCrouxSn, Sample, Scale, ScatterPlot, ScatterPlot3D, Score, ScreePlot, Select, SelectInRange, SelectNonNumeric, ShapiroWilkWTest, Shuffle, Skewness, Sort, Specialize, SplitByColumn, StandardDeviation, StandardError, StandardizedMoment, SunflowerPlot, Support, SurfacePlot, SurvivalFunction, SymmetryPlot, Tally, TallyInto, TreeMap, Trim, TrimmedMean, TwoSampleFTest, TwoSamplePairedTTest, TwoSampleTTest, TwoSampleZTest, Variance, Variation, VennDiagram, ViolinPlot, WeibullPlot, WeightedMovingAverage, Winsorize, WinsorizedMean]

(1)

#
# Define the functions u() and v()
#
  u := proc(x, t)
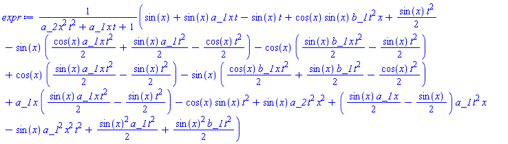
              return (sin(x)+sin(x)*a_1*x*t-sin(x)*t+cos(x)*sin(x)*b_1*t^2*x+(1/2)*sin(x)*t^2-sin(x)*((1/2)*cos(x)*a_1*x*t^2+(1/2)*sin(x)*a_1*t^2-(1/2)*cos(x)*t^2)-cos(x)*((1/2)*sin(x)*b_1*x*t^2-(1/2)*sin(x)*t^2)+cos(x)*((1/2)*sin(x)*a_1*x*t^2-(1/2)*sin(x)*t^2)-sin(x)*((1/2)*cos(x)*b_1*x*t^2+(1/2)*sin(x)*b_1*t^2-(1/2)*cos(x)*t^2)+a_1*x*((1/2)*sin(x)*a_1*x*t^2-(1/2)*sin(x)*t^2)-cos(x)*sin(x)*t^2+sin(x)*a_2*t^2*x^2+((1/2)*sin(x)*a_1*x-(1/2)*sin(x))*a_1*t^2*x-sin(x)*a_1^2*x^2*t^2+(1/2)*sin(x)^2*a_1*t^2+(1/2)*sin(x)^2*b_1*t^2)/(1+a_1*x*t+a_2*x^2*t^2);
     end proc:
  v := proc(x, t)
            return  (sin(x)+sin(x)*b_1*x*t-sin(x)*t+cos(x)*sin(x)*a_1*t^2*x+sin(x)*b_2*t^2*x^2+((1/2)*sin(x)*b_1*x-(1/2)*sin(x))*b_1*t^2*x-sin(x)*b_1^2*x^2*t^2+(1/2)*sin(x)*t^2-sin(x)*((1/2)*cos(x)*a_1*x*t^2+(1/2)*sin(x)*a_1*t^2-(1/2)*cos(x)*t^2)+cos(x)*((1/2)*sin(x)*b_1*x*t^2-(1/2)*sin(x)*t^2)-cos(x)*((1/2)*sin(x)*a_1*x*t^2-(1/2)*sin(x)*t^2)-sin(x)*((1/2)*cos(x)*b_1*x*t^2+(1/2)*sin(x)*b_1*t^2-(1/2)*cos(x)*t^2)-cos(x)*sin(x)*t^2+(1/2)*sin(x)^2*a_1*t^2+(1/2)*sin(x)^2*b_1*t^2+b_1*x*((1/2)*sin(x)*b_1*x*t^2-(1/2)*sin(x)*t^2))/(t^2*x^2*b_2+t*x*b_1+1);
        end proc:

#
# Set some values for the parametes a_1, a_2, b_1 and
# b_2. Then plot the exact functions u() and v() over the
# range x=0..20, t=0..20
#
  a_1 := 1: a_2 := 5: b_1:= 6: b_2 := 3:
  plot3d(u, 0 .. 20, 0 .. 20, color = red);
  plot3d(v, 0 .. 20, 0 .. 20, color = red);

 

 

#
# Now generate a grid of values for u(), v() and
# a notional combined function u()^2+v()^2, for the
# set of parameters defined above.
#
  uVals:= Matrix( [ seq( seq( [i, j, evalf(u(i,j))], i=0..20), j=0..20)]):
  vVals:= Matrix( [ seq( seq( [k, l, evalf(v(k,l))], k=0..20), l=0..20)]):
  uvVals:= Matrix( [ seq( seq( [i, j, evalf(u(i,j))^2+evalf(v(i,j))^2], i=0..20), j=0..20)]):

a_1 := 'a_1': a_2 := 'a_2': b_1:= 'b_1': b_2 := 'b_2':

#
# Undefine the parameters (because these are to be
# evaluated from the NonlinearFit() commands. Do this
# separately for u() and v(), which means that the
# obtained parameter values for the two fits are
# independent.
#
# Then fit the combined notional function u()^2+v()^2,
# which will produce a single set of parameters which
# for both the functions u() and v()
#
  sol1:= NonlinearFit(u(x,t), uVals, [x, t], output = parametervalues);
  sol2:= NonlinearFit(v(x, t), vVals, [x, t], output = parametervalues);
  sol3:= NonlinearFit(u(x,t)^2+v(x,t)^2, uvVals, [x, t], output = parametervalues);
#
# Plot the functions u() and v() using the parameters
# obtained by fitting these two functions separately
#
  plot3d( 'eval'(u(x, t), sol1), x=0..20, t=0..20, color=blue);
  plot3d( 'eval'(v(x, t), sol2), x=0..20, t=0..20, color = blue);
#
# Plot the functions u() and v() using the parameters
# obtained by fitting the notional function u()^2+v()^2
# In other words u() and v() are fitted simultaneously, and
# therefore use the same parameters
#
  plot3d( 'eval'(u(x,t),sol3), x=0..20, t=0..20, color=blue);
  plot3d( 'eval'(v(x,t),sol3), x=0..20, t=0..20, color=blue);

[a_1 = HFloat(1.0000000018682607), a_2 = HFloat(5.000000011305391), b_1 = HFloat(18158.794549229715)]

 

[a_1 = HFloat(123793.56174123239), b_1 = HFloat(6.00000000214351), b_2 = HFloat(3.0000000011356724)]

 

[a_1 = HFloat(1.0000000008937064), a_2 = HFloat(5.000000004669505), b_1 = HFloat(6.000000012278049), b_2 = HFloat(3.000000048952939)]

 

 

 

 

 

 

 

NULL

Download fitProb6.mw

little idea why you want to do the calculaton in a specifc (and rather complicated) way. The attached takes your worksheet pde_nonlinearfit.mw and "fixes" it so that at least everything works. Although I am not sure qhat it ultimately proves

  restart;
  with(plots):
  with(Statistics):
  with(numapprox):

#
# Set up equations and boundary/initial conditions
#
  equ1:= [ diff(U(x,t),t)-diff(U(x,t),x$2)-2*U(x,t)*diff(U(x,t),x)+diff(U(x,t),x)*V(x,t)+U(x,t)*diff(V(x,t),x),
           diff(V(x,t),t)-diff(V(x,t),x$2)-2*V(x,t)*diff(V(x,t),x)+diff(U(x,t),x)*V(x,t)+U(x,t)*diff(V(x,t),x)
         ]:
  ics:=[U(x, 0) = sin(x), V(x, 0) = sin(x)]:
  Bcs:=[U(0, t) = 0, U(1, t) = 0, V(0, t) = 0, V(1, t) = 0]:

#
# Attempt an analytic solution of this PDE system.
# This return NULL (ie no solution), very quickly!
#
# Tried removing the ics/Bcs and supplying various
# hints for separable solution, TWS etc, but didn't
# get anything (at least in the time I was prepared
# to wait
#
  sol1:=pdsolve( {equ1[], ics[], Bcs[]});
# sol1:=pdsolve( equ1, HINT=`*`);

(1)

#
# Solve this PDE system numerically, and plot the
# the functions U(x,t), V(x,t). Not a lot
# happening except at t=0
#
  sol2:=pdsolve( equ1,
                 { ics[], Bcs[] },
                 numeric
               ):
  sol2:-plot3d( U(x,t),
                x = 0..1,
                t = 0..1,
                title = U(x,t),
                titlefont = [times, bold, 20]
              );
  sol2:-plot3d( V(x,t),
                x = 0..1,
                t = 0..1,
                title = V(x,t),
                titlefont = [times, bold, 20]
              );

 

 

#
# Having already obtained a numerical solution for U(x,t)
# and V(x,t), the OP *seems* to want to obtain (another)
# numerical solution, but calculated in a rather complicated
# way. No idea why, or even if the proposed solution process
# is meaningful
#
  M := 5: N := 4:
#
# Define functions U(x,t), V(x,t) in terms of sums of other
# functions u[k](x,t) and v[k](x,t), as well as some parameters
# alpha[k] and beta[k]
#
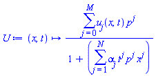
  U := (x,t) -> (sum(u[j](x,t)*p^j, j = 0 .. M))/(1+sum(alpha[j]*t^j*p^j*x^j, j = 1 .. N));
  V := (x,t) -> (sum(v[j](x,t)*p^j, j = 0 .. M))/(1+sum(beta[j]*t^j*p^j*x^j, j = 1 .. N));
#
# Now set a couple of PDEs, using U and V, which, by the above
# can/will be expressed in terms of these new functions, u[k](x,t)
# and v[k](x,t), (and the parameters alpha[k], beta[k]. Also a
# further parameter p, is introduced, although OP subsequently
# sets this to zero - No idea why
#
  HU:=  (U, V, p) -> (1-p)*diff(U, t)+p*(diff(U, t)-(diff(U, x, x))-2*U*diff(U, x)+diff(U, x)*V+U*diff(V, x)):
  HV:=  (U, V, p) -> (1-p)*diff(V, t)+p*(diff(V, t)-(diff(V, x, x))-2*V*diff(V, x)+diff(U, x)*V+U*diff(V, x)):
#
# From the above generate specific PDEs, with p=0 (Why?)
# Notice that for the specific case p=0, the resulting
# equations are really trivial
#
  eqs := eval(HU(U(x,t), V(x,t), p), p = 0) = 0,
         eval(HV(U(x,t), V(x,t), p), p = 0) = 0;
  ics := u[0](x,0) = sin(x), v[0](x,0) = sin(x):

proc (x, t) options operator, arrow; (sum(u[j](x, t)*p^j, j = 0 .. M))/(1+sum(alpha[j]*t^j*p^j*x^j, j = 1 .. N)) end proc

 

proc (x, t) options operator, arrow; (sum(v[j](x, t)*p^j, j = 0 .. M))/(1+sum(beta[j]*t^j*p^j*x^j, j = 1 .. N)) end proc

 

diff(u[0](x, t), t) = 0, diff(v[0](x, t), t) = 0

(2)

#
# Simple solution shows that both u[0](x,t) and
# v[0](x,t) are independent of 't' and can be
# arbitrary functions of 'x'
#
  sol:= pdsolve({eqs});
#
# Evaluate this solution at t=0, substitute in the
# boundary conditions
#
  isolate~(subs( ics, eval(sol, t=0)),[_F1(x), _F2(x)]);
#
# Substitute these in the original solution
#
  sol:=subs(%, sol);
#
# Double check the above by using pdetest to verify
# the solution - returns all zeros, showing that
# solution is valid for both equations and boundary/
# initial conditions
#
  pdetest( sol, [eqs, ics]);

{u[0](x, t) = _F1(x), v[0](x, t) = _F2(x)}

 

[_F1(x) = sin(x), _F2(x) = sin(x)]

 

{u[0](x, t) = sin(x), v[0](x, t) = sin(x)}

 

[0, 0, 0]

(3)

 

Download fitProb5.mw

I can fix the code in your worksheet so that

  1. it executes with no errors
  2. using numeric values for t, x[1](t), values for alpha[1]..alpha[4] can be obtianed so that U(t) and x[1](t) pretty much coincide
  3. using numeric values for t, x[2](t), values for beta[1]..beta[4] can be obtained so that V(t) and x[2](t) pretty much coincide

See the attached.

BUT I have no idea what your are going to do with this information in order to solve the partial differential system given by PDESYS in your latest response. These seem to be two entirely unrelated problems. I will however make the simple observation that PDESYS will need six boundary/initial conditions ofr a complete solution. Since you only appear to have two, I can guarantee that you aren't going to get very far!

  restart;
  with(plots):
  with(Statistics):
  with(numapprox):
#
# Why do the following two commands exist?
# Neither x1E nor x2E are used for anything,
# anywhere. Are these commands only here to
# confuse???
#
  x1E := t -> (95/47)*exp(-2*t)-(48/47)*exp(-96*t):
  x2E := t -> (48/47)*exp(-96*t)-(1/47)*exp(-2*t):

  HU := (U, V, p) -> (1-p)*(diff(U, t)+U)+p*(diff(U, t)+U-95*V):
  HV := (U, V, p) -> (1-p)*(diff(V, t)+97*V)+p*(diff(V, t)+U+97*V):
  M := 5: N := 4:
  U := t -> (sum(u[j](t)*p^j, j = 0 .. M))/(1+sum(alpha[j]*t^j*p^j, j = 1 .. N)):
  V := t -> (sum(v[j](t)*p^j, j = 0 .. M))/(1+sum(beta[j]*t^j*p^j, j = 1 .. N)):

  eqs := eval(HU(U(t), V(t), p), p = 0) = 0,
         eval(HV(U(t), V(t), p), p = 0) = 0:
  ics := u[0](0) = 1, v[0](0) = 1:
  dsolve({eqs, ics}):
  assign(%);
  for i to M do
      eqs := eval(diff(HU(U(t), V(t), p), [p$i]), p = 0) = 0,
             eval(diff(HV(U(t), V(t), p), [p$i]), p = 0) = 0;
      ics := u[i](0) = 0, v[i](0) = 0;
      dsolve({eqs, ics});
      convert(%, int);
      assign(%);
  end do:
#
# What has been achieved at this point - well one now
# has explicit expressions for U(t) and V(t), in terms
# parameters alpha[1]..alpha[4] and beta[1]..beta[4]
# respectively. The following just shows the two
# relevant expressions
#
  eval(U(t), p=1);
  eval(V(t), p=1);

((57206657/28311552)*exp(-t)*t*alpha[1]+(1723775/1769472)*exp(-t)*t^2+(2746776911/1358954496)*exp(-t)-(1387822415/1358954496)*exp(-97*t)-(18145/9216)*exp(-t)*t^3*alpha[2]+(191/96)*exp(-t)*t^4*alpha[4]-(9215/9216)*alpha[3]*t^3*exp(-97*t)-(875425/884736)*alpha[1]*t^2*exp(-97*t)-(857375/1769472)*exp(-97*t)*t^2-(95/96)*exp(-t)*t^4*alpha[3]+(9025/18432)*exp(-t)*alpha[1]*t^3-(879985/442368)*exp(-t)*alpha[1]*t^2-(451345/442368)*t^2*alpha[2]*exp(-97*t)+(18431/9216)*exp(-t)*t^3*alpha[3]-(2117645/1048576)*exp(-t)*t-(28870975/28311552)*exp(-97*t)*t-(28895105/28311552)*t*alpha[1]*exp(-97*t)+(893713/442368)*exp(-t)*t^2*alpha[2]-(95/96)*t^4*alpha[4]*exp(-97*t)-(9025/9216)*t^3*alpha[2]*exp(-97*t))/(t^4*alpha[4]+t^3*alpha[3]+t^2*alpha[2]+t*alpha[1]+1)

 

((1070867/1048576)*exp(-97*t)*t*beta[1]-(9025/1769472)*exp(-t)*t^2-(28898161/1358954496)*exp(-t)+(1387852657/1358954496)*exp(-97*t)+(875425/1769472)*exp(-97*t)*t^2+(9215/9216)*exp(-97*t)*t^3*beta[2]+(95/96)*exp(-97*t)*t^4*beta[3]+(9025/18432)*exp(-97*t)*t^3*beta[1]-(191/9216)*t^3*beta[3]*exp(-t)+(18145/884736)*t^2*beta[1]*exp(-t)+(97/96)*exp(-97*t)*t^4*beta[4]+(451345/442368)*exp(-97*t)*beta[1]*t^2-(9263/442368)*t^2*beta[2]*exp(-t)+(9407/9216)*exp(-97*t)*t^3*beta[3]+(196555/9437184)*exp(-t)*t+(28895105/28311552)*exp(-97*t)*t-(22291/1048576)*t*beta[1]*exp(-t)+(451631/442368)*exp(-97*t)*t^2*beta[2]+(95/9216)*t^3*beta[2]*exp(-t)-(1/96)*t^4*beta[4]*exp(-t))/(t^4*beta[4]+t^3*beta[3]+t^2*beta[2]+t*beta[1]+1)

(1)

#
# Now define a couple of ODEs which *seem* entirely
# unrelated to anything which has gone before. OP had
# an overly complicated method of obtaining explicit
# numerical results for 't', 'x[1](t)', and 'x[2](t)'.
# Definitely easier just to specify the option for
# dsolve() which returns an output array with values
# for t, x[1](t) and x[2](t) over the required range
# and with the required time spacing
#
  ode := diff(x[1](t), t) = -x[1](t)+95*x[2](t),
         diff(x[2](t), t) = -x[1](t)-97*x[2](t):
  ics := x[1](0) = 1,
         x[2](0) = 1:
  bb:=10: points:=8000:
  dsol := dsolve( {ics, ode},
                  numeric,
                  range = 0 .. 10,
                  output=Array( [seq( j, j=0..bb, bb/points)])
                ):

#
# Now have explicit definitions for U(t) and V(t), as well
# as numerical values value t, x[1](t) and x[2](t). OP seems
# to want to use the NonlinearFit() command to
#
#  1) use values of t and x[1](t) to fit the function U(t),
#     thereby producing values for the parameters alpha[1]..
#     alpha[4] in the latter
#  2) use values of t and x[2](t) to fit the function V(t),
#     thereby producing values for the parameters beta[1]..
#     beta[4] in the latter
#
  fitU:= NonlinearFit( eval(U(t), p=1),
                       dsol[2][1][..,1],
                       dsol[2][1][..,2],
                       t,
                       output=parametervalues
                     );
  fitV:= NonlinearFit( eval(V(t), p=1),
                       dsol[2][1][..,1],
                       dsol[2][1][..,3],
                       t,
                       output=parametervalues
                     );

