vv

14027 Reputation

20 Badges

10 years, 43 days

MaplePrimes Activity


These are answers submitted by vv

It's a very difficult task to compute u3 even at a single point.
For example, u3(0) can be simplified to the triple integral of
f := -(2.533317577*10^7*I)*z*exp((-.64-12.56637062*I)*x^2-(7.853982892*10^7*I)*z^2-(25.13274124*I)*y^2)*y*x*BesselJ(0, 25.13274123*y*x)*BesselJ(0, 62831.85308*z*y)

But f is very oscillatory and to compute its triple integral over [0,1]^3 is almost impossible even using MonteCarlo method.
Probably some special methods will be needed.
Just look at this plot:
plot( eval(Re(f),[x=1/2,y=1/2]),z=0..1 );


 

P.S. Was this integral invented, or it appears in a concrete problem?

eq:=proc(L::listlist,x::name,y::name,z::name)
  primpart(LinearAlgebra:-Determinant(<Matrix([[x,y,z],L[]])|<1,1,1,1>>))=0
end:

map(eq,L,x,y,z);

 

TriOnUnitSphere:=proc(A::Vector[column](3),B::Vector[column](3),C::Vector[column](3)) #A,B,C = directions
uses LinearAlgebra,plots,plottools;
local a:=Normalize(A,2),b:=Normalize(B,2),c:=Normalize(C,2),u,v;
display(sphere(),  plot3d(1.01*Normalize(c+v*(a+u*(b-a)-c),2), u=0..1,v=0..1,color=red,style=surface,_rest),
pointplot3d([1.01*a,1.01*b,1.01*c],symbolsize=20,color=blue,symbol=solidsphere)  )
end:

TriOnUnitSphere(<1,2,3>, <-1,1,-2>, <-1,-1,3>);

TriOnUnitSphere(<1,0,0>, <-10,1,0>, <0,1,5>, grid=[200,200]);

 

with(LinearAlgebra):with(plots):with(plottools):
A1:=<0,0,1>: A2:=<0,3/5,4/5>: A3:=<4/5,3/5,0>: A4:=<5/13,0,12/13>:
seg:= (a,b)->spacecurve(Normalize(a+t*(b-a),2),t=0..1, thickness=3, color=red):
display(sphere([0,0,0],1),seg(A1,A2),seg(A2,A3),seg(A3,A4),seg(A1,A4));

 


 

# workaround

eq:=(2*y(x)*diff(diff(y(x),x),x)-diff(y(x),x)^2)^3+32*diff(diff(y(x),x),x)*(x*diff(diff(y(x),x),x)-diff(y(x),x))^3 = 0;

(2*y(x)*(diff(diff(y(x), x), x))-(diff(y(x), x))^2)^3+32*(diff(diff(y(x), x), x))*(x*(diff(diff(y(x), x), x))-(diff(y(x), x)))^3 = 0

(1)

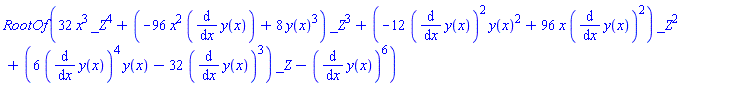
solve(eq,  diff(diff(y(x),x),x));

RootOf(32*x^3*_Z^4+(-96*x^2*(diff(y(x), x))+8*y(x)^3)*_Z^3+(-12*(diff(y(x), x))^2*y(x)^2+96*x*(diff(y(x), x))^2)*_Z^2+(6*(diff(y(x), x))^4*y(x)-32*(diff(y(x), x))^3)*_Z-(diff(y(x), x))^6)

(2)

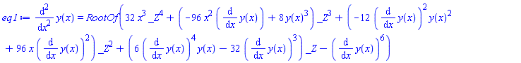
eq1:=diff(diff(y(x),x),x)=%

diff(diff(y(x), x), x) = RootOf(32*x^3*_Z^4+(-96*x^2*(diff(y(x), x))+8*y(x)^3)*_Z^3+(-12*(diff(y(x), x))^2*y(x)^2+96*x*(diff(y(x), x))^2)*_Z^2+(6*(diff(y(x), x))^4*y(x)-32*(diff(y(x), x))^3)*_Z-(diff(y(x), x))^6)

