vv

14112 Reputation

20 Badges

10 years, 156 days

MaplePrimes Activity


These are answers submitted by vv

A necessary and sufficient condition is given by

istetra:=proc(a,b,c,d,e,f)
is(`and`(       #((
a>0,b>0,c>0,d>0,e>0,f>0,
2*max(a,b,c)<a+b+c,
2*max(a,e,f)<a+e+f,
2*max(d,b,f)<d+b+f,
2*max(d,e,c)<d+e+c,
LinearAlgebra:-Determinant(
<0,a^2,b^2,c^2,1; a^2,0,f^2,e^2,1; b^2,f^2,0,d^2,1; c^2,e^2,d^2,0,1; 1,1,1,1,0>) >0
))
end;

In tomleslie's answer the triangle inequalities for faces are missing.

A more elegant version is:

IsTetra:=proc(d::Matrix(4, shape=symmetric))
Matrix(3, (i,j)-> d[4,i]^2+d[4,j]^2-d[i,j]^2);
LinearAlgebra:-IsDefinite(%, query = 'positive_definite')
end proc:

Example.

T:=Matrix(4, {(1,2)=3, (1,3)=4, (2,3)=5, (1,4)=4, (2,4)=4, (3,4)=4}, shape='symmetric'):
IsTetra(T);

        true

Try:

K:= f -> `if`(type(f,piecewise), select(type, [op(f)], And(algebraic,Not(undefined))), f);

 

f:=a*x^2 + b*x + c:
max(solve(f = 0, x)) assuming a>0, b^2-4*a*c >= 0;

         

max(solve(f = 0, x)) assuming a<0, b^2-4*a*c >= 0;
     

Note that the largest root is not necessarily positive. It will if a*c<0 or (a*c>0 and a*b<0).

Use assumptions or formal sums

sum(x^n,n=0..infinity) assuming abs(x)<1;
sum(x^n,n=0..infinity,  formal);

 

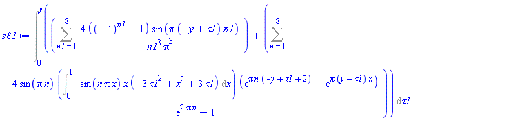
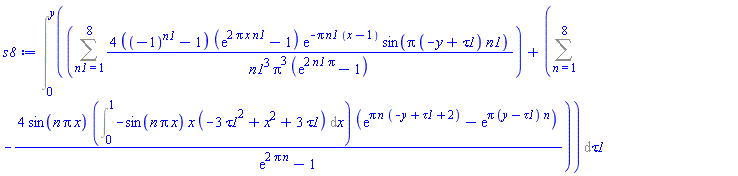
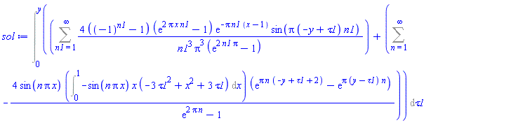
J := n -> int(sin(Pi*x*n/T)*cos(Pi*x*n/T)/(sin(Pi*x/T)*cos(Pi*x/T)), x);

proc (n) options operator, arrow; int(sin(Pi*x*n/T)*cos(Pi*x*n/T)/(sin(Pi*x/T)*cos(Pi*x/T)), x) end proc

(1)

 

 

K:= unapply(combine(J(k)-J(k-2)), k):

J__even:=Sum(K(2*k), k=1..n/2) assuming n::even;

Sum(sin((4*Pi*k*x-2*Pi*x)/T)*T/(2*Pi*k-Pi), k = 1 .. (1/2)*n)

(2)

J__odd:=x+Sum(K(2*k-1), k=2..(n+1)/2) assuming n::odd;

x+Sum(sin((2*Pi*(2*k-1)*x-2*Pi*x)/T)*T/(Pi*(2*k-1)-Pi), k = 2 .. (1/2)*n+1/2)

(3)

# Compact forms:
 

'J__even'=value(J__even); # n::even

J__even = -((1/4)*I)*T*(-(-exp(-(4*I)*Pi*x/T))^(1/2)*LerchPhi(exp((4*I)*Pi*x/T), 1, (1/2)*n+1/2)*(-exp((4*I)*Pi*x/T))^(1/2)*exp((2*I)*Pi*x*(n+1)/T)+(-exp(-(4*I)*Pi*x/T))^(1/2)*LerchPhi(exp(-(4*I)*Pi*x/T), 1, (1/2)*n+1/2)*(-exp((4*I)*Pi*x/T))^(1/2)*exp(-(2*I)*Pi*x*(n+1)/T)+2*exp((2*I)*Pi*x/T)*(-exp(-(4*I)*Pi*x/T))^(1/2)*arctan((-exp((4*I)*Pi*x/T))^(1/2))-2*exp(-(2*I)*Pi*x/T)*arctan((-exp(-(4*I)*Pi*x/T))^(1/2))*(-exp((4*I)*Pi*x/T))^(1/2))/(Pi*(-exp((4*I)*Pi*x/T))^(1/2)*(-exp(-(4*I)*Pi*x/T))^(1/2))