[alpha[1] = HFloat(0.5452248086584119), alpha[2] = HFloat(0.29797529239042375), alpha[3] = HFloat(0.10145909476490192), alpha[4] = HFloat(0.05495662229988313)]

 

[beta[1] = HFloat(59934.44272867711), beta[2] = HFloat(49151.20087066515), beta[3] = HFloat(22007.34592866958), beta[4] = HFloat(744.7943058649856)]

(2)

#
# Plot the (numeric) values of x[1](t) and the
# function U(t)( with the parameter values of
# alpha[1]..alpha[4] obtained from the NonlinearFit
# command. The two are pretty much indistinguishable
#
  p1:= pointplot( dsol[2][1][..,1],
                  dsol[2][1][..,2],
                  connect,
                  color=red
                ):
  p2:= plot( eval
             ( U(t),
               [ p=1, fitU[] ]
             ),
             t=0..10,
             color=blue
           ):
  display( [p1, p2]);

 

#
# Plot the (numeric) values of x[2](t) and the
# function V(t)( with the parameter values of
# beta[1]..beta[4] obtained from the NonlinearFit
# command. Again, the two are pretty much
# indistinguishable
#
  p3:= pointplot( dsol[2][1][..,1],
                  dsol[2][1][..,3],
                  connect,
                  color=red
                ):
  p4:= plot( eval
             ( V(t),
               [ p=1, fitV[] ]
             ),
             t=0..10,
             color=blue
           ):
  display( [p3, p4]);

 

 

NULL

Download fitProb4.mw

 

They are two completely separate functions, which happen to depend on the same variables (x,t) and the same parameters (a_1, a_2, b_1, b_2)

The nonLinearFit() function only accepts a single model function - so you can't simultaneously minimise u(x,t) and v(x,t). The only way I can think of to achieve this is to minimise some definitely positive combination of these two functions. An obvious choice would be to minimise the single function u(x,t)^2 + v(x,t)^2. This *ought* to work, but would require you to select the same 'grid' of points for both u() and v(). In you latest post the two 'grids' are different

the same confusion between the parameter names a[1], a[2], b[1], b[2] and a_1, a_2, b_1, b_2 whihc I mentioned in my first response. I changed all references to use the latter, and worksheet now executes with no errors

restart

with(Statistics)

u := proc (x, t)
              return (sin(x)+sin(x)*a_1*x*t-sin(x)*t+cos(x)*sin(x)*b_1*t^2*x+(1/2)*sin(x)*t^2-sin(x)*((1/2)*cos(x)*a_1*x*t^2+(1/2)*sin(x)*a_1*t^2-(1/2)*cos(x)*t^2)-cos(x)*((1/2)*sin(x)*b_1*x*t^2-(1/2)*sin(x)*t^2)+cos(x)*((1/2)*sin(x)*a_1*x*t^2-(1/2)*sin(x)*t^2)-sin(x)*((1/2)*cos(x)*b_1*x*t^2+(1/2)*sin(x)*b_1*t^2-(1/2)*cos(x)*t^2)+a_1*x*((1/2)*sin(x)*a_1*x*t^2-(1/2)*sin(x)*t^2)-cos(x)*sin(x)*t^2+sin(x)*a_2*t^2*x^2+((1/2)*sin(x)*a_1*x-(1/2)*sin(x))*a_1*t^2*x-sin(x)*a_1^2*x^2*t^2+(1/2)*sin(x)^2*a_1*t^2+(1/2)*sin(x)^2*b_1*t^2)/(1+a_1*x*t+a_2*x^2*t^2);
        end proc:

v := proc (x, t)
              return  (sin(x)+sin(x)*b_1*x*t-sin(x)*t+cos(x)*sin(x)*a_1*t^2*x+sin(x)*b_2*t^2*x^2+((1/2)*sin(x)*b_1*x-(1/2)*sin(x))*b_1*t^2*x-sin(x)*b_1^2*x^2*t^2+(1/2)*sin(x)*t^2-sin(x)*((1/2)*cos(x)*a_1*x*t^2+(1/2)*sin(x)*a_1*t^2-(1/2)*cos(x)*t^2)+cos(x)*((1/2)*sin(x)*b_1*x*t^2-(1/2)*sin(x)*t^2)-cos(x)*((1/2)*sin(x)*a_1*x*t^2-(1/2)*sin(x)*t^2)-sin(x)*((1/2)*cos(x)*b_1*x*t^2+(1/2)*sin(x)*b_1*t^2-(1/2)*cos(x)*t^2)-cos(x)*sin(x)*t^2+(1/2)*sin(x)^2*a_1*t^2+(1/2)*sin(x)^2*b_1*t^2+b_1*x*((1/2)*sin(x)*b_1*x*t^2-(1/2)*sin(x)*t^2))/(t^2*x^2*b_2+t*x*b_1+1);
        end proc:

 

a_1 := 1: a_2 := 5: b_1:= 6: b_2 := 3:
NULL

Typesetting:-mparsed()

(1)

uVals := Matrix([seq( seq( [i, j, evalf(u(i,j))], i=0..40), j=0..20)]);