(3)

sol:=dsolve( eq1);

y(x) = (2/3)*_C1^2*x^2*3^(2/3)/(_C2*(_C1*(3^(1/2)*(_C1*(27*_C1*_C2-64)/_C2)^(1/2)+9*_C1)*_C2^2)^(1/3))+(1/6)*_C1*(_C1*(3^(1/2)*(_C1*(27*_C1*_C2-64)/_C2)^(1/2)+9*_C1)*_C2^2)^(1/3)*x^2*3^(1/3)/_C2^2+(1/4)*_C1^2*x^2/_C2+_C1*x+_C2

(4)

odetest(sol,eq);

0

(5)

DEtools:-odeadvisor(eq1);

[NONE]

(6)

You can use e.g.

binaryvariables = indets(L, specindex(integer,x));

where L is a list containing the constraints (and the function).
Or, you may generate their sequence using seq.
 

f:=(x,y) ->exp(-x^2-y^2):
L:=4: n:=64:
r1:=rand(0..1.0): r:=rand(-1..1.0):
a:=Vector(n,L*r): b:=Vector(n,L*r):
c:=Vector(n,0.3*r):
da:=Vector(n, i->0.5*''r1()''):
P:=proc(aa)
  global n,a,b,c,da,h,L;
  a:=a+eval~(da);
  map[inplace](frem,a,L);
  h:=add(c[i]*f(x+a[i], y+b[i]),i=1..n):
  plot3d(h, x=-L..L,y=-L..L, color="Aquamarine", scaling=constrained, view=-2..2, axes=none, style=surface, lightmodel=light1);
end:
plots:-display(seq(P(aa),aa=1..50),insequence=true);
## or ...
Explore(P(aa), aa=0..1, animate,loop,size=[800,800]);

 

There are many possible recurrences. The second one is yours.

 

restart;

u:=n->(1-x^2)^n/n!;

proc (n) options operator, arrow; (-x^2+1)^n/factorial(n) end proc

(1)

rec:=diff(f[n](x),x,x) + a*f[n-1](x) + b*x^2* f[n-2](x);

diff(diff(f[n](x), x), x)+a*f[n-1](x)+b*x^2*f[n-2](x)

(2)

diff(u(n),x,x) + a*u(n-1) + b*x^2* u(n-2): simplify(%/u(n-2));

(((b+4)*n-a-b-2)*x^2+a-2)/(n-1)

(3)

coeffs(expand(%),x):

solve({%},{a,b});

{a = 2, b = -4}

(4)

eval(rec,%)=0;

diff(diff(f[n](x), x), x)+2*f[n-1](x)-4*x^2*f[n-2](x) = 0

(5)

############################

rec:=diff(f[n](x),x,x) + a*f[n-1](x) + b* f[n-2](x);

diff(diff(f[n](x), x), x)+a*f[n-1](x)+b*f[n-2](x)

(6)

diff(u(n),x,x) + a*u(n-1) + b* u(n-2): simplify(%/u(n-2));

((4*x^2+b)*n+(-a-2)*x^2+a-b-2)/(n-1)

(7)

coeffs(expand(%),x):

solve({%},{a,b});

{a = 4*n-2, b = -4}

(8)

eval(rec,%)=0;

diff(diff(f[n](x), x), x)+(4*n-2)*f[n-1](x)-4*f[n-2](x) = 0

(9)

#######################

 


 

Download req-int.mw

f:=hypergeom([1/3, 2/3], [3/2], (27/4)*z^2*(1-z));

hypergeom([1/3, 2/3], [3/2], (27/4)*z^2*(1-z))

(1)

f1:=convert(f,elementary) assuming z>1;

-(1/((1/2)*(27*z^3-27*z^2+4)^(1/2)+(3/2)*z*(3*z-3)^(1/2))^(1/3)-1/((1/2)*(27*z^3-27*z^2+4)^(1/2)-(3/2)*z*(3*z-3)^(1/2))^(1/3))/(z*(3*z-3)^(1/2))

(2)

We want to show that f1 simplifies to 1/z.