(4)

'J__odd'=value(J__odd); # n::odd

J__odd = x+((1/4)*I)*T*(exp((2*I)*Pi*x*(n+1)/T)*LerchPhi(exp((4*I)*Pi*x/T), 1, (1/2)*n+1/2)-ln(1-exp(-(4*I)*Pi*x/T))+ln(-exp((4*I)*Pi*x/T)+1)-LerchPhi(exp(-(4*I)*Pi*x/T), 1, (1/2)*n+1/2)*exp(-(2*I)*Pi*x*(n+1)/T))/Pi

(5)

 

 

Download int.mw

It is not possible to use plots:-animate because HeatMap is implemented to display a background picture.
Explore can be used, but I am not sure whether it works in Maple 2016. In Maple 2017+ it's ok.

restart;
p := k -> Matrix(3, 3, (i,j) -> (i+j+k) mod 3):
f:=proc(k) Threads:-Sleep(0.2): Statistics:-HeatMap(p(k)) end:
Explore(  f(k), k=0..8, animate,loop, autorun);

 

When a variable is implicitely declared local, a warning message appears.
The rules for this are simple, see ?local

In

foo:= proc() 
  local x;
  plot(sin(x),x=-Pi..Pi); 
end proc:

local is indeed needed, otherwise x:=10  at top level will produce an error.

Alternatively you may use
plot(sin('x'),'x'=-Pi..Pi);

 

All the floating point computations are done with 1 significant digit. So, sqrt(5) is approximated to 2.  and  (2. -1.)/2.  is 0.5.

See also:

restart;
Digits:=1;
                          Digits := 1
a:=[seq(i/10., i=1..9)];
       a := [0.1, 0.2, 0.3, 0.4, 0.5, 0.6, 0.7, 0.8, 0.9]
b:=[seq(i/10., i=9..1,-1)];
       b := [0.9, 0.8, 0.7, 0.6, 0.5, 0.4, 0.3, 0.2, 0.1]
add(a) = add(b);
                            6. = 4.
evalf[2](add(a)) = evalf[2](add(b));
                           4.5 = 4.5

 

Maple (at least the recent versions) can compute directly the double integral (without passing to polar coordinates):

int(sqrt(x^2+y^2), x = 0 .. B/2, y = 0 .. b/2) assuming b>0, B>0;

S:=simplify(eval(SA/t, [x=y*t, Log[t]=1/L])):
collect(S,y, expand);

Now you have a polynomial in the variables (L,y) with rational coefficients and you want to guess its coefficients or a generating function. Why do you think that a simple generating function does exist? A more realistic approach would be to come back to the original problem (which produced the expression) and try there.

 

.

 

n >= ceil(fsolve(1/(n+1)! = 0.00001));
                             8 <= n
n >= ceil(fsolve(1/(n+1)! * exp(0.1) = 0.00001));
                             8 <= n

 

Seems to be a bug. Workaround:

ex:=D[2](eta)(t,x)+D[2](phi)(t,x,0)+D[1](phi)(t,x,0);

inds:=[indets(ex)[]]:  cinds:=map(convert, inds, Diff):
subs(inds=~cinds, ex);

with(Interpolation):

# I have chosen a more relevant f

points := [seq(x, x = 0 .. 9, 1.)];
data   := [seq(sin(x), x = 0 .. 9, 1.)];
f := Interpolate(points, data);

points := [0, 1., 2., 3., 4., 5., 6., 7., 8., 9.]

 

data := [0, .8414709848, .9092974268, .1411200081, -.7568024953, -.9589242747, -.2794154982, .6569865987, .9893582466, .4121184852]

 

_m685336448

(1)

f(Pi/2.); # OK works :).
 

HFloat(0.996827543241054)

(2)

plot(f, 0..9);

 

plot('fdiff(f(x), x=t)', t=0..9);

 

int(f, 0..3.14, numeric); # int(sin, 0..Pi) = 2

HFloat(1.9961813393496355)

(3)

 


 

Download Interpolate.mw

a:=sqrt(6)/6 + sin(5/6) + exp(6/7) + 567:

f := u ->  `/`(subs(6=b, [op(u)])[]):
subsindets(subs(6=b,a), fraction, f);

For non-numeric coefficients you may use
signum(lcoeff(expr));

First 71 72 73 74 75 76 77 Last Page 73 of 121