uVals := Matrix(861, 3, {(1, 1) = 0, (1, 2) = 0, (1, 3) = 0., (2, 1) = 1, (2, 2) = 0, (2, 3) = .8414709848, (3, 1) = 2, (3, 2) = 0, (3, 3) = .9092974268, (4, 1) = 3, (4, 2) = 0, (4, 3) = .1411200081, (5, 1) = 4, (5, 2) = 0, (5, 3) = -.7568024953, (6, 1) = 5, (6, 2) = 0, (6, 3) = -.9589242747, (7, 1) = 6, (7, 2) = 0, (7, 3) = -.2794154982, (8, 1) = 7, (8, 2) = 0, (8, 3) = .6569865987, (9, 1) = 8, (9, 2) = 0, (9, 3) = .9893582466, (10, 1) = 9, (10, 2) = 0, (10, 3) = .4121184852, (11, 1) = 10, (11, 2) = 0, (11, 3) = -.5440211109, (12, 1) = 11, (12, 2) = 0, (12, 3) = -.9999902066, (13, 1) = 12, (13, 2) = 0, (13, 3) = -.5365729180, (14, 1) = 13, (14, 2) = 0, (14, 3) = .4201670368, (15, 1) = 14, (15, 2) = 0, (15, 3) = .9906073557, (16, 1) = 15, (16, 2) = 0, (16, 3) = .6502878402, (17, 1) = 16, (17, 2) = 0, (17, 3) = -.2879033167, (18, 1) = 17, (18, 2) = 0, (18, 3) = -.9613974919, (19, 1) = 18, (19, 2) = 0, (19, 3) = -.7509872468, (20, 1) = 19, (20, 2) = 0, (20, 3) = .1498772097, (21, 1) = 20, (21, 2) = 0, (21, 3) = .9129452507, (22, 1) = 21, (22, 2) = 0, (22, 3) = .8366556385, (23, 1) = 22, (23, 2) = 0, (23, 3) = -0.8851309290e-2, (24, 1) = 23, (24, 2) = 0, (24, 3) = -.8462204042, (25, 1) = 24, (25, 2) = 0, (25, 3) = -.9055783620, (26, 1) = 25, (26, 2) = 0, (26, 3) = -.1323517501, (27, 1) = 26, (27, 2) = 0, (27, 3) = .7625584505, (28, 1) = 27, (28, 2) = 0, (28, 3) = .9563759284, (29, 1) = 28, (29, 2) = 0, (29, 3) = .2709057883, (30, 1) = 29, (30, 2) = 0, (30, 3) = -.6636338842, (31, 1) = 30, (31, 2) = 0, (31, 3) = -.9880316241, (32, 1) = 31, (32, 2) = 0, (32, 3) = -.4040376453, (33, 1) = 32, (33, 2) = 0, (33, 3) = .5514266812, (34, 1) = 33, (34, 2) = 0, (34, 3) = .9999118601, (35, 1) = 34, (35, 2) = 0, (35, 3) = .5290826861, (36, 1) = 35, (36, 2) = 0, (36, 3) = -.4281826695, (37, 1) = 36, (37, 2) = 0, (37, 3) = -.9917788534, (38, 1) = 37, (38, 2) = 0, (38, 3) = -.6435381334, (39, 1) = 38, (39, 2) = 0, (39, 3) = .2963685787, (40, 1) = 39, (40, 2) = 0, (40, 3) = .9637953863, (41, 1) = 40, (41, 2) = 0, (41, 3) = .7451131605, (42, 1) = 0, (42, 2) = 1, (42, 3) = 0., (43, 1) = 1, (43, 2) = 1, (43, 3) = .6611557740, (44, 1) = 2, (44, 2) = 1, (44, 3) = .8104607500, (45, 1) = 3, (45, 2) = 1, (45, 3) = .1310400075, (46, 1) = 4, (46, 2) = 1, (46, 3) = -.7167364808, (47, 1) = 5, (47, 2) = 1, (47, 3) = -.9186640954, (48, 1) = 6, (48, 2) = 1, (48, 3) = -.2697031948, (49, 1) = 7, (49, 2) = 1, (49, 3) = .6375107114, (50, 1) = 8, (50, 2) = 1, (50, 3) = .9637973192, (51, 1) = 9, (51, 2) = 1, (51, 3) = .4026844476, (52, 1) = 10, (52, 2) = 1, (52, 3) = -.5328425950, (53, 1) = 11, (53, 2) = 1, (53, 3) = -.9813518154, (54, 1) = 12, (54, 2) = 1, (54, 3) = -.5274226294, (55, 1) = 13, (55, 2) = 1, (55, 3) = .4135637132, (56, 1) = 14, (56, 2) = 1, (56, 3) = .9761713692, (57, 1) = 15, (57, 2) = 1, (57, 3) = .6414539563, (58, 1) = 16, (58, 2) = 1, (58, 3) = -.2842407071, (59, 1) = 17, (59, 2) = 1, (59, 3) = -.9498975218, (60, 1) = 18, (60, 2) = 1, (60, 3) = -.7425105757, (61, 1) = 19, (61, 2) = 1, (61, 3) = .1482757820, (62, 1) = 20, (62, 2) = 1, (62, 3) = .9036847966, (63, 1) = 21, (63, 2) = 1, (63, 3) = .8285783613, (64, 1) = 22, (64, 2) = 1, (64, 3) = -0.8769788840e-2, (65, 1) = 23, (65, 2) = 1, (65, 3) = -.8387696063, (66, 1) = 24, (66, 2) = 1, (66, 3) = -.8979409541, (67, 1) = 25, (67, 2) = 1, (67, 3) = -.1312806713, (68, 1) = 26, (68, 2) = 1, (68, 3) = .7566271915, (69, 1) = 27, (69, 2) = 1, (69, 3) = .9492154770, (70, 1) = 28, (70, 2) = 1, (70, 3) = .2689506566, (71, 1) = 29, (71, 2) = 1, (71, 3) = -.6590111688, (72, 1) = 30, (72, 2) = 1, (72, 3) = -.9813807821, (73, 1) = 31, (73, 2) = 1, (73, 3) = -.4014064305, (74, 1) = 32, (74, 2) = 1, (74, 3) = .5479488299, (75, 1) = 33, (75, 2) = 1, (75, 3) = .9937981445, (76, 1) = 34, (76, 2) = 1, (76, 3) = .5259436744, (77, 1) = 35, (77, 2) = 1, (77, 3) = -.4257154588, (78, 1) = 36, (78, 2) = 1, (78, 3) = -.9862241614, (79, 1) = 37, (79, 2) = 1, (79, 3) = -.6400320054, (80, 1) = 38, (80, 2) = 1, (80, 3) = .2947967105, (81, 1) = 39, (81, 2) = 1, (81, 3) = .9588156716, (82, 1) = 40, (82, 2) = 1, (82, 3) = .7413602587, (83, 1) = 0, (83, 2) = 2, (83, 3) = 0., (84, 1) = 1, (84, 2) = 2, (84, 3) = .6951282045, (85, 1) = 2, (85, 2) = 2, (85, 3) = .8237164926, (86, 1) = 3, (86, 2) = 2, (86, 3) = .1320641786, (87, 1) = 4, (87, 2) = 2, (87, 3) = -.7199975108, (88, 1) = 5, (88, 2) = 2, (88, 3) = -.9213929920, (89, 1) = 6, (89, 2) = 2, (89, 3) = -.2702668325, (90, 1) = 7, (90, 2) = 2, (90, 3) = .6384985335, (91, 1) = 8, (91, 2) = 2, (91, 3) = .9649484827, (92, 1) = 9, (92, 2) = 2, (92, 3) = .4030664623, (93, 1) = 10, (93, 2) = 2, (93, 3) = -.5332537460, (94, 1) = 11, (94, 2) = 2, (94, 3) = -.9819797402, (95, 1) = 12, (95, 2) = 2, (95, 3) = -.5277069972, (96, 1) = 13, (96, 2) = 2, (96, 3) = .4137541557, (97, 1) = 14, (97, 2) = 2, (97, 3) = .9765597458, (98, 1) = 15, (98, 2) = 2, (98, 3) = .6416766572, (99, 1) = 16, (99, 2) = 2, (99, 3) = -.2843275720, (100, 1) = 17, (100, 2) = 2, (100, 3) = -.9501550105, (101, 1) = 18, (101, 2) = 2, (101, 3) = -.7426903186, (102, 1) = 19, (102, 2) = 2, (102, 3) = .1483080310, (103, 1) = 20, (103, 2) = 2, (103, 3) = .9038623480, (104, 1) = 21, (104, 2) = 2, (104, 3) = .8287261481, (105, 1) = 22, (105, 2) = 2, (105, 3) = -0.8771215180e-2, (106, 1) = 23, (106, 2) = 2, (106, 3) = -.8388945101, (107, 1) = 24, (107, 2) = 2, (107, 3) = -.8980638384, (108, 1) = 25, (108, 2) = 2, (108, 3) = -.1312972385, (109, 1) = 26, (109, 2) = 2, (109, 3) = .7567155212, (110, 1) = 27, (110, 2) = 2, (110, 3) = .9493182858, (111, 1) = 28, (111, 2) = 2, (111, 3) = .2689777558, (112, 1) = 29, (112, 2) = 2, (112, 3) = -.6590730969, (113, 1) = 30, (113, 2) = 2, (113, 3) = -.9814669934, (114, 1) = 31, (114, 2) = 2, (114, 3) = -.4014394672, (115, 1) = 32, (115, 2) = 2, (115, 3) = .5479911682, (116, 1) = 33, (116, 2) = 2, (116, 3) = .9938703731, (117, 1) = 34, (117, 2) = 2, (117, 3) = .5259796957, (118, 1) = 35, (118, 2) = 2, (118, 3) = -.4257429815, (119, 1) = 36, (119, 2) = 2, (119, 3) = -.9862844452, (120, 1) = 37, (120, 2) = 2, (120, 3) = -.6400690514, (121, 1) = 38, (121, 2) = 2, (121, 3) = .2948128918, (122, 1) = 39, (122, 2) = 2, (122, 3) = .9588656482, (123, 1) = 40, (123, 2) = 2, (123, 3) = .7413970012, (124, 1) = 0, (124, 2) = 3, (124, 3) = 0., (125, 1) = 1, (125, 2) = 3, (125, 3) = .7126744057, (126, 1) = 2, (126, 2) = 3, (126, 3) = .8290653010, (127, 1) = 3, (127, 2) = 3, (127, 3) = .1324487787, (128, 1) = 4, (128, 2) = 3, (128, 3) = -.7211821866, (129, 1) = 5, (129, 2) = 3, (129, 3) = -.9223658120, (130, 1) = 6, (130, 2) = 3, (130, 3) = -.2704653373, (131, 1) = 7, (131, 2) = 3, (131, 3) = .6388435021, (132, 1) = 8, (132, 2) = 3, (132, 3) = .9653480034, (133, 1) = 9, (133, 2) = 3, (133, 3) = .4031984146, (134, 1) = 10, (134, 2) = 3, (134, 3) = -.5333952296, (135, 1) = 11, (135, 2) = 3, (135, 3) = -.9821951629, (136, 1) = 12, (136, 2) = 3, (136, 3) = -.5278043104, (137, 1) = 13, (137, 2) = 3, (137, 3) = .4138191894, (138, 1) = 14, (138, 2) = 3, (138, 3) = .9766921334, (139, 1) = 15, (139, 2) = 3, (139, 3) = .6417524526, (140, 1) = 16, (140, 2) = 3, (140, 3) = -.2843570964, (141, 1) = 17, (141, 2) = 3, (141, 3) = -.9502424241, (142, 1) = 18, (142, 2) = 3, (142, 3) = -.7427512746, (143, 1) = 19, (143, 2) = 3, (143, 3) = .1483189573, (144, 1) = 20, (144, 2) = 3, (144, 3) = .9039224543, (145, 1) = 21, (145, 2) = 3, (145, 3) = .8287761402, (146, 1) = 22, (146, 2) = 3, (146, 3) = -0.8771697340e-2, (147, 1) = 23, (147, 2) = 3, (147, 3) = -.8389367061, (148, 1) = 24, (148, 2) = 3, (148, 3) = -.8981053285, (149, 1) = 25, (149, 2) = 3, (149, 3) = -.1313028292, (150, 1) = 26, (150, 2) = 3, (150, 3) = .7567453143, (151, 1) = 27, (151, 2) = 3, (151, 3) = .9493529470, (152, 1) = 28, (152, 2) = 3, (152, 3) = .2689868882, (153, 1) = 29, (153, 2) = 3, (153, 3) = -.6590939588, (154, 1) = 30, (154, 2) = 3, (154, 3) = -.9814960253, (155, 1) = 31, (155, 2) = 3, (155, 3) = -.4014505887, (156, 1) = 32, (156, 2) = 3, (156, 3) = .5480054164, (157, 1) = 33, (157, 2) = 3, (157, 3) = .9938946734, (158, 1) = 34, (158, 2) = 3, (158, 3) = .5259918111, (159, 1) = 35, (159, 2) = 3, (159, 3) = -.4257522361, (160, 1) = 36, (160, 2) = 3, (160, 3) = -.9863047107, (161, 1) = 37, (161, 2) = 3, (161, 3) = -.6400815026, (162, 1) = 38, (162, 2) = 3, (162, 3) = .2948183289, (163, 1) = 39, (163, 2) = 3, (163, 3) = .9588824378, (164, 1) = 40, (164, 2) = 3, (164, 3) = .7414093425, (165, 1) = 0, (165, 2) = 4, (165, 3) = 0., (166, 1) = 1, (166, 2) = 4, (166, 3) = .7226750809, (167, 1) = 2, (167, 2) = 4, (167, 3) = .8319104117, (168, 1) = 3, (168, 2) = 4, (168, 3) = .1326489571, (169, 1) = 4, (169, 2) = 4, (169, 3) = -.7217923567, (170, 1) = 5, (170, 2) = 4, (170, 3) = -.9228637873, (171, 1) = 6, (171, 2) = 4, (171, 3) = -.2705665392, (172, 1) = 7, (172, 2) = 4, (172, 3) = .6390188720, (173, 1) = 8, (173, 2) = 4, (173, 3) = .9655506739, (174, 1) = 9, (174, 2) = 4, (174, 3) = .4032652417, (175, 1) = 10, (175, 2) = 4, (175, 3) = -.5334667902, (176, 1) = 11, (176, 2) = 4, (176, 3) = -.9823040045, (177, 1) = 12, (177, 2) = 4, (177, 3) = -.5278534343, (178, 1) = 13, (178, 2) = 4, (178, 3) = .4138519940, (179, 1) = 14, (179, 2) = 4, (179, 3) = .9767588700, (180, 1) = 15, (180, 2) = 4, (180, 3) = .6417906401, (181, 1) = 16, (181, 2) = 4, (181, 3) = -.2843719643, (182, 1) = 17, (182, 2) = 4, (182, 3) = -.9502864252, (183, 1) = 18, (183, 2) = 4, (183, 3) = -.7427819461, (184, 1) = 19, (184, 2) = 4, (184, 3) = .1483244535, (185, 1) = 20, (185, 2) = 4, (185, 3) = .9039526788, (186, 1) = 21, (186, 2) = 4, (186, 3) = .8288012720, (187, 1) = 22, (187, 2) = 4, (187, 3) = -0.8771939669e-2, (188, 1) = 23, (188, 2) = 4, (188, 3) = -.8389579086, (189, 1) = 24, (189, 2) = 4, (189, 3) = -.8981261720, (190, 1) = 25, (190, 2) = 4, (190, 3) = -.1313056374, (191, 1) = 26, (191, 2) = 4, (191, 3) = .7567602762, (192, 1) = 27, (192, 2) = 4, (192, 3) = .9493703508, (193, 1) = 28, (193, 2) = 4, (193, 3) = .2689914730, (194, 1) = 29, (194, 2) = 4, (194, 3) = -.6591044306, (195, 1) = 30, (195, 2) = 4, (195, 3) = -.9815105962, (196, 1) = 31, (196, 2) = 4, (196, 3) = -.4014561697, (197, 1) = 32, (197, 2) = 4, (197, 3) = .5480125658, (198, 1) = 33, (198, 2) = 4, (198, 3) = .9939068652, (199, 1) = 34, (199, 2) = 4, (199, 3) = .5259978889, (200, 1) = 35, (200, 2) = 4, (200, 3) = -.4257568784, (201, 1) = 36, (201, 2) = 4, (201, 3) = -.9863148755, (202, 1) = 37, (202, 2) = 4, (202, 3) = -.6400877470, (203, 1) = 38, (203, 2) = 4, (203, 3) = .2948210558, (204, 1) = 39, (204, 2) = 4, (204, 3) = .9588908570, (205, 1) = 40, (205, 2) = 4, (205, 3) = .7414155304, (206, 1) = 0, (206, 2) = 5, (206, 3) = 0., (207, 1) = 1, (207, 2) = 5, (207, 3) = .7290607391, (208, 1) = 2, (208, 2) = 5, (208, 3) = .8336709284, (209, 1) = 3, (209, 2) = 5, (209, 3) = .1327715413, (210, 1) = 4, (210, 2) = 5, (210, 3) = -.7221640832, (211, 1) = 5, (211, 2) = 5, (211, 3) = -.9231662289, (212, 1) = 6, (212, 2) = 5, (212, 3) = -.2706278778, (213, 1) = 7, (213, 2) = 5, (213, 3) = .6391250088, (214, 1) = 8, (214, 2) = 5, (214, 3) = .9656731996, (215, 1) = 9, (215, 2) = 5, (215, 3) = .4033056083, (216, 1) = 10, (216, 2) = 5, (216, 3) = -.5335099868, (217, 1) = 11, (217, 2) = 5, (217, 3) = -.9823696691, (218, 1) = 12, (218, 2) = 5, (218, 3) = -.5278830570, (219, 1) = 13, (219, 2) = 5, (219, 3) = .4138717683, (220, 1) = 14, (220, 2) = 5, (220, 3) = .9767990849, (221, 1) = 15, (221, 2) = 5, (221, 3) = .6418136450, (222, 1) = 16, (222, 2) = 5, (222, 3) = -.2843809186, (223, 1) = 17, (223, 2) = 5, (223, 3) = -.9503129194, (224, 1) = 18, (224, 2) = 5, (224, 3) = -.7428004108, (225, 1) = 19, (225, 2) = 5, (225, 3) = .1483277615, (226, 1) = 20, (226, 2) = 5, (226, 3) = .9039708682, (227, 1) = 21, (227, 2) = 5, (227, 3) = .8288163944, (228, 1) = 22, (228, 2) = 5, (228, 3) = -0.8772085466e-2, (229, 1) = 23, (229, 2) = 5, (229, 3) = -.8389706634, (230, 1) = 24, (230, 2) = 5, (230, 3) = -.8981387096, (231, 1) = 25, (231, 2) = 5, (231, 3) = -.1313073263, (232, 1) = 26, (232, 2) = 5, (232, 3) = .7567692738, (233, 1) = 27, (233, 2) = 5, (233, 3) = .9493808163, (234, 1) = 28, (234, 2) = 5, (234, 3) = .2689942298, (235, 1) = 29, (235, 2) = 5, (235, 3) = -.6591107267, (236, 1) = 30, (236, 2) = 5, (236, 3) = -.9815193563, (237, 1) = 31, (237, 2) = 5, (237, 3) = -.4014595250, (238, 1) = 32, (238, 2) = 5, (238, 3) = .5480168635, (239, 1) = 33, (239, 2) = 5, (239, 3) = .9939141938, (240, 1) = 34, (240, 2) = 5, (240, 3) = .5260015421, (241, 1) = 35, (241, 2) = 5, (241, 3) = -.4257596685, (242, 1) = 36, (242, 2) = 5, (242, 3) = -.9863209846, (243, 1) = 37, (243, 2) = 5, (243, 3) = -.6400914999, (244, 1) = 38, (244, 2) = 5, (244, 3) = .2948226945, (245, 1) = 39, (245, 2) = 5, (245, 3) = .9588959164, (246, 1) = 40, (246, 2) = 5, (246, 3) = .7414192488, (247, 1) = 0, (247, 2) = 6, (247, 3) = 0., (248, 1) = 1, (248, 2) = 6, (248, 3) = .7334747084, (249, 1) = 2, (249, 2) = 6, (249, 3) = .8348665324, (250, 1) = 3, (250, 2) = 6, (250, 3) = .1328542846, (251, 1) = 4, (251, 2) = 6, (251, 3) = -.7224142234, (252, 1) = 5, (252, 2) = 6, (252, 3) = -.9233693691, (253, 1) = 6, (253, 2) = 6, (253, 3) = -.2706690256, (254, 1) = 7, (254, 2) = 6, (254, 3) = .6391961459, (255, 1) = 8, (255, 2) = 6, (255, 3) = .9657552667, (256, 1) = 9, (256, 2) = 6, (256, 3) = .4033326316, (257, 1) = 10, (257, 2) = 6, (257, 3) = -.5335388925, (258, 1) = 11, (258, 2) = 6, (258, 3) = -.9824135947, (259, 1) = 12, (259, 2) = 6, (259, 3) = -.5279028674, (260, 1) = 13, (260, 2) = 6, (260, 3) = .4138849892, (261, 1) = 14, (261, 2) = 6, (261, 3) = .9768259669, (262, 1) = 15, (262, 2) = 6, (262, 3) = .6418290197, (263, 1) = 16, (263, 2) = 6, (263, 3) = -.2843869021, (264, 1) = 17, (264, 2) = 6, (264, 3) = -.9503306215, (265, 1) = 18, (265, 2) = 6, (265, 3) = -.7428127462, (266, 1) = 19, (266, 2) = 6, (266, 3) = .1483299714, (267, 1) = 20, (267, 2) = 6, (267, 3) = .9039830173, (268, 1) = 21, (268, 2) = 6, (268, 3) = .8288264940, (269, 1) = 22, (269, 2) = 6, (269, 3) = -0.8772182826e-2, (270, 1) = 23, (270, 2) = 6, (270, 3) = -.8389791805, (271, 1) = 24, (271, 2) = 6, (271, 3) = -.8981470808, (272, 1) = 25, (272, 2) = 6, (272, 3) = -.1313084540, (273, 1) = 26, (273, 2) = 6, (273, 3) = .7567752812, (274, 1) = 27, (274, 2) = 6, (274, 3) = .9493878028, (275, 1) = 28, (275, 2) = 6, (275, 3) = .2689960702, (276, 1) = 29, (276, 2) = 6, (276, 3) = -.6591149296, (277, 1) = 30, (277, 2) = 6, (277, 3) = -.9815252037, (278, 1) = 31, (278, 2) = 6, (278, 3) = -.4014617644, (279, 1) = 32, (279, 2) = 6, (279, 3) = .5480197320, (280, 1) = 33, (280, 2) = 6, (280, 3) = .9939190849, (281, 1) = 34, (281, 2) = 6, (281, 3) = .5260039804, (282, 1) = 35, (282, 2) = 6, (282, 3) = -.4257615307, (283, 1) = 36, (283, 2) = 6, (283, 3) = -.9863250614, (284, 1) = 37, (284, 2) = 6, (284, 3) = -.6400940042, (285, 1) = 38, (285, 2) = 6, (285, 3) = .2948237879, (286, 1) = 39, (286, 2) = 6, (286, 3) = .9588992923, (287, 1) = 40, (287, 2) = 6, (287, 3) = .7414217301, (288, 1) = 0, (288, 2) = 7, (288, 3) = 0., (289, 1) = 1, (289, 2) = 7, (289, 3) = .7367028582, (290, 1) = 2, (290, 2) = 7, (290, 3) = .8357311526, (291, 1) = 3, (291, 2) = 7, (291, 3) = .1329138828, (292, 1) = 4, (292, 2) = 7, (292, 3) = -.7225940261, (293, 1) = 5, (293, 2) = 7, (293, 3) = -.9235152060, (294, 1) = 6, (294, 2) = 7, (294, 