Compute the minimal polynomial (in variable x) for f1

evala(Norm(x-convert(f1,RootOf))) assuming z>1;

(x^18*z^18-6*x^18*z^17+15*x^18*z^16-20*x^18*z^15+15*x^18*z^14-6*x^18*z^13+x^18*z^12-6*x^15*z^15+30*x^15*z^14-60*x^15*z^13+60*x^15*z^12-30*x^15*z^11+6*x^15*z^10+15*x^12*z^12-60*x^12*z^11+90*x^12*z^10-58*x^12*z^9+9*x^12*z^8+6*x^12*z^7-2*x^12*z^6-20*x^9*z^9+60*x^9*z^8-60*x^9*z^7+14*x^9*z^6+12*x^9*z^5-6*x^9*z^4+15*x^6*z^6-30*x^6*z^5+15*x^6*z^4+6*x^6*z^3-6*x^6*z^2+x^6-6*x^3*z^3+6*x^3*z^2-2*x^3+1)^2/((z^6-6*z^5+15*z^4-20*z^3+15*z^2-6*z+1)^2*z^24)

(3)

simplify(numer(%));

(1+(z^2-z)*x^2+(z-1)*x)^4*(1+z^2*(z-1)^2*x^4-z*(z-1)^2*x^3+(1-z)*x^2+(1-z)*x)^4*(x^2*z^2+x*z+1)^4*(x*z-1)^4

(4)

S:=sqrfree(%);

[1, [[x^2*z^2-x^2*z+x*z-x+1, 4], [x^4*z^4-2*x^4*z^3+x^4*z^2-x^3*z^3+2*x^3*z^2-x^3*z-x^2*z+x^2-x*z+x+1, 4], [x^2*z^2+x*z+1, 4], [x*z-1, 4]]]

(5)

simplify(limit(f1,z=1));

1

(6)

So,  f1(1) = 1
We search the roots of the minimal polynomial which satisfy this condition:

P:=NULL:
for k to nops(S[2]) do p:=S[2][k][1]: if eval(p,[x=1,z=1])=0 then P:=P,p fi od: P;

x*z-1

(7)

solve(%,x);

1/z

(8)

#  Conclusion:  f1 = 1/z.

 

restart;
f:=r^2 *cos(theta)+r*sin(theta):
r1:= 0.3+0.1*cos(theta):
r2:= 0.5+0.1*cos(theta):
plots:-densityplot(f, theta=0..2*Pi, r=r1 .. r2,  
coords=polar, colorstyle = HUE, style = patchnogrid);

If you need labels:

plots:-display(%, labels=["x","y"]);

 

Practically, you have two odes and for one of them dsolve exhibits a bug.

Workaround.

restart;

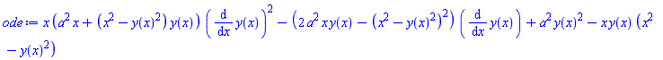
ode:=x*(a^2*x+(x^2-y(x)^2)*y(x))*diff(y(x),x)^2-(2*a^2*x*y(x)-(x^2-y(x)^2)^2)*diff(y(x),x)+a^2*y(x)^2-x*y(x)*(x^2-y(x)^2);

x*(a^2*x+(x^2-y(x)^2)*y(x))*(diff(y(x), x))^2-(2*a^2*x*y(x)-(x^2-y(x)^2)^2)*(diff(y(x), x))+a^2*y(x)^2-x*y(x)*(x^2-y(x)^2)

(1)

y1:=diff(y(x), x);

diff(y(x), x)

(2)

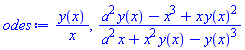
odes:=solve(ode,y1);

y(x)/x, (a^2*y(x)-x^3+x*y(x)^2)/(a^2*x+x^2*y(x)-y(x)^3)

(3)

dsolve(y1=odes[1],y(x));

y(x) = _C1*x

(4)

dsolve(y1=odes[2],y(x));

Error, (in dsolve) numeric exception: division by zero

 

simplify( eval(odes[2], y(x)=z(x)-x) );

