vv

14027 Reputation

20 Badges

10 years, 41 days

MaplePrimes Activity


These are answers submitted by vv

You have again here an ode which has a factor not containing y'.

factor(lhs(ode) );
      2*(y(x)*x + 1)*(diff(y(x), x)*x + y(x))

I don't know why you do this, because in my opinion dsolve should not be given such arguments (unless you want to test something).
Anyway, dsolve seems to be fooled by it and gives twice the same general solution (_C1  ---> - _C1).
The singular solution y = -1/x  is from the first factor, which has nothing to do with the second (linear ODE) factor, so it is "essential";  only by (intentional?) coincidence, -1/x  is obtained for _C1 = 0.

 

Maybe an unusual phenomenon closely follows StudentT(13/3); why exclude it?
Even a dimension can be noninteger; see Sierpinski's triangle whose (Hausdorff) dimension is log[2](3).

radnormal(arctanh(A)-arctanh(B));
                      0

 

Maple does "generic" simplifications.
See the simpler example:

ex:=x/(x+1)/(x+y):
eval(ex,x=0);    # generic only, not valid when y=0

                               0
eval(ex,y=0);
                  1/(x+1)

eval(%, x=0);
                               1

 

This is obvious and not related to Maple. If A+B*y' = 0  (or A dx+B dy = 0) is exact, then  A/B +y ' = 0 is no longer exact (in general): it has B as integrating factor.

p[1]:=(a+b)*x^2+(a+c)*x*y+d*z:
p[2]:=(a-b)*x+e*y*z+f*z^2:
q[1]:=x^2+2*x*y+3*z:
q[2]:=x+4*y*z:
coeffs(p[1]-q[1],[x,y,z]), coeffs(p[2]-q[2],[x,y,z]):
solve([%]);

           {a = 1, b = 0, c = 1, d = 3, e = 4, f = 0}

There are many examples of  sequences of functions f(n,x)
which are convergent (n-->oo) but diff(f(n,x),x) diverges.
A simple one:  f(n,x) = sin(n^2*x)/n.

restart;
Normalizer:=proc() normal(simplify(args[1]))end:
Testzero:= proc() evalb(Normalizer(args[1])=0)end:
alias(x0=RootOf(AiryAi(_Z)*a + b*AiryBi(_Z))):
series((2^(1/3)*Pi*AiryAi(x))/(b*(a*AiryAi(x) + b*AiryBi(x))), x=x0, 4);

 

 

The problem is that in the text u^(2/3)  corresponds to (u^2)^(1/3) or abs(u)^(2/3) in Maple for a real u.

But eliminate will not use this.
All you can do is to verify the relation (or use some artificial acrobatics, but only because you know the result):

restart;
x:=-a/(1+c^2)^(3/2):
y:=a*c^3/(1+c^2)^(3/2):
simplify( (x^2)^(1/3) + (y^2)^(1/3) ) assuming  c>0; # or c<0

     (a^2)^(1/3)

If  F, G are distributions, F*G cannot be defined in general.
It is possible to define it when F is a test function and G is a distribution (in D'(R) or S'(R), i.e. tempered).
So, Dirac(x)^2  or Heaviside(x)*Dirac(x) do not exist as distributions.
[However, in some formal contexts, the latter could appear, I think]

Note that Maple acts symbolically (formally), so the user must check that the desired computations make sense.
For example,
int(x^2*Dirac(x)^2,x=-infinity..infinity);  #==>  not evaluated
int(x*Dirac(x)^2,x=-infinity..infinity);     # ==> 0
even if both are nonsense.

To obtain a simple and general solution it's better to change the strategy and also help Maple a little.

 

de := x^4*diff(y(x), x $ 2) + omega^2*y(x) = 0;

x^4*(diff(diff(y(x), x), x))+omega^2*y(x) = 0

(1)

# bc := y(a) = 0, y(b) = 0, D(y)(a) = 1;

dsolve({de, y(a) = 0, D(y)(a) = 1},y(x)):

Y:=simplify(rhs(%));

a*x*(sin(omega/a)*cos(omega/x)-cos(omega/a)*sin(omega/x))/omega

(2)

omega/a=omega/b+k*Pi;  #y(b)=0

omega/a = omega/b+k*Pi

(3)

omega=solve(%, omega);  # k in Z \ {0}

omega = -k*Pi*b*a/(a-b)

(4)

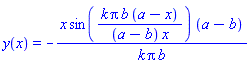
y(x)=(factor@combine)(eval(Y,%));

y(x) = -x*sin(k*Pi*b*(a-x)/((a-b)*x))*(a-b)/(k*Pi*b)

(5)

 

To compute the second integral:

int(sin(x)^(1/3)*cos(x)^3, x):
eval(IntegrationTools:-Change(%, cos(x)=u), u=cos(x));

Note that it is valid only for sin(x)>0. Check:

simplify(diff(%-%%,x)) assuming x>0,x<Pi;  # or sin(x)>0
     0

The integral given by Maple for your 1st example is valid in R.

After isolating y', the new ode is not exactly equivalent with the original, because the solutions given by the algebraic equation

2*x^(5/2) - 3*y(x)^(5/3) = 0      (*)

are lost [the ode was divided by the lhs of (*), which is seen "generically" <> 0].

The first 5 solutions given by dsolve are from (*).

 

Each solution is local, i.e. is valid in some intervals.

For example, sol[2] is valid for x > -ln(_C1)   if  _C1 > 0.

Note that the Cauchy problem  
dsolve({ode, y(0)=1});

gives  y(x) = 1, y(x) = 2*exp(x)-1
but the first one is nowhere valid.

Edit.

The correct (standard) general solution is:

y(x) = piecewise(0 <= x+c, exp(x+c)-1, 1-exp(-x-c))

 

f:=a*x+b;
pf:=unapply(f, a,b,x);
g:=(a,b)->curry(pf, a,b);

 

First 49 50 51 52 53 54 55 Last Page 51 of 121