3) = -.2706985418, (295, 1) = 7, (295, 2) = 7, (295, 3) = .6392471430, (296, 1) = 8, (296, 2) = 7, (296, 3) = .9658140727, (297, 1) = 9, (297, 2) = 7, (297, 3) = .4033519887, (298, 1) = 10, (298, 2) = 7, (298, 3) = -.5335595921, (299, 1) = 11, (299, 2) = 7, (299, 3) = -.9824450431, (300, 1) = 12, (300, 2) = 7, (300, 3) = -.5279170478, (301, 1) = 13, (301, 2) = 7, (301, 3) = .4138944513, (302, 1) = 14, (302, 2) = 7, (302, 3) = .9768452031, (303, 1) = 15, (303, 2) = 7, (303, 3) = .6418400205, (304, 1) = 16, (304, 2) = 7, (304, 3) = -.2843911832, (305, 1) = 17, (305, 2) = 7, (305, 3) = -.9503432846, (306, 1) = 18, (306, 2) = 7, (306, 3) = -.7428215699, (307, 1) = 19, (307, 2) = 7, (307, 3) = .1483315518, (308, 1) = 20, (308, 2) = 7, (308, 3) = .9039917063, (309, 1) = 21, (309, 2) = 7, (309, 3) = .8288337167, (310, 1) = 22, (310, 2) = 7, (310, 3) = -0.8772252454e-2, (311, 1) = 23, (311, 2) = 7, (311, 3) = -.8389852709, (312, 1) = 24, (312, 2) = 7, (312, 3) = -.8981530668, (313, 1) = 25, (313, 2) = 7, (313, 3) = -.1313092601, (314, 1) = 26, (314, 2) = 7, (314, 3) = .7567795763, (315, 1) = 27, (315, 2) = 7, (315, 3) = .9493927983, (316, 1) = 28, (316, 2) = 7, (316, 3) = .2689973859, (317, 1) = 29, (317, 2) = 7, (317, 3) = -.6591179343, (318, 1) = 30, (318, 2) = 7, (318, 3) = -.9815293840, (319, 1) = 31, (319, 2) = 7, (319, 3) = -.4014633654, (320, 1) = 32, (320, 2) = 7, (320, 3) = .5480217826, (321, 1) = 33, (321, 2) = 7, (321, 3) = .9939225813, (322, 1) = 34, (322, 2) = 7, (322, 3) = .5260057232, (323, 1) = 35, (323, 2) = 7, (323, 3) = -.4257628618, (324, 1) = 36, (324, 2) = 7, (324, 3) = -.9863279756, (325, 1) = 37, (325, 2) = 7, (325, 3) = -.6400957943, (326, 1) = 38, (326, 2) = 7, (326, 3) = .2948245694, (327, 1) = 39, (327, 2) = 7, (327, 3) = .9589017056, (328, 1) = 40, (328, 2) = 7, (328, 3) = .7414235036, (329, 1) = 0, (329, 2) = 8, (329, 3) = 0., (330, 1) = 1, (330, 2) = 8, (330, 3) = .7391644826, (331, 1) = 2, (331, 2) = 8, (331, 3) = .8363853741, (332, 1) = 3, (332, 2) = 8, (332, 3) = .1329588510, (333, 1) = 4, (333, 2) = 8, (333, 3) = -.7227294934, (334, 1) = 5, (334, 2) = 8, (334, 3) = -.9236249854, (335, 1) = 6, (335, 2) = 8, (335, 3) = -.2707207468, (336, 1) = 7, (336, 2) = 8, (336, 3) = .6392854919, (337, 1) = 8, (337, 2) = 8, (337, 3) = .9658582795, (338, 1) = 9, (338, 2) = 8, (338, 3) = .4033665365, (339, 1) = 10, (339, 2) = 8, (339, 3) = -.5335751458, (340, 1) = 11, (340, 2) = 8, (340, 3) = -.9824686693, (341, 1) = 12, (341, 2) = 8, (341, 3) = -.5279276995, (342, 1) = 13, (342, 2) = 8, (342, 3) = .4139015580, (343, 1) = 14, (343, 2) = 8, (343, 3) = .9768596497, (344, 1) = 15, (344, 2) = 8, (344, 3) = .6418482813, (345, 1) = 16, (345, 2) = 8, (345, 3) = -.2843943974, (346, 1) = 17, (346, 2) = 8, (346, 3) = -.9503527925, (347, 1) = 18, (347, 2) = 8, (347, 3) = -.7428281944, (348, 1) = 19, (348, 2) = 8, (348, 3) = .1483327383, (349, 1) = 20, (349, 2) = 8, (349, 3) = .9039982291, (350, 1) = 21, (350, 2) = 8, (350, 3) = .8288391386, (351, 1) = 22, (351, 2) = 8, (351, 3) = -0.8772304717e-2, (352, 1) = 23, (352, 2) = 8, (352, 3) = -.8389898425, (353, 1) = 24, (353, 2) = 8, (353, 3) = -.8981575597, (354, 1) = 25, (354, 2) = 8, (354, 3) = -.1313098655, (355, 1) = 26, (355, 2) = 8, (355, 3) = .7567827999, (356, 1) = 27, (356, 2) = 8, (356, 3) = .9493965472, (357, 1) = 28, (357, 2) = 8, (357, 3) = .2689983733, (358, 1) = 29, (358, 2) = 8, (358, 3) = -.6591201892, (359, 1) = 30, (359, 2) = 8, (359, 3) = -.9815325210, (360, 1) = 31, (360, 2) = 8, (360, 3) = -.4014645668, (361, 1) = 32, (361, 2) = 8, (361, 3) = .5480233213, (362, 1) = 33, (362, 2) = 8, (362, 3) = .9939252052, (363, 1) = 34, (363, 2) = 8, (363, 3) = .5260070311, (364, 1) = 35, (364, 2) = 8, (364, 3) = -.4257638605, (365, 1) = 36, (365, 2) = 8, (365, 3) = -.9863301624, (366, 1) = 37, (366, 2) = 8, (366, 3) = -.6400971376, (367, 1) = 38, (367, 2) = 8, (367, 3) = .2948251559, (368, 1) = 39, (368, 2) = 8, (368, 3) = .9589035162, (369, 1) = 40, (369, 2) = 8, (369, 3) = .7414248343, (370, 1) = 0, (370, 2) = 9, (370, 3) = 0., (371, 1) = 1, (371, 2) = 9, (371, 3) = .7411027588, (372, 1) = 2, (372, 2) = 9, (372, 3) = .8368976012, (373, 1) = 3, (373, 2) = 9, (373, 3) = .1329939853, (374, 1) = 4, (374, 2) = 9, (374, 3) = -.7228352205, (375, 1) = 5, (375, 2) = 9, (375, 3) = -.9237106069, (376, 1) = 6, (376, 2) = 9, (376, 3) = -.2707380576, (377, 1) = 7, (377, 2) = 9, (377, 3) = .6393153784, (378, 1) = 8, (378, 2) = 9, (378, 3) = .9658927228, (379, 1) = 9, (379, 2) = 9, (379, 3) = .4033778689, (380, 1) = 10, (380, 2) = 9, (380, 3) = -.5335872601, (381, 1) = 11, (381, 2) = 9, (381, 3) = -.9824870687, (382, 1) = 12, (382, 2) = 9, (382, 3) = -.5279359940, (383, 1) = 13, (383, 2) = 9, (383, 3) = .4139070915, (384, 1) = 14, (384, 2) = 9, (384, 3) = .9768708971, (385, 1) = 15, (385, 2) = 9, (385, 3) = .6418547125, (386, 1) = 16, (386, 2) = 9, (386, 3) = -.2843968998, (387, 1) = 17, (387, 2) = 9, (387, 3) = -.9503601936, (388, 1) = 18, (388, 2) = 9, (388, 3) = -.7428333509, (389, 1) = 19, (389, 2) = 9, (389, 3) = .1483336619, (390, 1) = 20, (390, 2) = 9, (390, 3) = .9040033060, (391, 1) = 21, (391, 2) = 9, (391, 3) = .8288433586, (392, 1) = 22, (392, 2) = 9, (392, 3) = -0.8772345393e-2, (393, 1) = 23, (393, 2) = 9, (393, 3) = -.8389934003, (394, 1) = 24, (394, 2) = 9, (394, 3) = -.8981610563, (395, 1) = 25, (395, 2) = 9, (395, 3) = -.1313103364, (396, 1) = 26, (396, 2) = 9, (396, 3) = .7567853084, (397, 1) = 27, (397, 2) = 9, (397, 3) = .9493994646, (398, 1) = 28, (398, 2) = 9, (398, 3) = .2689991418, (399, 1) = 29, (399, 2) = 9, (399, 3) = -.6591219441, (400, 1) = 30, (400, 2) = 9, (400, 3) = -.9815349624, (401, 1) = 31, (401, 2) = 9, (401, 3) = -.4014655017, (402, 1) = 32, (402, 2) = 9, (402, 3) = .5480245187, (403, 1) = 33, (403, 2) = 9, (403, 3) = .9939272468, (404, 1) = 34, (404, 2) = 9, (404, 3) = .5260080488, (405, 1) = 35, (405, 2) = 9, (405, 3) = -.4257646377, (406, 1) = 36, (406, 2) = 9, (406, 3) = -.9863318639, (407, 1) = 37, (407, 2) = 9, (407, 3) = -.6400981828, (408, 1) = 38, (408, 2) = 9, (408, 3) = .2948256122, (409, 1) = 39, (409, 2) = 9, (409, 3) = .9589049250, (410, 1) = 40, (410, 2) = 9, (410, 3) = .7414258698, (411, 1) = 0, (411, 2) = 10, (411, 3) = 0., (412, 1) = 1, (412, 2) = 10, (412, 3) = .7426681298, (413, 1) = 2, (413, 2) = 10, (413, 3) = .8373095059, (414, 1) = 3, (414, 2) = 10, (414, 3) = .1330221926, (415, 1) = 4, (415, 2) = 10, (415, 3) = -.7229200306, (416, 1) = 5, (416, 2) = 10, (416, 3) = -.9237792531, (417, 1) = 6, (417, 2) = 10, (417, 3) = -.2707519314, (418, 1) = 7, (418, 2) = 10, (418, 3) = .6393393253, (419, 1) = 8, (419, 2) = 10, (419, 3) = .9659203155, (420, 1) = 9, (420, 2) = 10, (420, 3) = .4033869463, (421, 1) = 10, (421, 2) = 10, (421, 3) = -.5335969622, (422, 1) = 11, (422, 2) = 10, (422, 3) = -.9825018032, (423, 1) = 12, (423, 2) = 10, (423, 3) = -.5279426358, (424, 1) = 13, (424, 2) = 10, (424, 3) = .4139115221, (425, 1) = 14, (425, 2) = 10, (425, 3) = .9768799024, (426, 1) = 15, (426, 2) = 10, (426, 3) = .6418598613, (427, 1) = 16, (427, 2) = 10, (427, 3) = -.2843989030, (428, 1) = 17, (428, 2) = 10, (428, 3) = -.9503661184, (429, 1) = 18, (429, 2) = 10, (429, 3) = -.7428374785, (430, 1) = 19, (430, 2) = 10, (430, 3) = .1483344012, (431, 1) = 20, (431, 2) = 10, (431, 3) = .9040073698, (432, 1) = 21, (432, 2) = 10, (432, 3) = .8288467363, (433, 1) = 22, (433, 2) = 10, (433, 3) = -0.8772377950e-2, (434, 1) = 23, (434, 2) = 10, (434, 3) = -.8389962479, (435, 1) = 24, (435, 2) = 10, (435, 3) = -.8981638549, (436, 1) = 25, (436, 2) = 10, (436, 3) = -.1313107133, (437, 1) = 26, (437, 2) = 10, (437, 3) = .7567873163, (438, 1) = 27, (438, 2) = 10, (438, 3) = .9494017994, (439, 1) = 28, (439, 2) = 10, (439, 3) = .2689997567, (440, 1) = 29, (440, 2) = 10, (440, 3) = -.6591233482, (441, 1) = 30, (441, 2) = 10, (441, 3) = -.9815369159, (442, 1) = 31, (442, 2) = 10, (442, 3) = -.4014662499, (443, 1) = 32, (443, 2) = 10, (443, 3) = .5480254772, (444, 1) = 33, (444, 2) = 10, (444, 3) = .9939288808, (445, 1) = 34, (445, 2) = 10, (445, 3) = .5260088631, (446, 1) = 35, (446, 2) = 10, (446, 3) = -.4257652597, (447, 1) = 36, (447, 2) = 10, (447, 3) = -.9863332255, (448, 1) = 37, (448, 2) = 10, (448, 3) = -.6400990191, (449, 1) = 38, (449, 2) = 10, (449, 3) = .2948259774, (450, 1) = 39, (450, 2) = 10, (450, 3) = .9589060524, (451, 1) = 40, (451, 2) = 10, (451, 3) = .7414266981, (452, 1) = 0, (452, 2) = 11, (452, 3) = 0., (453, 1) = 1, (453, 2) = 11, (453, 3) = .7439585449, (454, 1) = 2, (454, 2) = 11, (454, 3) = .8376479161, (455, 1) = 3, (455, 2) = 11, (455, 3) = .1330453372, (456, 1) = 4, (456, 2) = 11, (456, 3) = -.7229895714, (457, 1) = 5, (457, 2) = 11, (457, 3) = -.9238355166, (458, 1) = 6, (458, 2) = 11, (458, 3) = -.2707632995, (459, 1) = 7, (459, 2) = 11, (459, 3) = .6393589429, (460, 1) = 8, (460, 2) = 11, (460, 3) = .9659429164, (461, 1) = 9, (461, 2) = 11, (461, 3) = .4033943804, (462, 1) = 10, (462, 2) = 11, (462, 3) = -.5336049075, (463, 1) = 11, (463, 2) = 11, (463, 3) = -.9825138684, (464, 1) = 12, (464, 2) = 11, (464, 3) = -.5279480738, (465, 1) = 13, (465, 2) = 11, (465, 3) = .4139151496, (466, 1) = 14, (466, 2) = 11, (466, 3) = .9768872750, (467, 1) = 15, (467, 2) = 11, (467, 3) = .6418640765, (468, 1) = 16, (468, 2) = 11, (468, 3) = -.2844005428, (469, 1) = 17, (469, 2) = 11, (469, 3) = -.9503709685, (470, 1) = 18, (470, 2) = 11, (470, 3) = -.7428408575, (471, 1) = 19, (471, 2) = 11, (471, 3) = .1483350064, (472, 1) = 20, (472, 2) = 11, (472, 3) = .9040106962, (473, 1) = 21, (473, 2) = 11, (473, 3) = .8288495011, (474, 1) = 22, (474, 2) = 11, (474, 3) = -0.8772404599e-2, (475, 1) = 23, (475, 2) = 11, (475, 3) = -.8389985788, (476, 1) = 24, (476, 2) = 11, (476, 3) = -.8981661455, (477, 1) = 25, (477, 2) = 11, (477, 3) = -.1313110218, (478, 1) = 26, (478, 2) = 11, (478, 3) = .7567889596, (479, 1) = 27, (479, 2) = 11, (479, 3) = .9494037104, (480, 1) = 28, (480, 2) = 11, (480, 3) = .2690002600, (481, 1) = 29, (481, 2) = 11, (481, 3) = -.6591244978, (482, 1) = 30, (482, 2) = 11, (482, 3) = -.9815385149, (483, 1) = 31, (483, 2) = 11, (483, 3) = -.4014668621, (484, 1) = 32, (484, 2) = 11, (484, 3) = .5480262613, (485, 1) = 33, (485, 2) = 11, (485, 3) = .9939302179, (486, 1) = 34, (486, 2) = 11, (486, 3) = .5260095297, (487, 1) = 35, (487, 2) = 11, (487, 3) = -.4257657688, (488, 1) = 36, (488, 2) = 11, (488, 3) = -.9863343399, (489, 1) = 37, (489, 2) = 11, (489, 3) = -.6400997036, (490, 1) = 38, (490, 2) = 11, (490, 3) = .2948262764, (491, 1) = 39, (491, 2) = 11, (491, 3) = .9589069749, (492, 1) = 40, (492, 2) = 11, (492, 3) = .7414273762, (493, 1) = 0, (493, 2) = 12, (493, 3) = 0., (494, 1) = 1, (494, 2) = 12, (494, 3) = .7450404762, (495, 1) = 2, (495, 2) = 12, (495, 3) = .8379308817, (496, 1) = 3, (496, 2) = 12, (496, 3) = .1330646693, (497, 1) = 4, (497, 2) = 12, (497, 3) = -.7230476256, (498, 1) = 5, (498, 2) = 12, (498, 3) = -.9238824707, (499, 1) = 6, (499, 2) = 12, (499, 3) = -.2707727845, (500, 1) = 7, (500, 2) = 12, (500, 3) = .6393753079, (501, 1) = 8, (501, 2) = 12, (501, 3) = .9659617677, (502, 1) = 9, (502, 2) = 12, (502, 3) = .4034005806, (503, 1) = 10, (503, 2) = 12, (503, 3) = -.5336115335, (504, 1) = 11, (504, 2) = 12, (504, 3) = -.9825239297, (505, 1) = 12, (505, 2) = 12, (505, 3) = -.5279526087, (506, 1) = 13, (506, 2) = 12, (506, 3) = .4139181742, (507, 1) = 14, (507, 2) = 12, (507, 3) = .9768934219, (508, 1) = 15, (508, 2) = 12, (508, 3) = .6418675907, (509, 1) = 16, (509, 2) = 12, (509, 3) = -.2844019101, (510, 1) = 17, (510, 2) = 12, (510, 3) = -.9503750121, (511, 1) = 18, (511, 2) = 12, (511, 3) = -.7428436745, (512, 1) = 19, (512, 2) = 12, (512, 3) = .1483355110, (513, 1) = 20, (513, 2) = 12, (513, 3) = .9040134693, (514, 1) = 21, (514, 2) = 12, (514, 3) = .8288518057, (515, 1) = 22, (515, 2) = 12, (515, 3) = -0.8772426814e-2, (516, 1) = 23, (516, 2) = 12, (516, 3) = -.8390005217, (517, 1) = 24, (517, 2) = 12, (517, 3) = -.8981680548, (518, 1) = 25, (518, 2) = 12, (518, 3) = -.1313112791, (519, 1) = 26, (519, 2) = 12, (519, 3) = .7567903293, (520, 1) = 27, (520, 2) = 12, (520, 3) = .9494053034, (521, 1) = 28, (521, 2) = 12, (521, 3) = .2690006796, (522, 1) = 29, (522, 2) = 12, (522, 3) = -.6591254558, (523, 1) = 30, (523, 2) = 12, (523, 3) = -.9815398475, (524, 1) = 31, (524, 2) = 12, (524, 3) = -.4014673726, (525, 1) = 32, (525, 2) = 12, (525, 3) = .5480269150, (526, 1) = 33, (526, 2) = 12, (526, 3) = .9939313324, (527, 1) = 34, (527, 2) = 12, (527, 3) = .5260100852, (528, 1) = 35, (528, 2) = 12, (528, 3) = -.4257661929, (529, 1) = 36, (529, 2) = 12, (529, 3) = -.9863352687, (530, 1) = 37, (530, 2) = 12, (530, 3) = -.6401002742, (531, 1) = 38, (531, 2) = 12, (531, 3) = .2948265255, (532, 1) = 39, (532, 2) = 12, (532, 3) = .9589077441, (533, 1) = 40, (533, 2) = 12, (533, 3) = .7414279414, (534, 1) = 0, (534, 2) = 13, (534, 3) = 0., (535, 1) = 1, (535, 2) = 13, (535, 3) = .7459605996, (536, 1) = 2, (536, 2) = 13, (536, 3) = .8381709917, (537, 1) = 3, (537, 2) = 13, (537, 3) = .1330810593, (538, 1) = 4, (538, 2) = 13, (538, 3) = -.7230968216, (539, 1) = 5, (539, 2) = 13, (539, 3) = -.9239222490, (540, 1) = 6, (540, 2) = 13, (540, 3) = -.2707808182, (541, 1) = 7, (541, 2) = 13, (541, 3) = .6393891676, (542, 1) = 8, (542, 2) = 13, (542, 3) = .9659777310, (543, 1) = 9, (543, 2) = 13, (543, 3) = .4034058305, (544, 1) = 10, (544, 2) = 13, (544, 3) = -.5336171435, (545, 1) = 11, (545, 2) = 13, (545, 3) = -.9825324475, (546, 1) = 12, (546, 2) = 13, (546, 3) = -.5279564475, (547, 1) = 13, (547, 2) = 13, (547, 3) = .4139207347, (548, 1) = 14, (548, 2) = 13, (548, 3) = .9768986256, (549, 1) = 15, (549, 2) = 13, (549, 3) = .6418705657, (550, 1) = 16, (550, 2) = 13, (550, 3) = -.2844030674, (551, 1) = 17, (551, 2) = 13, (551, 3) = -.9503784347, (552, 1) = 18, (552, 2) = 13, (552, 3) = -.7428460589, (553, 1) = 19, (553, 2) = 13, (553, 3) = .1483359378, (554, 1) = 20, (554, 2) = 13, (554, 3) = .9040158165, (555, 1) = 21, (555, 2) = 13, (555, 3) = .8288537568, (556, 1) = 22, (556, 2) = 13, (556, 3) = -0.8772445616e-2, (557, 1) = 23, (557, 2) = 13, (557, 3) = -.8390021663, (558, 1) = 24, (558, 2) = 13, (558, 3) = -.8981696709, (559, 1) = 25, (559, 2) = 13, (559, 3) = -.1313114966, (560, 1) = 26, (560, 2) = 13, (560, 3) = .7567914887, (561, 1) = 27, (561, 2) = 13, (561, 3) = .9494066517, (562, 1) = 28, (562, 2) = 13, (562, 3) = .2690010347, (563, 1) = 29, (563, 2) = 13, (563, 3) = -.6591262665, (564, 1) = 30, (564, 2) = 13, (564, 3) = -.9815409755, (565, 1) = 31, (565, 2) = 13, (565, 3) = -.4014678045, (566, 1) = 32, (566, 2) = 13, (566, 3) = .5480274682, (567, 1) = 33, (567, 2) = 13, (567, 3) = .9939322756, (568, 1) = 34, (568, 2) = 13, (568, 3) = .5260105554, (569, 1) = 35, (569, 2) = 13, (569, 3) = -.4257665519, (570, 1) = 36, (570, 2) = 13, (570, 3) = -.9863360548, (571, 1) = 37, (571, 2) = 13, (571, 3) = -.6401007570, (572, 1) = 38, (572, 2) = 13, (572, 3) = .2948267361, (573, 1) = 39, (573, 2) = 13, (573, 3) = .9589083947, (574, 1) = 40, (574, 2) = 13, (574, 3) = .7414284196, (575, 1) = 0, (575, 2) = 14, (575, 3) = 0., (576, 1) = 1, (576, 2) = 14, (576, 3) = .7467526425, (577, 1) = 2, (577, 2) = 14, (577, 3) = .8383772932, (578, 1) = 3, (578, 2) = 14, (578, 3) = .1330951312, (579, 1) = 4, (579, 2) = 14, (579, 