(-z(x)^2*x-a^2*z(x)+2*x^2*z(x)+a^2*x)/(z(x)^3-3*z(x)^2*x+2*x^2*z(x)-a^2*x)

(5)

dsolve( diff(z(x),x)-1 = %);

z(x) = -exp(RootOf(a^2*ln(-exp(_Z)+2*x)-_Z*a^2+(exp(_Z))^2-2*x*exp(_Z)+2*x^2+2*_C1))+2*x

(6)

sol:=y(x)=rhs(%)-x;

y(x) = -exp(RootOf(a^2*ln(-exp(_Z)+2*x)-_Z*a^2+(exp(_Z))^2-2*x*exp(_Z)+2*x^2+2*_C1))+x

(7)

 

c:=Matrix([    # result = 22.613, [4, 2, 5, 3, 6, 1, 4]
[0., 3.60555127546399, 2.00000000000000, 8.06225774829855, 5.09901951359278, 1.41421356237310],
[3.60555127546399, 0., 2.23606797749979, 6.32455532033676, 2.23606797749979, 3.60555127546399],
[2.00000000000000, 2.23606797749979, 0., 8.06225774829855, 3.16227766016838, 1.41421356237310],
[8.06225774829855, 6.32455532033676, 8.06225774829855, 0., 8.06225774829855, 9.00000000000000],
[5.09901951359278, 2.23606797749979, 3.16227766016838, 8.06225774829855, 0., 4.47213595499958],
[1.41421356237310, 3.60555127546399, 1.41421356237310, 9.00000000000000, 4.47213595499958, 0.]]):

n := sqrt(numelems(c)):  N:={seq(1..n)}:
z:=add(add( c[i,j]*x[i,j],j=N minus {i}),i=N): 
conx:=seq( add(x[i,j], i=N minus {j})=1,j=N),  seq( add(x[i,j], j=N minus {i})=1,i=N):
conu:= seq(seq(u[i]-u[j]+n*x[i,j] <= n-1, i=N minus {1,j}), j=N minus {1}):

r := Optimization[LPSolve](z, {conx, conu}, #integervariables={seq(u[i],i=N minus {1})},
                           binaryvariables={ seq(seq(x[i,j],i=N minus {j}),j=N)} );

X:=eval(Matrix(n, symbol=x),{r[2][], seq(x[i,i]=0,i=1..n)}):
ord:=1: k:=1: to n do k:=max[index](X[k]); ord:=ord,k od:'order'=ord;

r := [22.6135858310497, [u[2] = -.999999998967403, u[3] = -2.99999997900383, u[4] = -8.88178419700125*10^(-16), u[5] = -2.00000000722817, u[6] = -3.99999998106902, x[1, 2] = 0, x[1, 3] = 0, x[1, 4] = 0, x[1, 5] = 0, x[1, 6] = 1, x[2, 1] = 0, x[2, 3] = 0, x[2, 4] = 1, x[2, 5] = 0, x[2, 6] = 0, x[3, 1] = 0, x[3, 2] = 0, x[3, 4] = 0, x[3, 5] = 1, x[3, 6] = 0, x[4, 1] = 1, x[4, 2] = 0, x[4, 3] = 0, x[4, 5] = 0, x[4, 6] = 0, x[5, 1] = 0, x[5, 2] = 1, x[5, 3] = 0, x[5, 4] = 0, x[5, 6] = 0, x[6, 1] = 0, x[6, 2] = 0, x[6, 3] = 1, x[6, 4] = 0, x[6, 5] = 0]]

order = (1, 6, 3, 5, 2, 4, 1)

If you need to read the same data several times you could do this:

1. Import once using ImportMatrix into A
2.    save A, "hugeA.m";
3.  Whenever you need A, use
     read "hugeA.m";
  
   It will be executed much faster (being in internal format .m).

The result is wrong, the implicitplot algorithm does not work well here.




Probably some "clever" options could be added, but always a better idea is to try a parametric representation of the curve:

restart;
f:=(1/2)*x*tan(log((1/5)*(2*(x^2+y^2)))) = y:
g:=simplify(eval(f, [x=r*cos(t), y=r*sin(t)])) assuming r>0:
u:=solve(g,t);

plot( [[r*cos(u),r*sin(u), r=0..5],[-r*cos(u),-r*sin(u), r=0..5]]);

The idea is similar to Kitonum's but has some advantages.
Note that some details will be omitted.