3) = -.7231390432, (580, 1) = 5, (580, 2) = 14, (580, 3) = -.9239563796, (581, 1) = 6, (581, 2) = 14, (581, 3) = -.2707877102, (582, 1) = 7, (582, 2) = 14, (582, 3) = .6394010558, (583, 1) = 8, (583, 2) = 14, (583, 3) = .9659914229, (584, 1) = 9, (584, 2) = 14, (584, 3) = .4034103330, (585, 1) = 10, (585, 2) = 14, (585, 3) = -.5336219546, (586, 1) = 11, (586, 2) = 14, (586, 3) = -.9825397522, (587, 1) = 12, (587, 2) = 14, (587, 3) = -.5279597394, (588, 1) = 13, (588, 2) = 14, (588, 3) = .4139229303, (589, 1) = 14, (589, 2) = 14, (589, 3) = .9769030876, (590, 1) = 15, (590, 2) = 14, (590, 3) = .6418731165, (591, 1) = 16, (591, 2) = 14, (591, 3) = -.2844040596, (592, 1) = 17, (592, 2) = 14, (592, 3) = -.9503813695, (593, 1) = 18, (593, 2) = 14, (593, 3) = -.7428481032, (594, 1) = 19, (594, 2) = 14, (594, 3) = .1483363041, (595, 1) = 20, (595, 2) = 14, (595, 3) = .9040178288, (596, 1) = 21, (596, 2) = 14, (596, 3) = .8288554292, (597, 1) = 22, (597, 2) = 14, (597, 3) = -0.8772461736e-2, (598, 1) = 23, (598, 2) = 14, (598, 3) = -.8390035761, (599, 1) = 24, (599, 2) = 14, (599, 3) = -.8981710566, (600, 1) = 25, (600, 2) = 14, (600, 3) = -.1313116831, (601, 1) = 26, (601, 2) = 14, (601, 3) = .7567924827, (602, 1) = 27, (602, 2) = 14, (602, 3) = .9494078074, (603, 1) = 28, (603, 2) = 14, (603, 3) = .2690013391, (604, 1) = 29, (604, 2) = 14, (604, 3) = -.6591269618, (605, 1) = 30, (605, 2) = 14, (605, 3) = -.9815419425, (606, 1) = 31, (606, 2) = 14, (606, 3) = -.4014681749, (607, 1) = 32, (607, 2) = 14, (607, 3) = .5480279425, (608, 1) = 33, (608, 2) = 14, (608, 3) = .9939330842, (609, 1) = 34, (609, 2) = 14, (609, 3) = .5260109584, (610, 1) = 35, (610, 2) = 14, (610, 3) = -.4257668598, (611, 1) = 36, (611, 2) = 14, (611, 3) = -.9863367286, (612, 1) = 37, (612, 2) = 14, (612, 3) = -.6401011710, (613, 1) = 38, (613, 2) = 14, (613, 3) = .2948269169, (614, 1) = 39, (614, 2) = 14, (614, 3) = .9589089526, (615, 1) = 40, (615, 2) = 14, (615, 3) = .7414288295, (616, 1) = 0, (616, 2) = 15, (616, 3) = 0., (617, 1) = 1, (617, 2) = 15, (617, 3) = .7474415800, (618, 1) = 2, (618, 2) = 15, (618, 3) = .8385564551, (619, 1) = 3, (619, 2) = 15, (619, 3) = .1331073442, (620, 1) = 4, (620, 2) = 15, (620, 3) = -.7231756749, (621, 1) = 5, (621, 2) = 15, (621, 3) = -.9239859854, (622, 1) = 6, (622, 2) = 15, (622, 3) = -.2707936878, (623, 1) = 7, (623, 2) = 15, (623, 3) = .6394113656, (624, 1) = 8, (624, 2) = 15, (624, 3) = .9660032957, (625, 1) = 9, (625, 2) = 15, (625, 3) = .4034142372, (626, 1) = 10, (626, 2) = 15, (626, 3) = -.5336261260, (627, 1) = 11, (627, 2) = 15, (627, 3) = -.9825460854, (628, 1) = 12, (628, 2) = 15, (628, 3) = -.5279625937, (629, 1) = 13, (629, 2) = 15, (629, 3) = .4139248339, (630, 1) = 14, (630, 2) = 15, (630, 3) = .9769069558, (631, 1) = 15, (631, 2) = 15, (631, 3) = .6418753280, (632, 1) = 16, (632, 2) = 15, (632, 3) = -.2844049201, (633, 1) = 17, (633, 2) = 15, (633, 3) = -.9503839137, (634, 1) = 18, (634, 2) = 15, (634, 3) = -.7428498754, (635, 1) = 19, (635, 2) = 15, (635, 3) = .1483366214, (636, 1) = 20, (636, 2) = 15, (636, 3) = .9040195733, (637, 1) = 21, (637, 2) = 15, (637, 3) = .8288568790, (638, 1) = 22, (638, 2) = 15, (638, 3) = -0.8772475710e-2, (639, 1) = 23, (639, 2) = 15, (639, 3) = -.8390047982, (640, 1) = 24, (640, 2) = 15, (640, 3) = -.8981722575, (641, 1) = 25, (641, 2) = 15, (641, 3) = -.1313118450, (642, 1) = 26, (642, 2) = 15, (642, 3) = .7567933441, (643, 1) = 27, (643, 2) = 15, (643, 3) = .9494088094, (644, 1) = 28, (644, 2) = 15, (644, 3) = .2690016029, (645, 1) = 29, (645, 2) = 15, (645, 3) = -.6591275643, (646, 1) = 30, (646, 2) = 15, (646, 3) = -.9815427808, (647, 1) = 31, (647, 2) = 15, (647, 3) = -.4014684958, (648, 1) = 32, (648, 2) = 15, (648, 3) = .5480283536, (649, 1) = 33, (649, 2) = 15, (649, 3) = .9939337852, (650, 1) = 34, (650, 2) = 15, (650, 3) = .5260113077, (651, 1) = 35, (651, 2) = 15, (651, 3) = -.4257671266, (652, 1) = 36, (652, 2) = 15, (652, 3) = -.9863373127, (653, 1) = 37, (653, 2) = 15, (653, 3) = -.6401015297, (654, 1) = 38, (654, 2) = 15, (654, 3) = .2948270735, (655, 1) = 39, (655, 2) = 15, (655, 3) = .9589094362, (656, 1) = 40, (656, 2) = 15, (656, 3) = .7414291851, (657, 1) = 0, (657, 2) = 16, (657, 3) = 0., (658, 1) = 1, (658, 2) = 16, (658, 3) = .7480462958, (659, 1) = 2, (659, 2) = 16, (659, 3) = .8387135007, (660, 1) = 3, (660, 2) = 16, (660, 3) = .1331180438, (661, 1) = 4, (661, 2) = 16, (661, 3) = -.7232077580, (662, 1) = 5, (662, 2) = 16, (662, 3) = -.9240119106, (663, 1) = 6, (663, 2) = 16, (663, 3) = -.2707989213, (664, 1) = 7, (664, 2) = 16, (664, 3) = .6394203917, (665, 1) = 8, (665, 2) = 16, (665, 3) = .9660136896, (666, 1) = 9, (666, 2) = 16, (666, 3) = .4034176548, (667, 1) = 10, (667, 2) = 16, (667, 3) = -.5336297775, (668, 1) = 11, (668, 2) = 16, (668, 3) = -.9825516291, (669, 1) = 12, (669, 2) = 16, (669, 3) = -.5279650918, (670, 1) = 13, (670, 2) = 16, (670, 3) = .4139265001, (671, 1) = 14, (671, 2) = 16, (671, 3) = .9769103415, (672, 1) = 15, (672, 2) = 16, (672, 3) = .6418772634, (673, 1) = 16, (673, 2) = 16, (673, 3) = -.2844056730, (674, 1) = 17, (674, 2) = 16, (674, 3) = -.9503861400, (675, 1) = 18, (675, 2) = 16, (675, 3) = -.7428514265, (676, 1) = 19, (676, 2) = 16, (676, 3) = .1483368991, (677, 1) = 20, (677, 2) = 16, (677, 3) = .9040210999, (678, 1) = 21, (678, 2) = 16, (678, 3) = .8288581479, (679, 1) = 22, (679, 2) = 16, (679, 3) = -0.8772487939e-2, (680, 1) = 23, (680, 2) = 16, (680, 3) = -.8390058678, (681, 1) = 24, (681, 2) = 16, (681, 3) = -.8981733087, (682, 1) = 25, (682, 2) = 16, (682, 3) = -.1313119865, (683, 1) = 26, (683, 2) = 16, (683, 3) = .7567940983, (684, 1) = 27, (684, 2) = 16, (684, 3) = .9494096863, (685, 1) = 28, (685, 2) = 16, (685, 3) = .2690018339, (686, 1) = 29, (686, 2) = 16, (686, 3) = -.6591280914, (687, 1) = 30, (687, 2) = 16, (687, 3) = -.9815435143, (688, 1) = 31, (688, 2) = 16, (688, 3) = -.4014687768, (689, 1) = 32, (689, 2) = 16, (689, 3) = .5480287132, (690, 1) = 33, (690, 2) = 16, (690, 3) = .9939343986, (691, 1) = 34, (691, 2) = 16, (691, 3) = .5260116135, (692, 1) = 35, (692, 2) = 16, (692, 3) = -.4257673599, (693, 1) = 36, (693, 2) = 16, (693, 3) = -.9863378237, (694, 1) = 37, (694, 2) = 16, (694, 3) = -.6401018437, (695, 1) = 38, (695, 2) = 16, (695, 3) = .2948272105, (696, 1) = 39, (696, 2) = 16, (696, 3) = .9589098595, (697, 1) = 40, (697, 2) = 16, (697, 3) = .7414294959, (698, 1) = 0, (698, 2) = 17, (698, 3) = 0., (699, 1) = 1, (699, 2) = 17, (699, 3) = .7485813301, (700, 1) = 2, (700, 2) = 17, (700, 3) = .8388522865, (701, 1) = 3, (701, 2) = 17, (701, 3) = .1331274948, (702, 1) = 4, (702, 2) = 17, (702, 3) = -.7232360902, (703, 1) = 5, (703, 2) = 17, (703, 3) = -.9240348010, (704, 1) = 6, (704, 2) = 17, (704, 3) = -.2708035419, (705, 1) = 7, (705, 2) = 17, (705, 3) = .6394283596, (706, 1) = 8, (706, 2) = 17, (706, 3) = .9660228645, (707, 1) = 9, (707, 2) = 17, (707, 3) = .4034206715, (708, 1) = 10, (708, 2) = 17, (708, 3) = -.5336330006, (709, 1) = 11, (709, 2) = 17, (709, 3) = -.9825565220, (710, 1) = 12, (710, 2) = 17, (710, 3) = -.5279672968, (711, 1) = 13, (711, 2) = 17, (711, 3) = .4139279704, (712, 1) = 14, (712, 2) = 17, (712, 3) = .9769133297, (713, 1) = 15, (713, 2) = 17, (713, 3) = .6418789716, (714, 1) = 16, (714, 2) = 17, (714, 3) = -.2844063374, (715, 1) = 17, (715, 2) = 17, (715, 3) = -.9503881052, (716, 1) = 18, (716, 2) = 17, (716, 3) = -.7428527954, (717, 1) = 19, (717, 2) = 17, (717, 3) = .1483371444, (718, 1) = 20, (718, 2) = 17, (718, 3) = .9040224473, (719, 1) = 21, (719, 2) = 17, (719, 3) = .8288592677, (720, 1) = 22, (720, 2) = 17, (720, 3) = -0.8772498731e-2, (721, 1) = 23, (721, 2) = 17, (721, 3) = -.8390068117, (722, 1) = 24, (722, 2) = 17, (722, 3) = -.8981742362, (723, 1) = 25, (723, 2) = 17, (723, 3) = -.1313121114, (724, 1) = 26, (724, 2) = 17, (724, 3) = .7567947635, (725, 1) = 27, (725, 2) = 17, (725, 3) = .9494104599, (726, 1) = 28, (726, 2) = 17, (726, 3) = .2690020377, (727, 1) = 29, (727, 2) = 17, (727, 3) = -.6591285568, (728, 1) = 30, (728, 2) = 17, (728, 3) = -.9815441615, (729, 1) = 31, (729, 2) = 17, (729, 3) = -.4014690247, (730, 1) = 32, (730, 2) = 17, (730, 3) = .5480290309, (731, 1) = 33, (731, 2) = 17, (731, 3) = .9939349398, (732, 1) = 34, (732, 2) = 17, (732, 3) = .5260118832, (733, 1) = 35, (733, 2) = 17, (733, 3) = -.4257675660, (734, 1) = 36, (734, 2) = 17, (734, 3) = -.9863382750, (735, 1) = 37, (735, 2) = 17, (735, 3) = -.6401021207, (736, 1) = 38, (736, 2) = 17, (736, 3) = .2948273315, (737, 1) = 39, (737, 2) = 17, (737, 3) = .9589102328, (738, 1) = 40, (738, 2) = 17, (738, 3) = .7414297704, (739, 1) = 0, (739, 2) = 18, (739, 3) = 0., (740, 1) = 1, (740, 2) = 18, (740, 3) = .7490580641, (741, 1) = 2, (741, 2) = 18, (741, 3) = .8389758213, (742, 1) = 3, (742, 2) = 18, (742, 3) = .1331359037, (743, 1) = 4, (743, 2) = 18, (743, 3) = -.7232612929, (744, 1) = 5, (744, 2) = 18, (744, 3) = -.9240551602, (745, 1) = 6, (745, 2) = 18, (745, 3) = -.2708076511, (746, 1) = 7, (746, 2) = 18, (746, 3) = .6394354455, (747, 1) = 8, (747, 2) = 18, (747, 3) = .9660310231, (748, 1) = 9, (748, 2) = 18, (748, 3) = .4034233538, (749, 1) = 10, (749, 2) = 18, (749, 3) = -.5336358662, (750, 1) = 11, (750, 2) = 18, (750, 3) = -.9825608724, (751, 1) = 12, (751, 2) = 18, (751, 3) = -.5279692571, (752, 1) = 13, (752, 2) = 18, (752, 3) = .4139292779, (753, 1) = 14, (753, 2) = 18, (753, 3) = .9769159864, (754, 1) = 15, (754, 2) = 18, (754, 3) = .6418804902, (755, 1) = 16, (755, 2) = 18, (755, 3) = -.2844069282, (756, 1) = 17, (756, 2) = 18, (756, 3) = -.9503898521, (757, 1) = 18, (757, 2) = 18, (757, 3) = -.7428540123, (758, 1) = 19, (758, 2) = 18, (758, 3) = .1483373621, (759, 1) = 20, (759, 2) = 18, (759, 3) = .9040236452, (760, 1) = 21, (760, 2) = 18, (760, 3) = .8288602631, (761, 1) = 22, (761, 2) = 18, (761, 3) = -0.8772508325e-2, (762, 1) = 23, (762, 2) = 18, (762, 3) = -.8390076507, (763, 1) = 24, (763, 2) = 18, (763, 3) = -.8981750609, (764, 1) = 25, (764, 2) = 18, (764, 3) = -.1313122224, (765, 1) = 26, (765, 2) = 18, (765, 3) = .7567953551, (766, 1) = 27, (766, 2) = 18, (766, 3) = .9494111477, (767, 1) = 28, (767, 2) = 18, (767, 3) = .2690022188, (768, 1) = 29, (768, 2) = 18, (768, 3) = -.6591289704, (769, 1) = 30, (769, 2) = 18, (769, 3) = -.9815447370, (770, 1) = 31, (770, 2) = 18, (770, 3) = -.4014692450, (771, 1) = 32, (771, 2) = 18, (771, 3) = .5480293130, (772, 1) = 33, (772, 2) = 18, (772, 3) = .9939354211, (773, 1) = 34, (773, 2) = 18, (773, 3) = .5260121232, (774, 1) = 35, (774, 2) = 18, (774, 3) = -.4257677493, (775, 1) = 36, (775, 2) = 18, (775, 3) = -.9863386757, (776, 1) = 37, (776, 2) = 18, (776, 3) = -.6401023670, (777, 1) = 38, (777, 2) = 18, (777, 3) = .2948274390, (778, 1) = 39, (778, 2) = 18, (778, 3) = .9589105647, (779, 1) = 40, (779, 2) = 18, (779, 3) = .7414300144, (780, 1) = 0, (780, 2) = 19, (780, 3) = 0., (781, 1) = 1, (781, 2) = 19, (781, 3) = .7494855263, (782, 1) = 2, (782, 2) = 19, (782, 3) = .8390864875, (783, 1) = 3, (783, 2) = 19, (783, 3) = .1331434340, (784, 1) = 4, (784, 2) = 19, (784, 3) = -.7232838574, (785, 1) = 5, (785, 2) = 19, (785, 3) = -.9240733859, (786, 1) = 6, (786, 2) = 19, (786, 3) = -.2708113293, (787, 1) = 7, (787, 2) = 19, (787, 3) = .6394417879, (788, 1) = 8, (788, 2) = 19, (788, 3) = .9660383253, (789, 1) = 9, (789, 2) = 19, (789, 3) = .4034257546, (790, 1) = 10, (790, 2) = 19, (790, 3) = -.5336384310, (791, 1) = 11, (791, 2) = 19, (791, 3) = -.9825647661, (792, 1) = 12, (792, 2) = 19, (792, 3) = -.5279710117, (793, 1) = 13, (793, 2) = 19, (793, 3) = .4139304479, (794, 1) = 14, (794, 2) = 19, (794, 3) = .9769183638, (795, 1) = 15, (795, 2) = 19, (795, 3) = .6418818493, (796, 1) = 16, (796, 2) = 19, (796, 3) = -.2844074568, (797, 1) = 17, (797, 2) = 19, (797, 3) = -.9503914154, (798, 1) = 18, (798, 2) = 19, (798, 3) = -.7428551013, (799, 1) = 19, (799, 2) = 19, (799, 3) = .1483375572, (800, 1) = 20, (800, 2) = 19, (800, 3) = .9040247170, (801, 1) = 21, (801, 2) = 19, (801, 3) = .8288611540, (802, 1) = 22, (802, 2) = 19, (802, 3) = -0.8772516910e-2, (803, 1) = 23, (803, 2) = 19, (803, 3) = -.8390084017, (804, 1) = 24, (804, 2) = 19, (804, 3) = -.8981757986, (805, 1) = 25, (805, 2) = 19, (805, 3) = -.1313123219, (806, 1) = 26, (806, 2) = 19, (806, 3) = .7567958844, (807, 1) = 27, (807, 2) = 19, (807, 3) = .9494117633, (808, 1) = 28, (808, 2) = 19, (808, 3) = .2690023809, (809, 1) = 29, (809, 2) = 19, (809, 3) = -.6591293407, (810, 1) = 30, (810, 2) = 19, (810, 3) = -.9815452519, (811, 1) = 31, (811, 2) = 19, (811, 3) = -.4014694421, (812, 1) = 32, (812, 2) = 19, (812, 3) = .5480295656, (813, 1) = 33, (813, 2) = 19, (813, 3) = .9939358515, (814, 1) = 34, (814, 2) = 19, (814, 3) = .5260123376, (815, 1) = 35, (815, 2) = 19, (815, 3) = -.4257679131, (816, 1) = 36, (816, 2) = 19, (816, 3) = -.9863390346, (817, 1) = 37, (817, 2) = 19, (817, 3) = -.6401025875, (818, 1) = 38, (818, 2) = 19, (818, 3) = .2948275354, (819, 1) = 39, (819, 2) = 19, (819, 3) = .9589108617, (820, 1) = 40, (820, 2) = 19, (820, 3) = .7414302326, (821, 1) = 0, (821, 2) = 20, (821, 3) = 0., (822, 1) = 1, (822, 2) = 20, (822, 3) = .7498709758, (823, 1) = 2, (823, 2) = 20, (823, 3) = .8391861964, (824, 1) = 3, (824, 2) = 20, (824, 3) = .1331502164, (825, 1) = 4, (825, 2) = 20, (825, 3) = -.7233041772, (826, 1) = 5, (826, 2) = 20, (826, 3) = -.9240897968, (827, 1) = 6, (827, 2) = 20, (827, 3) = -.2708146412, (828, 1) = 7, (828, 2) = 20, (828, 3) = .6394474978, (829, 1) = 8, (829, 2) = 20, (829, 3) = .9660448993, (830, 1) = 9, (830, 2) = 20, (830, 3) = .4034279159, (831, 1) = 10, (831, 2) = 20, (831, 3) = -.5336407399, (832, 1) = 11, (832, 2) = 20, (832, 3) = -.9825682709, (833, 1) = 12, (833, 2) = 20, (833, 3) = -.5279725909, (834, 1) = 13, (834, 2) = 20, (834, 3) = .4139315012, (835, 1) = 14, (835, 2) = 20, (835, 3) = .9769205042, (836, 1) = 15, (836, 2) = 20, (836, 3) = .6418830726, (837, 1) = 16, (837, 2) = 20, (837, 3) = -.2844079327, (838, 1) = 17, (838, 2) = 20, (838, 3) = -.9503928228, (839, 1) = 18, (839, 2) = 20, (839, 3) = -.7428560814, (840, 1) = 19, (840, 2) = 20, (840, 3) = .1483377328, (841, 1) = 20, (841, 2) = 20, (841, 3) = .9040256819, (842, 1) = 21, (842, 2) = 20, (842, 3) = .8288619556, (843, 1) = 22, (843, 2) = 20, (843, 3) = -0.8772524640e-2, (844, 1) = 23, (844, 2) = 20, (844, 3) = -.8390090775, (845, 1) = 24, (845, 2) = 20, (845, 3) = -.8981764629, (846, 1) = 25, (846, 2) = 20, (846, 3) = -.1313124112, (847, 1) = 26, (847, 2) = 20, (847, 3) = .7567963606, (848, 1) = 27, (848, 2) = 20, (848, 3) = .9494123172, (849, 1) = 28, (849, 2) = 20, (849, 3) = .2690025268, (850, 1) = 29, (850, 2) = 20, (850, 3) = -.6591296737, (851, 1) = 30, (851, 2) = 20, (851, 3) = -.9815457153, (852, 1) = 31, (852, 2) = 20, (852, 3) = -.4014696196, (853, 1) = 32, (853, 2) = 20, (853, 3) = .5480297930, (854, 1) = 33, (854, 2) = 20, (854, 3) = .9939362392, (855, 1) = 34, (855, 2) = 20, (855, 3) = .5260125309, (856, 1) = 35, (856, 2) = 20, (856, 3) = -.4257680605, (857, 1) = 36, (857, 2) = 20, (857, 3) = -.9863393575, (858, 1) = 37, (858, 2) = 20, (858, 3) = -.6401027857, (859, 1) = 38, (859, 2) = 20, (859, 3) = .2948276220, (860, 1) = 39, (860, 2) = 20, (860, 3) = .9589111292, (861, 1) = 40, (861, 2) = 20, (861, 3) = .7414304292})

(2)

vVals := Matrix([seq( seq( [k, l, evalf(v(k,l))], k=0..20), l=0..10)]);

vVals := Matrix(231, 3, {(1, 1) = 0, (1, 2) = 0, (1, 3) = 0., (2, 1) = 1, (2, 2) = 0, (2, 3) = .8414709848, (3, 1) = 2, (3, 2) = 0, (3, 3) = .9092974268, (4, 1) = 3, (4, 2) = 0, (4, 3) = .1411200081, (5, 1) = 4, (5, 2) = 0, (5, 3) = -.7568024953, (6, 1) = 5, (6, 2) = 0, (6, 3) = -.9589242747, (7, 1) = 6, (7, 2) = 0, (7, 3) = -.2794154982, (8, 1) = 7, (8, 2) = 0, (8, 3) = .6569865987, (9, 1) = 8, (9, 2) = 0, (9, 3) = .9893582466, (10, 1) = 9, (10, 2) = 0, (10, 3) = .4121184852, (11, 1) = 10, (11, 2) = 0, (11, 3) = -.5440211109, (12, 1) = 11, (12, 2) = 0, (12, 3) = -.9999902066, (13, 1) = 12, (13, 2) = 0, (13, 3) = -.5365729180, (14, 1) = 13, (14, 2) = 0, (14, 3) = .4201670368, (15, 1) = 14, (15, 2) = 0, (15, 3) = .9906073557, (16, 1) = 15, (16, 2) = 0, (16, 3) = .6502878402, (17, 1) = 16, (17, 2) = 0, (17, 3) = -.2879033167, (18, 1) = 17, (18, 2) = 0, (18, 3) = -.9613974919, (19, 1) = 18, (19, 2) = 0, (19, 3) = -.7509872468, (20, 1) = 19, (20, 2) = 0, (20, 3) = .1498772097, (21, 1) = 20, (21, 2) = 0, (21, 3) = .9129452507, (22, 1) = 0, (22, 2) = 1, (22, 3) = 0., (23, 1) = 1, (23, 2) = 1, (23, 3) = .2945148448, (24, 1) = 2, (24, 2) = 1, (24, 3) = .4546487135, (25, 1) = 3, (25, 2) = 1, (25, 3) = 0.8436522226e-1, (26, 1) = 4, (26, 2) = 1, (26, 3) = -.5028071372, (27, 1) = 5, (27, 2) = 1, (27, 3) = -.6830073842, (28, 1) = 6, (28, 2) = 1, (28, 3) = -.2090798727, (29, 1) = 7, (29, 2) = 1, (29, 3) = .5100290700, (30, 1) = 8, (30, 2) = 1, (30, 3) = .7902550311, (31, 1) = 9, (31, 2) = 1, (31, 3) = .3367478227, (32, 1) = 10, (32, 2) = 1, (32, 3) = -.4528485979, (33, 1) = 11, (33, 2) = 1, (33, 3) = -.8453405584, (34, 1) = 12, (34, 2) = 1, (34, 3) = -.4595401724, (35, 1) = 13, (35, 2) = 1, (35, 3) = .3638818621, (36, 1) = 14, (36, 2) = 1, (36, 3) = .8662294634, (37, 1) = 15, (37, 2) = 1, (37, 3) = .5734587938, (38, 1) = 16, (38, 2) = 1, (38, 3) = -.2557846230, (39, 1) = 17, (39, 2) = 1, (39, 3) = -.8598065197, (40, 1) = 18, (40, 2) = 1, (40, 3) = -.6756106359, (41, 1) = 19, (41, 2) = 1, (41, 3) = .1355525514, (42, 1) = 20, (42, 2) = 1, (42, 3) = .8296675044, (43, 1) = 0, (43, 2) = 2, (43, 3) = 0., (44, 1) = 1, (44, 2) = 2, (44, 3) = 0.336588392e-1, (45, 1) = 2, (45, 2) = 2, (45, 3) = .3114032283, (46, 1) = 3, (46, 2) = 2, (46, 3) = 0.7104662477e-1, (47, 1) = 4, (47, 2) = 2, (47, 3) = -.4553376008, (48, 1) = 5, (48, 2) = 2, (48, 3) = -.6401682831, (49, 1) = 6, (49, 2) = 2, (49, 3) = -.1997405838, (50, 1) = 7, (50, 2) = 2, (50, 3) = .4929840004, (51, 1) = 8, (51, 2) = 2, (51, 3) = .7697550290, (52, 1) = 9, (52, 2) = 2, (52, 3) = .3297710358, (53, 1) = 10, (53, 2) = 2, (53, 3) = -.4451830590, (54, 1) = 11, (54, 2) = 2, (54, 3) = -.8334303236, (55, 1) = 12, (55, 2) = 2, (55, 3) = -.4540673118, (56, 1) = 13, (56, 2) = 2, (56, 3) = .3601706453, (57, 1) = 14, (57, 2) = 2, (57, 3) = .8585787673, (58, 1) = 15, (58, 2) = 2, (58, 3) = .5690300746, (59, 1) = 16, (59, 2) = 2, (59, 3) = -.2540427122, (60, 1) = 17, (60, 2) = 2, (60, 3) = -.8546046314, (61, 1) = 18, (61, 2) = 2, (61, 3) = -.6719552150, (62, 1) = 19, (62, 2) = 2, (62, 3) = .1348927748, (63, 1) = 20, (63, 2) = 2, (63, 3) = .8260153320, (64, 1) = 0, (64, 2) = 3, (64, 3) = 0., (65, 1) = 1, (65, 2) = 3, (65, 3) = -.1189035084, (66, 1) = 2, (66, 2) = 3, (66, 3) = .2414341444, (67, 1) = 3, (67, 2) = 3, (67, 3) = 0.6511409771e-1, (68, 1) = 4, (68, 2) = 3, (68, 3) = -.4353487622, (69, 1) = 5, (69, 2) = 3, (69, 3) = -.6228000348, (70, 1) = 6, (70, 2) = 3, (70, 3) = -.1960561104, (71, 1) = 7, (71, 2) = 3, (71, 3) = .4863966302, (72, 1) = 8, (72, 2) = 3, (72, 3) = .7619590341, (73, 1) = 9, (73, 2) = 3, (73, 3) = .3271519295, (74, 1) = 10, (74, 2) = 3, (74, 3) = -.4423358044, (75, 1) = 11, (75, 2) = 3, (75, 3) = -.8290455449, (76, 1) = 12, (76, 2) = 3, (76, 3) = -.4520675852, (77, 1) = 13, (77, 2) = 3, (77, 3) = .3588233500, (78, 1) = 14, (78, 2) = 3, (78, 3) = .8558168688, (79, 1) = 15, (79, 2) = 3, (79, 3) = .5674391609, (80, 1) = 16, (80, 2) = 3, (80, 3) = -.2534196881, (81, 1) = 17, (81, 2) = 3, (81, 3) = -.8527512772, (82, 1) = 18, (82, 2) = 3, (82, 3) = -.6706573534, (83, 1) = 19, (83, 2) = 3, (83, 3) = .1346592512, (84, 1) = 20, (84, 2) = 3, (84, 3) = .8247263231, (85, 1) = 0, (85, 2) = 4, (85, 3) = 0., (86, 1) = 1, (86, 2) = 4, (86, 3) = -.2190129962, (87, 1) = 2, (87, 2) = 4, (87, 3) = .1999699734, (88, 1) = 3, (88, 2) = 4, (88, 3) = 0.6175746891e-1, (89, 1) = 4, (89, 2) = 4, (89, 3) = -.4243343471, (90, 1) = 5, (90, 2) = 4, (90, 3) = -.6133921364, (91, 1) = 6, (91, 2) = 4, (91, 3) = -.1940841234, (92, 1) = 7, (92, 2) = 4, (92, 3) = .4829020894, (93, 1) = 8, (93, 2) = 4, (93, 3) = .7578514471, (94, 1) = 9, (94, 2) = 4, (94, 3) = .3257794116, (95, 1) = 10, (95, 2) = 4, (95, 3) = -.4408502754, (96, 1) = 11, (96, 2) = 4, (96, 3) = -.8267661497, (97, 1) = 12, (97, 2) = 4, (97, 3) = -.4510312280, (98, 1) = 13, (98, 2) = 4, (98, 3) = .3581269426, (99, 1) = 14, (99, 2) = 4, (99, 3) = .8543924910, (100, 1) = 15, (100, 2) = 4, (100, 3) = .5666203069, (101, 1) = 16, (101, 2) = 4, (101, 3) = -.2530995700, (102, 1) = 17, (102, 2) = 4, (102, 3) = -.8518004666, (103, 1) = 18, (103, 2) = 4, (103, 3) = -.6699924383, (104, 1) = 19, (104, 2) = 4, (104, 3) = .1345397613, (105, 1) = 20, (105, 2) = 4, (105, 3) = .8240674955, (106, 1) = 0, (106, 2) = 5, (106, 3) = 0., (107, 1) = 1, (107, 2) = 5, (107, 3) = -.2897518014, (108, 1) = 2, (108, 2) = 5, (108, 3) = .1725398164, (109, 1) = 3, (109, 2) = 5, (109, 3) = 0.5959833243e-1, (110, 1) = 4, (110, 2) = 5, (110, 3) = -.4173585297, (111, 1) = 5, (111, 2) = 5, (111, 3) = -.6074922541, (112, 1) = 6, (112, 2) = 5, (112, 3) = -.1928558550, (113, 1) = 7, (113, 2) = 5, (113, 3) = .4807363339, (114, 1) = 8, (114, 2) = 5, (114, 3) = .7553154556, (115, 1) = 9, (115, 2) = 5, (115, 3) = .3249345794, (116, 1) = 10, (116, 2) = 5, (116, 3) = -.4399381078, (117, 1) = 11, (117, 2) = 5, (117, 3) = -.8253693355, (118, 1) = 12, (118, 2) = 5, (118, 3) = -.4503972210, (119, 1) = 13, (119, 2) = 5, (119, 3) = .3577015180, (120, 1) = 14, (120, 2) = 5, (120, 3) = .8535234398, (121, 1) = 15, (121, 2) = 5, (121, 3) = .5661212420, (122, 1) = 16, (122, 2) = 5, (122, 3) = -.2529046539, (123, 1) = 17, (123, 2) = 5, (123, 3) = -.8512220153, (124, 1) = 18, (124, 2) = 5, (124, 3) = -.6695882226, (125, 1) = 19, (125, 2) = 5, (125, 3) = .1344671696, (126, 1) = 20, (126, 2) = 5, (126, 3) = .8236674930, (127, 1) = 0, (127, 2) = 6, (127, 3) = 0., (128, 1) = 1, (128, 2) = 6, (128, 3) = -.3423916422, (129, 1) = 2, (129, 2) = 6, (129, 3) = .1530500620, (130, 1) = 3, (130, 2) = 6, (130, 3) = 0.5809288033e-1, (131, 1) = 4, (131, 2) = 6, (131, 3) = -.4125442326, (132, 1) = 5, (132, 2) = 6, (132, 3) = -.6034466192, (133, 1) = 6, (133, 2) = 6, (133, 3) = -.1920173254, (134, 1) = 7, (134, 2) = 6, (134, 3) = .4792625414, (135, 1) = 8, (135, 2) = 6, (135, 3) = .7535939428, (136, 1) = 9, (136, 2) = 6, (136, 3) = .3243621848, (137, 1) = 10, (137, 2) = 6, (137, 3) = -.4393210530, (138, 1) = 11, (138, 2) = 6, (138, 3) = -.8244256429, (139, 1) = 12, (139, 2) = 6, (139, 3) = -.4499693441, (140, 1) = 13, (140, 2) = 6, (140, 3) = .3574146713, (141, 1) = 14, (141, 2) = 6, (141, 3) = .8529379350, (142, 1) = 15, (142, 2) = 6, (142, 3) = .5657852378, (143, 1) = 16, (143, 2) = 6, (143, 3) = -.2527735019, (144, 1) = 17, (144, 2) = 6, (144, 3) = -.8508330044, (145, 1) = 18, (145, 2) = 6, (145, 3) = -.6693165145, (146, 1) = 19, (146, 2) = 6, (146, 3) = .1344183952, (147, 1) = 20, (147, 2) = 6, (147, 3) = .8233988346, (148, 1) = 0, (148, 2) = 7, (148, 3) = 0., (149, 1) = 1, (149, 2) = 7, (149, 3) = -.3830907380, (150, 1) = 2, (150, 2) = 7, (150, 3) = .1384888355, (151, 1) = 3, (151, 2) = 7, (151, 3) = 0.5698328601e-1, (152, 1) = 4, (152, 2) = 7, (152, 3) = -.4090215788, (153, 1) = 5, (153, 2) = 7, (153, 3) = -.6004997999, (154, 1) = 6, (154, 2) = 7, (154, 3) = -.1914084346, (155, 1) = 7, (155, 2) = 7, (155, 3) = .4781947668, (156, 1) = 8, (156, 2) = 7, (156, 3) = .7523488237, (157, 1) = 9, (157, 2) = 7, (157, 3) = .3239487441, (158, 1) = 10, (158, 2) = 7, (158, 3) = -.4388758363, (159, 1) = 11, (159, 2) = 7, (159, 3) = -.8237453574, (160, 1) = 12, (160, 2) = 7, (160, 3) = -.4496611278, (161, 1) = 13, (161, 2) = 7, (161, 3) = .3572081754, (162, 1) = 14, (162, 2) = 7, (162, 3) = .8525166701, (163, 1) = 15, (163, 2) = 7, (163, 3) = .5655436006, (164, 1) = 16, (164, 2) = 7, (164, 3) = -.2526792234, (165, 1) = 17, (165, 2) = 7, (165, 3) = -.8505534664, (166, 1) = 18, (166, 2) = 7, (166, 3) = -.6691213332, (167, 1) = 19, (167, 2) = 7, (167, 3) = .1343833688, (168, 1) = 20, (168, 2) = 7, (168, 3) = .8232059518, (169, 1) = 0, (169, 2) = 8, (169, 3) = 0., (170, 1) = 1, (170, 2) = 8, (170, 3) = -.4154981208, (171, 1) = 2, (171, 2) = 8, (171, 3) = .1271965188, (172, 1) = 3, (172, 2) = 8, (172, 3) = 0.5613155690e-1, (173, 1) = 4, (173, 2) = 8, (173, 3) = -.4063322432, (174, 1) = 5, (174, 2) = 8, (174, 3) = -.5982576561, (175, 1) = 6, (175, 2) = 8, (175, 3) = -.1909462112, (176, 1) = 7, (176, 2) = 8, (176, 3) = .4773855417, (177, 1) = 8, (177, 2) = 8, (177, 3) = .7514063855, (178, 1) = 9, (178, 2) = 8, (178, 3) = .3236361179, (179, 1) = 10, (179, 2) = 8, (179, 3) = -.4385394503, (180, 1) = 11, (180, 2) = 8, (180, 3) = -.8232317003, (181, 1) = 12, (181, 2) = 8, (181, 3) = -.4494285334, (182, 1) = 13, (182, 2) = 8, (182, 3) = .3570524165, (183, 1) = 14, (183, 2) = 8, (183, 3) = .8521990391, (184, 1) = 15, (184, 2) = 8, (184, 3) = .5653614711, (185, 1) = 16, (185, 2) = 8, (185, 3) = -.2526081844, (186, 1) = 17, (186, 2) = 8, (186, 3) = -.8503428913, (187, 1) = 18, (187, 2) = 8, (187, 3) = -.6689743387, (188, 1) = 19, (188, 2) = 8, (188, 3) = .1343569951, (189, 1) = 20, (189, 2) = 8, (189, 3) = .8230607477, (190, 1) = 0, (190, 2) = 9, (190, 3) = 0., (191, 1) = 1, (191, 2) = 9, (191, 3) = -.4419134534, (192, 1) = 2, (192, 2) = 9, (192, 3) = .1181834306, (193, 1) = 3, (193, 2) = 9, (193, 3) = 0.5545716063e-1, (194, 1) = 4, (194, 2) = 9, (194, 3) = -.4042118078, (195, 1) = 5, (195, 2) = 9, (195, 3) = -.5964944177, (196, 1) = 6, (196, 2) = 9, (196, 3) = -.1905833584, (197, 1) = 7, (197, 2) = 9, (197, 3) = .4767511005, (198, 1) = 8, (198, 2) = 9, (198, 3) = .7506682199, (199, 1) = 9, (199, 2) = 9, (199, 3) = .3233914390, (200, 1) = 10, (200, 2) = 9, (200, 3) = -.4382763368, (201, 1) = 11, (201, 2) = 9, (201, 3) = -.8228301308, (202, 1) = 12, (202, 2) = 9, (202, 3) = -.4492467708, (203, 1) = 13, (203, 2) = 9, (203, 3) = .3569307410, (204, 1) = 14, (204, 2) = 9, (204, 3) = .8519509886, (205, 1) = 15, (205, 2) = 9, (205, 3) = .5652192772, (206, 1) = 16, (206, 2) = 9, (206, 3) = -.2525527351, (207, 1) = 17, (207, 2) = 9, (207, 3) = -.8501785609, (208, 1) = 18, (208, 2) = 9, (208, 3) = -.6688596471, (209, 1) = 19, (209, 2) = 9, (209, 3) = .1343364207, (210, 1) = 20, (210, 2) = 9, (210, 3) = .8229474886, (211, 1) = 0, (211, 2) = 10, (211, 3) = 0., (212, 1) = 1, (212, 2) = 10, (212, 3) = -.4638579665, (213, 1) = 2, (213, 2) = 10, (213, 3) = .1108227749, (214, 1) = 3, (214, 2) = 10, (214, 3) = 0.5490993721e-1, (215, 1) = 4, (215, 2) = 10, (215, 3) = -.4024970223, (216, 1) = 5, (216, 2) = 10, (216, 3) = -.5950714542, (217, 1) = 6, (217, 2) = 10, (217, 3) = -.1902909418, (218, 1) = 7, (218, 2) = 10, (218, 3) = .4762403352, (219, 1) = 8, (219, 2) = 10, (219, 3) = .7500744066, (220, 1) = 9, (220, 2) = 10, (220, 3) = .3231947269, (221, 1) = 10, (221, 2) = 10, (221, 3) = -.4380649062, (222, 1) = 11, (222, 2) = 10, (222, 3) = -.8225075694, (223, 1) = 12, (223, 2) = 10, (223, 3) = -.4491008181, (224, 1) = 13, (224, 2) = 10, (224, 3) = .3568330649, (225, 1) = 14, (225, 2) = 10, (225, 3) = .8517519124, (226, 1) = 15, (226, 2) = 10, (226, 3) = .5651051813, (227, 1) = 16, (227, 2) = 10, (227, 3) = -.2525082510, (228, 1) = 17, (228, 2) = 10, (228, 3) = -.8500467490, (229, 1) = 18, (229, 2) = 10, (229, 3) = -.6687676644, (230, 1) = 19, (230, 2) = 10, (230, 3) = .1343199221, (231, 1) = 20, (231, 2) = 10, (231, 3) = .8228566773})

(3)

ut1 := plot3d(u, 0 .. 40, 0 .. 20, color = red)

 

vt1 := plot3d(v, 0 .. 20, 0 .. 10, color = red)

 

NULL

NULL

a_1 := 'a_1': a_2 := 'a_2': b_1:= 'b_1': b_2 := 'b_2':

sol1:=NonlinearFit(u(x,t), uVals, [x, t], output = parametervalues);
NULL

[a_1 = HFloat(1.00000000157076), a_2 = HFloat(5.000000009527196), b_1 = HFloat(561442.1100169137)]

 

Typesetting:-mparsed()

(4)

 

sol2:=NonlinearFit(v(x,t), vVals, [x, t], output = parametervalues);
NULL
NULL

[a_1 = HFloat(1488.6740499766013), b_1 = HFloat(5.999999999213946), b_2 = HFloat(2.99999999970029)]

 

Typesetting:-mparsed()

(5)

 ut2:=plot3d( 'eval'(u(x,t),sol1), x=0..20, t=0..10, color=blue);

 

vt2 := plot3d(('eval')(v(x, t), sol2), x = 0 .. 20, t = 0 .. 10, color = blue);
NULL

 

Typesetting:-mparsed()

(6)

evalf(eval(u(5,5), [a_1=1.0, a_2=5.0, b_1=6.0]));
  

-.9231662289

(7)

evalf(eval(u(5,5), sol1));

HFloat(-0.9231663556488456)

(8)

evalf(eval(u(10,3), [a_1=1.0, a_2=5.0, b_1=6.0])); #assumed
  evalf(eval(u(10,3), sol1));

-.5333952295

 

HFloat(-0.5333951516780644)

(9)

evalf(eval(u(7,2), [a_1=1.0, a_2=5.0, b_1=6.0])); #assumed
  evalf(eval(u(7,2), sol1))

.6384985338

 

HFloat(0.6384985278266981)

(10)

 

``

``

``

``

expr:=(sin(x)+sin(x)*a_1*x*t-sin(x)*t+cos(x)*sin(x)*b_1*t^2*x+(1/2)*sin(x)*t^2-sin(x)*((1/2)*cos(x)*a_1*x*t^2+(1/2)*sin(x)*a_1*t^2-(1/2)*cos(x)*t^2)-cos(x)*((1/2)*sin(x)*b_1*x*t^2-(1/2)*sin(x)*t^2)+cos(x)*((1/2)*sin(x)*a_1*x*t^2-(1/2)*sin(x)*t^2)-sin(x)*((1/2)*cos(x)*b_1*x*t^2+(1/2)*sin(x)*b_1*t^2-(1/2)*cos(x)*t^2)+a_1*x*((1/2)*sin(x)*a_1*x*t^2-(1/2)*sin(x)*t^2)-cos(x)*sin(x)*t^2+sin(x)*a_2*t^2*x^2+((1/2)*sin(x)*a_1*x-(1/2)*sin(x))*a_1*t^2*x-sin(x)*a_1^2*x^2*t^2+(1/2)*sin(x)^2*a_1*t^2+(1/2)*sin(x)^2*b_1*t^2)/(1+a_1*x*t+a_2*x^2*t^2);

(sin(x)+sin(x)*a_1*x*t-sin(x)*t+cos(x)*sin(x)*b_1*t^2*x+(1/2)*sin(x)*t^2-sin(x)*((1/2)*cos(x)*a_1*x*t^2+(1/2)*sin(x)*a_1*t^2-(1/2)*cos(x)*t^2)-cos(x)*((1/2)*sin(x)*b_1*x*t^2-(1/2)*sin(x)*t^2)+cos(x)*((1/2)*sin(x)*a_1*x*t^2-(1/2)*sin(x)*t^2)-sin(x)*((1/2)*cos(x)*b_1*x*t^2+(1/2)*sin(x)*b_1*t^2-(1/2)*cos(x)*t^2)+a_1*x*((1/2)*sin(x)*a_1*x*t^2-(1/2)*sin(x)*t^2)-cos(x)*sin(x)*t^2+sin(x)*a_2*t^2*x^2+((1/2)*sin(x)*a_1*x-(1/2)*sin(x))*a_1*t^2*x-sin(x)*a_1^2*x^2*t^2+(1/2)*sin(x)^2*a_1*t^2+(1/2)*sin(x)^2*b_1*t^2)/(a_2*t^2*x^2+a_1*t*x+1)

(11)

 

``

``

``

``

``

``

``

``

``

``

Download fitProb3.mw

kernelopts(cputime) will just return the total time since the start of your Maple session. AFAIK it will never stop anything. If you want to stop your worksheet running after a certain time then you need kernelopts(cpulimit-someValue), where someValue is a time in seconds.

To resolve your original problem you need to be clear about which of two cases occur

  1. the fsolve() command within your loop executes, but returns no values. This is not uncommon: it just means that fsolve() cannot find a solution.  This situation can be detected and 'handled'. For example, ou could stop the loop at this point or carry on to subsequent loop index values (if required)
  2. the fsolve() command never terminates - unusual, but I guess possible: in this case I can't think of anything other than the 'global' kernerlopts(cpulimit=someValue) mentioned above

that settings are being kept?

Off the top of my head, the only other location normally used by Maple for configurations-type files is

C:\Users/yourUserName\AppData\Roaming\Maple\MapleVersion\Maple.ini

You will have to change the emboldened parts of the above to something appropriate for your machine

the best(?) way o produce a file in latex format is to do it from the menus, as in

File->Export As

and in the popup, change the 'Files of Type' selector, to LaTeX

Your code executes correctly - so exactly what is the problem?

was superseded in 2009, so nearly 10 years old. I have no access to this version - or even its help

I can tell that the syntax I used for the NonLinearFit() command only became available in Maple 15. Unfortunately I only have Maple versions from 18 onwards loaded on my machine, ie everything from the last five years. So I'm having to guess (a little)

It would be rare for Maplesoft to remove command alternatives which used to work, so *one* of the syntaxes which is currently available *ought* to work in Maple 13!

The only such alternative is that rather than supply the points to be fitted as an nX3 matrix where rows are

x-value, t-value, p1(x-value, t-value)

one has to supply two matrices. The first matrix  is nx2 and contains the coordinates of the independent variables, ie rows are

x-value, t-value

The second matrix is nx1 and contains the function values, ie

p1(x-value, t-value)

So the command I used previously, ie

sol:=NonlinearFit(p1(x,t), p1Vals, [x, t], output = parametervalues);

has to be replaced with

sol:=NonlinearFit(p1(x,t), p1Vals[..,1..2], p1Vals[..,3], [x, t], output = parametervalues);

I have used this in the attached. It works in recent Maple versions, but I can't absolutely guarantee that it will work in Maple 13, because I can't test it!!

  restart;
  with(Statistics):
#
# Define function
#
  p1 := proc (x, t)
              return (sin(x)+sin(x)*a_1*x*t-sin(x)*t+cos(x)*sin(x)*b_1*t^2*x+(1/2)*sin(x)*t^2-sin(x)*((1/2)*cos(x)*a_1*x*t^2+(1/2)*sin(x)*a_1*t^2-(1/2)*cos(x)*t^2)-cos(x)*((1/2)*sin(x)*b_1*x*t^2-(1/2)*sin(x)*t^2)+cos(x)*((1/2)*sin(x)*a_1*x*t^2-(1/2)*sin(x)*t^2)-sin(x)*((1/2)*cos(x)*b_1*x*t^2+(1/2)*sin(x)*b_1*t^2-(1/2)*cos(x)*t^2)+a_1*x*((1/2)*sin(x)*a_1*x*t^2-(1/2)*sin(x)*t^2)-cos(x)*sin(x)*t^2+sin(x)*a_2*t^2*x^2+((1/2)*sin(x)*a_1*x-(1/2)*sin(x))*a_1*t^2*x-sin(x)*a_1^2*x^2*t^2+(1/2)*sin(x)^2*a_1*t^2+(1/2)*sin(x)^2*b_1*t^2)/(1+a_1*x*t+a_2*x^2*t^2);
        end proc:
#
# Set some values for the 'test' parameters.
# These will become the 'unknowns' which the
# nonLinearFit() command will try to determine
#
# NB p1() does not depend on b_2
#
  a_1 := 1: a_2 := 5: b_1:= 6: b_2 := 3:
#
# Generate a matrix of points which will be used
# for the fit. This matrix is organised with three
# columns
#
# column1 = x_value
# column2 = t_value
# column3 = p1( x_value, t_value)
#
  p1Vals := Matrix([seq( seq( [i, j, evalf(p1(i,j))], i=0..20), j=0..10)]);
#
# Produce a plot of the function with the assumed values
# of the parameters, for comparison with the yet-to-be-
# obtained plot of the function with the fitted parameters
#
  plt1:=plot3d( p1, 0..20, 0..10, color=red);
#
# Reset the parameters to be unknown
#
  a_1 := 'a_1': a_2 := 'a_2': b_1:= 'b_1': b_2 := 'b_2':
#
# Generate the values for these parameters from the
# NonLinearFit() command. Note that b_2 will not be
# obtained because it does not exist in p1()
#
#
# sol:=NonlinearFit(p1(x,t), p1Vals, [x, t], output = parametervalues);
#
# Above command replaced by a slight variation which
# *might* work in Maple 13 - although I can't be sure
#
  sol:=NonlinearFit(p1(x,t), p1Vals[..,1..2], p1Vals[..,3], [x, t], output = parametervalues);
#
# Note that a_1 and a_2 are very close to the 'assumed'
# values, but b_1 seems to be off by a mile!
#
# Produce a plot of the target function with these fitted parameters
# Looks pretty similar to the original plot - even with a grossly
# different value for b__1
#
  plt2:=plot3d( 'eval'(p1(x,t),sol), x=0..20, t=0..10, color=blue);
#
# Generate a few values of p1(xt) with [a_1=1, a_2=5, b_1=6],
# ie the original assumed values, and then with [a_1=1, a_2=5,
# b_1=-154326.052324557] ie the fitted values: just to see
# if the difference is significant - and it doesn't seem to be.
# I guess the original function just isn't that dependent on
# b_1!
#
  evalf(eval(p1(5,5), [a_1=1.0, a_2=5.0, b_1=6.0])); #assumed
  evalf(eval(p1(5,5), sol)); #fitted

  evalf(eval(p1(10,3), [a_1=1.0, a_2=5.0, b_1=6.0])); #assumed
  evalf(eval(p1(10,3), sol)); #fitted

  evalf(eval(p1(7,2), [a_1=1.0, a_2=5.0, b_1=6.0])); #assumed
  evalf(eval(p1(7,2), sol)); #fitted
#
# The reason why there is little/no dependence on the b_1
# parameter can be seen if one just applies a simplify()
# command to the expression with the procedure p1(). The
# simplified expression does not contain b_1!!!
#
  expr:=(sin(x)+sin(x)*a_1*x*t-sin(x)*t+cos(x)*sin(x)*b_1*t^2*x+(1/2)*sin(x)*t^2-sin(x)*((1/2)*cos(x)*a_1*x*t^2+(1/2)*sin(x)*a_1*t^2-(1/2)*cos(x)*t^2)-cos(x)*((1/2)*sin(x)*b_1*x*t^2-(1/2)*sin(x)*t^2)+cos(x)*((1/2)*sin(x)*a_1*x*t^2-(1/2)*sin(x)*t^2)-sin(x)*((1/2)*cos(x)*b_1*x*t^2+(1/2)*sin(x)*b_1*t^2-(1/2)*cos(x)*t^2)+a_1*x*((1/2)*sin(x)*a_1*x*t^2-(1/2)*sin(x)*t^2)-cos(x)*sin(x)*t^2+sin(x)*a_2*t^2*x^2+((1/2)*sin(x)*a_1*x-(1/2)*sin(x))*a_1*t^2*x-sin(x)*a_1^2*x^2*t^2+(1/2)*sin(x)^2*a_1*t^2+(1/2)*sin(x)^2*b_1*t^2)/(1+a_1*x*t+a_2*x^2*t^2);
  simplify(expr);

p1Vals := Matrix(231, 3, {(1, 1) = 0, (1, 2) = 0, (1, 3) = 0., (2, 1) = 1, (2, 2) = 0, (2, 3) = .8414709848, (3, 1) = 2, (3, 2) = 0, (3, 3) = .9092974268, (4, 1) = 3, (4, 2) = 0, (4, 3) = .1411200081, (5, 1) = 4, (5, 2) = 0, (5, 3) = -.7568024953, (6, 1) = 5, (6, 2) = 0, (6, 3) = -.9589242747, (7, 1) = 6, (7, 2) = 0, (7, 3) = -.2794154982, (8, 1) = 7, (8, 2) = 0, (8, 3) = .6569865987, (9, 1) = 8, (9, 2) = 0, (9, 3) = .9893582466, (10, 1) = 9, (10, 2) = 0, (10, 3) = .4121184852, (11, 1) = 10, (11, 2) = 0, (11, 3) = -.5440211109, (12, 1) = 11, (12, 2) = 0, (12, 3) = -.9999902066, (13, 1) = 12, (13, 2) = 0, (13, 3) = -.5365729180, (14, 1) = 13, (14, 2) = 0, (14, 3) = .4201670368, (15, 1) = 14, (15, 2) = 0, (15, 3) = .9906073557, (16, 1) = 15, (16, 2) = 0, (16, 3) = .6502878402, (17, 1) = 16, (17, 2) = 0, (17, 3) = -.2879033167, (18, 1) = 17, (18, 2) = 0, (18, 3) = -.9613974919, (19, 1) = 18, (19, 2) = 0, (19, 3) = -.7509872468, (20, 1) = 19, (20, 2) = 0, (20, 3) = .1498772097, (21, 1) = 20, (21, 2) = 0, (21, 3) = .9129452507, (22, 1) = 0, (22, 2) = 1, (22, 3) = 0., (23, 1) = 1, (23, 2) = 1, (23, 3) = .6611557740, (24, 1) = 2, (24, 2) = 1, (24, 3) = .8104607500, (25, 1) = 3, (25, 2) = 1, (25, 3) = .1310400075, (26, 1) = 4, (26, 2) = 1, (26, 3) = -.7167364808, (27, 1) = 5, (27, 2) = 1, (27, 3) = -.9186640954, (28, 1) = 6, (28, 2) = 1, (28, 3) = -.2697031948, (29, 1) = 7, (29, 2) = 1, (29, 3) = .6375107114, (30, 1) = 8, (30, 2) = 1, (30, 3) = .9637973192, (31, 1) = 9, (31, 2) = 1, (31, 3) = .4026844476, (32, 1) = 10, (32, 2) = 1, (32, 3) = -.5328425950, (33, 1) = 11, (33, 2) = 1, (33, 3) = -.9813518154, (34, 1) = 12, (34, 2) = 1, (34, 3) = -.5274226294, (35, 1) = 13, (35, 2) = 1, (35, 3) = .4135637132, (36, 1) = 14, (36, 2) = 1, (36, 3) = .9761713692, (37, 1) = 15, (37, 2) = 1, (37, 3) = .6414539563, (38, 1) = 16, (38, 2) = 1, (38, 3) = -.2842407071, (39, 1) = 17, (39, 2) = 1, (39, 3) = -.9498975218, (40, 1) = 18, (40, 2) = 1, (40, 3) = -.7425105757, (41, 1) = 19, (41, 2) = 1, (41, 3) = .1482757820, (42, 1) = 20, (42, 2) = 1, (42, 3) = .9036847966, (43, 1) = 0, (43, 2) = 2, (43, 3) = 0., (44, 1) = 1, (44, 2) = 2, (44, 3) = .6951282045, (45, 1) = 2, (45, 2) = 2, (45, 3) = .8237164926, (46, 1) = 3, (46, 2) = 2, (46, 3) = .1320641786, (47, 1) = 4, (47, 2) = 2, (47, 3) = -.7199975108, (48, 1) = 5, (48, 2) = 2, (48, 3) = -.9213929920, (49, 1) = 6, (49, 2) = 2, (49, 3) = -.2702668325, (50, 1) = 7, (50, 2) = 2, (50, 3) = .6384985335, (51, 1) = 8, (51, 2) = 2, (51, 3) = .9649484827, (52, 1) = 9, (52, 2) = 2, (52, 3) = .4030664623, (53, 1) = 10, (53, 2) = 2, (53, 3) = -.5332537460, (54, 1) = 11, (54, 2) = 2, (54, 3) = -.9819797402, (55, 1) = 12, (55, 2) = 2, (55, 3) = -.5277069972, (56, 1) = 13, (56, 2) = 2, (56, 3) = .4137541557, (57, 1) = 14, (57, 2) = 2, (57, 3) = .9765597458, (58, 1) = 15, (58, 2) = 2, (58, 3) = .6416766572, (59, 1) = 16, (59, 2) = 2, (59, 3) = -.2843275720, (60, 1) = 17, (60, 2) = 2, (60, 3) = -.9501550105, (61, 1) = 18, (61, 2) = 2, (61, 3) = -.7426903186, (62, 1) = 19, (62, 2) = 2, (62, 3) = .1483080310, (63, 1) = 20, (63, 2) = 2, (63, 3) = .9038623480, (64, 1) = 0, (64, 2) = 3, (64, 3) = 0., (65, 1) = 1, (65, 2) = 3, (65, 3) = .7126744057, (66, 1) = 2, (66, 2) = 3, (66, 3) = .8290653010, (67, 1) = 3, (67, 2) = 3, (67, 3) = .1324487787, (68, 1) = 4, (68, 2) = 3, (68, 3) = -.7211821866, (69, 1) = 5, (69, 2) = 3, (69, 3) = -.9223658120, (70, 1) = 6, (70, 2) = 3, (70, 3) = -.2704653373, (71, 1) = 7, (71, 2) = 3, (71, 3) = .6388435021, (72, 1) = 8, (72, 2) = 3, (72, 3) = .9653480034, (73, 1) = 9, (73, 2) = 3, (73, 3) = .4031984146, (74, 1) = 10, (74, 2) = 3, (74, 3) = -.5333952296, (75, 1) = 11, (75, 2) = 3, (75, 3) = -.9821951629, (76, 1) = 12, (76, 2) = 3, (76, 3) = -.5278043104, (77, 1) = 13, (77, 2) = 3, (77, 3) = .4138191894, (78, 1) = 14, (78, 2) = 3, (78, 3) = .9766921334, (79, 1) = 15, (79, 2) = 3, (79, 3) = .6417524526, (80, 1) = 16, (80, 2) = 3, (80, 3) = -.2843570964, (81, 1) = 17, (81, 2) = 3, (81, 3) = -.9502424241, (82, 1) = 18, (82, 2) = 3, (82, 3) = -.7427512746, (83, 1) = 19, (83, 2) = 3, (83, 3) = .1483189573, (84, 1) = 20, (84, 2) = 3, (84, 3) = .9039224543, (85, 1) = 0, (85, 2) = 4, (85, 3) = 0., (86, 1) = 1, (86, 2) = 4, (86, 3) = .7226750809, (87, 1) = 2, (87, 2) = 4, (87, 3) = .8319104117, (88, 1) = 3, (88, 2) = 4, (88, 3) = .1326489571, (89, 1) = 4, (89, 2) = 4, (89, 3) = -.7217923567, (90, 1) = 5, (90, 2) = 4, (90, 3) = -.9228637873, (91, 1) = 6, (91, 2) = 4, (91, 3) = -.2705665392, (92, 1) = 7, (92, 2) = 4, (92, 3) = .6390188720, (93, 1) = 8, (93, 2) = 4, (93, 3) = .9655506739, (94, 1) = 9, (94, 2) = 4, (94, 3) = .4032652417, (95, 1) = 10, (95, 2) = 4, (95, 3) = -.5334667902, (96, 1) = 11, (96, 2) = 4, (96, 3) = -.9823040045, (97, 1) = 12, (97, 2) = 4, (97, 3) = -.5278534343, (98, 1) = 13, (98, 2) = 4, (98, 3) = .4138519940, (99, 1) = 14, (99, 2) = 4, (99, 3) = .9767588700, (100, 1) = 15, (100, 2) = 4, (100, 3) = .6417906401, (101, 1) = 16, (101, 2) = 4, (101, 3) = -.2843719643, (102, 1) = 17, (102, 2) = 4, (102, 3) = -.9502864252, (103, 1) = 18, (103, 2) = 4, (103, 3) = -.7427819461, (104, 1) = 19, (104, 2) = 4, (104, 3) = .1483244535, (105, 1) = 20, (105, 2) = 4, (105, 3) = .9039526788, (106, 1) = 0, (106, 2) = 5, (106, 3) = 0., (107, 1) = 1, (107, 2) = 5, (107, 3) = .7290607391, (108, 1) = 2, (108, 2) = 5, (108, 3) = .8336709284, (109, 1) = 3, (109, 2) = 5, (109, 3) = .1327715413, (110, 1) = 4, (110, 2) = 5, (110, 3) = -.7221640832, (111, 1) = 5, (111, 2) = 5, (111, 3) = -.9231662289, (112, 1) = 6, (112, 2) = 5, (112, 3) = -.2706278778, (113, 1) = 7, (113, 2) = 5, (113, 3) = .6391250088, (114, 1) = 8, (114, 2) = 5, (114, 3) = .9656731996, (115, 1) = 9, (115, 2) = 5, (115, 3) = .4033056083, (116, 1) = 10, (116, 2) = 5, (116, 3) = -.5335099868, (117, 1) = 11, (117, 2) = 5, (117, 3) = -.9823696691, (118, 1) = 12, (118, 2) = 5, (118, 3) = -.5278830570, (119, 1) = 13, (119, 2) = 5, (119, 3) = .4138717683, (120, 1) = 14, (120, 2) = 5, (120, 3) = .9767990849, (121, 1) = 15, (121, 2) = 5, (121, 3) = .6418136450, (122, 1) = 16, (122, 2) = 5, (122, 3) = -.2843809186, (123, 1) = 17, (123, 2) = 5, (123, 3) = -.9503129194, (124, 1) = 18, (124, 2) = 5, (124, 3) = -.7428004108, (125, 1) = 19, (125, 2) = 5, (125, 3) = .1483277615, (126, 1) = 20, (126, 2) = 5, (126, 3) = .9039708682, (127, 1) = 0, (127, 2) = 6, (127, 3) = 0., (128, 1) = 1, (128, 2) = 6, (128, 3) = .7334747084, (129, 1) = 2, (129, 2) = 6, (129, 3) = .8348665324, (130, 1) = 3, (130, 2) = 6, (130, 3) = .1328542846, (131, 1) = 4, (131, 2) = 6, (131, 3) = -.7224142234, (132, 1) = 5, (132, 2) = 6, (132, 3) = -.9233693691, (133, 1) = 6, (133, 2) = 6, (133, 3) = -.2706690256, (134, 1) = 7, (134, 2) = 6, (134, 3) = .6391961459, (135, 1) = 8, (135, 2) = 6, (135, 3) = .9657552667, (136, 1) = 9, (136, 2) = 6, (136, 3) = .4033326316, (137, 1) = 10, (137, 2) = 6, (137, 3) = -.5335388925, (138, 1) = 11, (138, 2) = 6, (138, 3) = -.9824135947, (139, 1) = 12, (139, 2) = 6, (139, 3) = -.5279028674, (140, 1) = 13, (140, 2) = 6, (140, 3) = .4138849892, (141, 1) = 14, (141, 2) = 6, (141, 3) = .9768259669, (142, 1) = 15, (142, 2) = 6, (142, 3) = .6418290197, (143, 1) = 16, (143, 2) = 6, (143, 3) = -.2843869021, (144, 1) = 17, (144, 2) = 6, (144, 3) = -.9503306215, (145, 1) = 18, (145, 2) = 6, (145, 3) = -.7428127462, (146, 1) = 19, (146, 2) = 6, (146, 3) = .1483299714, (147, 1) = 20, (147, 2) = 6, (147, 3) = .9039830173, (148, 1) = 0, (148, 2) = 7, (148, 3) = 0., (149, 1) = 1, (149, 2) = 7, (149, 3) = .7367028582, (150, 1) = 2, (150, 2) = 7, (150, 3) = .8357311526, (151, 1) = 3, (151, 2) = 7, (151, 3) = .1329138828, (152, 1) = 4, (152, 2) = 7, (152, 3) = -.7225940261, (153, 1) = 5, (153, 2) = 7, (153, 3) = -.9235152060, (154, 1) = 6, (154, 2) = 7, (154, 3) = -.2706985418, (155, 1) = 7, (155, 2) = 7, (155, 3) = .6392471430, (156, 1) = 8, (156, 2) = 7, (156, 3) = .9658140727, (157, 1) = 9, (157, 2) = 7, (157, 3) = .4033519887, (158, 1) = 10, (158, 2) = 7, (158, 3) = -.5335595921, (159, 1) = 11, (159, 2) = 7, (159, 3) = -.9824450431, (160, 1) = 12, (160, 2) = 7, (160, 3) = -.5279170478, (161, 1) = 13, (161, 2) = 7, (161, 3) = .4138944513, (162, 1) = 14, (162, 2) = 7, (162, 3) = .9768452031, (163, 1) = 15, (163, 2) = 7, (163, 3) = .6418400205, (164, 1) = 16, (164, 2) = 7, (164, 3) = -.2843911832, (165, 1) = 17, (165, 2) = 7, (165, 3) = -.9503432846, (166, 1) = 18, (166, 2) = 7, (166, 3) = -.7428215699, (167, 1) = 19, (167, 2) = 7, (167, 3) = .1483315518, (168, 1) = 20, (168, 2) = 7, (168, 3) = .9039917063, (169, 1) = 0, (169, 2) = 8, (169, 3) = 0., (170, 1) = 1, (170, 2) = 8, (170, 3) = .7391644826, (171, 1) = 2, (171, 2) = 8, (171, 3) = .8363853741, (172, 1) = 3, (172, 2) = 8, (172, 3) = .1329588510, (173, 1) = 4, (173, 2) = 8, (173, 3) = -.7227294934, (174, 1) = 5, (174, 2) = 8, (174, 3) = -.9236249854, (175, 1) = 6, (175, 2) = 8, (175, 3) = -.2707207468, (176, 1) = 7, (176, 2) = 8, (176, 3) = .6392854919, (177, 1) = 8, (177, 2) = 8, (177, 3) = .9658582795, (178, 1) = 9, (178, 2) = 8, (178, 3) = .4033665365, (179, 1) = 10, (179, 2) = 8, (179, 3) = -.5335751458, (180, 1) = 11, (180, 2) = 8, (180, 3) = -.9824686693, (181, 1) = 12, (181, 2) = 8, (181, 3) = -.5279276995, (182, 1) = 13, (182, 2) = 8, (182, 3) = .4139015580, (183, 1) = 14, (183, 2) = 8, (183, 3) = .9768596497, (184, 1) = 15, (184, 2) = 8, (184, 3) = .6418482813, (185, 1) = 16, (185, 2) = 8, (185, 3) = -.2843943974, (186, 1) = 17, (186, 2) = 8, (186, 3) = -.9503527925, (187, 1) = 18, (187, 2) = 8, (187, 3) = -.7428281944, (188, 1) = 19, (188, 2) = 8, (188, 3) = .1483327383, (189, 1) = 20, (189, 2) = 8, (189, 3) = .9039982291, (190, 1) = 0, (190, 2) = 9, (190, 3) = 0., (191, 1) = 1, (191, 2) = 9, (191, 3) = .7411027588, (192, 1) = 2, (192, 2) = 9, (192, 3) = .8368976012, (193, 1) = 3, (193, 2) = 9, (193, 3) = .1329939853, (194, 1) = 4, (194, 2) = 9, (194, 3) = -.7228352205, (195, 1) = 5, (195, 2) = 9, (195, 3) = -.9237106069, (196, 1) = 6, (196, 2) = 9, (196, 3) = -.2707380576, (197, 1) = 7, (197, 2) = 9, (197, 3) = .6393153784, (198, 1) = 8, (198, 2) = 9, (198, 3) = .9658927228, (199, 1) = 9, (199, 2) = 9, (199, 3) = .4033778689, (200, 1) = 10, (200, 2) = 9, (200, 3) = -.5335872601, (201, 1) = 11, (201, 2) = 9, (201, 3) = -.9824870687, (202, 1) = 12, (202, 2) = 9, (202, 3) = -.5279359940, (203, 1) = 13, (203, 2) = 9, (203, 3) = .4139070915, (204, 1) = 14, (204, 2) = 9, (204, 3) = .9768708971, (205, 1) = 15, (205, 2) = 9, (205, 3) = .6418547125, (206, 1) = 16, (206, 2) = 9, (206, 3) = -.2843968998, (207, 1) = 17, (207, 2) = 9, (207, 3) = -.9503601936, (208, 1) = 18, (208, 2) = 9, (208, 3) = -.7428333509, (209, 1) = 19, (209, 2) = 9, (209, 3) = .1483336619, (210, 1) = 20, (210, 2) = 9, (210, 3) = .9040033060, (211, 1) = 0, (211, 2) = 10, (211, 3) = 0., (212, 1) = 1, (212, 2) = 10, (212, 3) = .7426681298, (213, 1) = 2, (213, 2) = 10, (213, 3) = .8373095059, (214, 1) = 3, (214, 2) = 10, (214, 3) = .1330221926, (215, 1) = 4, (215, 2) = 10, (215, 3) = -.7229200306, (216, 1) = 5, (216, 2) = 10, (216, 3) = -.9237792531, (217, 1) = 6, (217, 2) = 10, (217, 3) = -.2707519314, (218, 1) = 7, (218, 2) = 10, (218, 3) = .6393393253, (219, 1) = 8, (219, 2) = 10, (219, 3) = .9659203155, (220, 1) = 9, (220, 2) = 10, (220, 3) = .4033869463, (221, 1) = 10, (221, 2) = 10, (221, 3) = -.5335969622, (222, 1) = 11, (222, 2) = 10, (222, 3) = -.9825018032, (223, 1) = 12, (223, 2) = 10, (223, 3) = -.5279426358, (224, 1) = 13, (224, 2) = 10, (224, 3) = .4139115221, (225, 1) = 14, (225, 2) = 10, (225, 3) = .9768799024, (226, 1) = 15, (226, 2) = 10, (226, 3) = .6418598613, (227, 1) = 16, (227, 2) = 10, (227, 3) = -.2843989030, (228, 1) = 17, (228, 2) = 10, (228, 3) = -.9503661184, (229, 1) = 18, (229, 2) = 10, (229, 3) = -.7428374785, (230, 1) = 19, (230, 2) = 10, (230, 3) = .1483344012, (231, 1) = 20, (231, 2) = 10, (231, 3) = .9040073698})

 

 

[a_1 = HFloat(0.9999999993312713), a_2 = HFloat(4.999999997371034), b_1 = HFloat(-154326.05232455724)]

 

 

-.9231662289

 

HFloat(-0.9231661940849563)

 

-.5333952295

 

HFloat(-0.5333952509804192)

 

.6384985338

 

HFloat(0.6384985352051729)

 

(sin(x)+sin(x)*a_1*x*t-sin(x)*t+cos(x)*sin(x)*b_1*t^2*x+(1/2)*sin(x)*t^2-sin(x)*((1/2)*cos(x)*a_1*x*t^2+(1/2)*sin(x)*a_1*t^2-(1/2)*cos(x)*t^2)-cos(x)*((1/2)*sin(x)*b_1*x*t^2-(1/2)*sin(x)*t^2)+cos(x)*((1/2)*sin(x)*a_1*x*t^2-(1/2)*sin(x)*t^2)-sin(x)*((1/2)*cos(x)*b_1*x*t^2+(1/2)*sin(x)*b_1*t^2-(1/2)*cos(x)*t^2)+a_1*x*((1/2)*sin(x)*a_1*x*t^2-(1/2)*sin(x)*t^2)-cos(x)*sin(x)*t^2+sin(x)*a_2*t^2*x^2+((1/2)*sin(x)*a_1*x-(1/2)*sin(x))*a_1*t^2*x-sin(x)*a_1^2*x^2*t^2+(1/2)*sin(x)^2*a_1*t^2+(1/2)*sin(x)^2*b_1*t^2)/(a_2*t^2*x^2+a_1*t*x+1)

 

(2+(2*a_2*x^2-2*a_1*x+1)*t^2+(2*a_1*x-2)*t)*sin(x)/(2*a_2*t^2*x^2+2*a_1*t*x+2)

(1)

 

Download fitProb2.mw

 

I demonstrated the multiplication of matrices with complex entries which does work. Which part of this don't you understand?

Your life would be so much easier if you would just post a worksheet, demonstrating your problem, using the big green up arrow in the Mapleprimes toolbar. Someone here would then fix your worksheet and repost it. How hard is that to grasp?

The worksheet you post works for me with no errors, so I have to assume that this is a Maple Version issue - or possibly OS.

Which Maple version are you running o0n what OS?

in the attached worksheet will rovide the correct answer


 

restart;

(1/2+I)*(3+2*I);# 1-D input

-1/2+4*I

(1)

(1/2+I)*(3+2*I)

-1/2+4*I

(2)

(1/2+I)*(3+2*I)

-1/2+4*I

(3)

  restart;
#
# redefine the imaginary unit
#
  interface(imaginaryunit=j):

(1/2+j)*(3+2*j);# 1-D input

-1/2+4*I

(4)

(1/2+I)*(3+2*I)

-1/2+4*I

(5)

(1/2+I)*(3+2*I)

-1/2+4*I

(6)

 


 

Download plexInput.mw

  1. As Preben has said, the square root of -1 in Maple is represented by capital I: you can change this to (pretty much) anything you want, for example the character 'j', by setting interface(imagiunaryunit=j) at the top of your worksheet.
  2. When entering compex numbers, ensure that you have a multiplication sign between the character 'I' and its associated coefficient, so for 1+2I, you would actually type 1+2*I.
  3. If you are using 2-D input (as in your original worksheet), then you can use 'implied multiplication', which requires you just to type a space beween the 'I' and its associated coefficient. This will work 99.9%(!?) of the time, but my advice would be to avoid ithis practice, and type the explicit multiplication symbol as in (2) above
First 95 96 97 98 99 100 101 Last Page 97 of 207