As it was observed,

f:=a^2+b^2+c^2+a*b+a*c+b*c-(a+b-c)*sqrt(2*a*b+a*c+b*c)-(a+c-b)*sqrt(a*b+2*a*c+b*c)-(b+c-a)*sqrt(a*b+a*c+2*b*c);
is positively homogeneous and symmetric, so we may suppose:
-1 <= a, b, c <= 1.

It is easy to see that c=0 implies a=b=0.
It will be enough to consoder c=1 and c=-1.

1.     c=1

f1:= eval(f, c=1);
plots:-implicitplot(f1, a=-1..1,b=-1..1, grid=[1000,1000]);

So, we have two branches. But they are symmetric because f(a,b,1)=f(b,a,1).
So we may consider only a>0, b<0.
Actually a will be in a1..a2  where a1, a2 could be computed [here at least of one sqrt must be 0].
So, the corresponding b will be h(a) = RootOf(f1, b=-1/5 .. -1/3).
[Note that h(a) can be expressed as a RootOf of a polynomial]

2.    c=-1
There are no solutions.

Conclusion:
The roots are:  a=k*u, b=k*h(u), c=k,  for all u in [a1,a2] and k>=0
and all permutations of these.

Edit.
 

a1:=-1+sqrt(1+RootOf(_Z^8-8*_Z^7-22*_Z^6+228*_Z^5+17*_Z^4-624*_Z^3-352*_Z^2+256*_Z+256, index = 2));

a2:=1;

h:= a -> 
RootOf(
a^16-8*a^15*b-4*a^14*b^2-48*a^13*b^3+154*a^12*b^4+40*a^11*b^5-304*a^10*b^6-56*a^9*b^7+451*a^8*b^8-56*a^7*b^9-304*a^6*b^10+40*a^5*b^11+154*a^4*b^12-48*a^3*b^13-4*a^2*b^14-8*a*b^15+b^16-8*a^15-8*a^14*b-192*a^13*b^2-56*a^12*b^3+96*a^11*b^4+456*a^10*b^5+296*a^9*b^6-560*a^8*b^7-560*a^7*b^8+296*a^6*b^9+456*a^5*b^10+96*a^4*b^11-56*a^3*b^12-192*a^2*b^13-8*a*b^14-8*b^15-4*a^14-192*a^13*b-480*a^12*b^2-1104*a^11*b^3+1564*a^10*b^4+3040*a^9*b^5-404*a^8*b^6-4048*a^7*b^7-404*a^6*b^8+3040*a^5*b^9+1564*a^4*b^10-1104*a^3*b^11-480*a^2*b^12-192*a*b^13-4*b^14-48*a^13-56*a^12*b-1104*a^11*b^2+720*a^10*b^3+4616*a^9*b^4+3464*a^8*b^5-4864*a^7*b^6-4864*a^6*b^7+3464*a^5*b^8+4616*a^4*b^9+720*a^3*b^10-1104*a^2*b^11-56*a*b^12-48*b^13+154*a^12+96*a^11*b+1564*a^10*b^2+4616*a^9*b^3+6008*a^8*b^4-1792*a^7*b^5-7416*a^6*b^6-1792*a^5*b^7+6008*a^4*b^8+4616*a^3*b^9+1564*a^2*b^10+96*a*b^11+154*b^12+40*a^11+456*a^10*b+3040*a^9*b^2+3464*a^8*b^3-1792*a^7*b^4-3896*a^6*b^5-3896*a^5*b^6-1792*a^4*b^7+3464*a^3*b^8+3040*a^2*b^9+456*a*b^10+40*b^11-304*a^10+296*a^9*b-404*a^8*b^2-4864*a^7*b^3-7416*a^6*b^4-3896*a^5*b^5-7416*a^4*b^6-4864*a^3*b^7-404*a^2*b^8+296*a*b^9-304*b^10-56*a^9-560*a^8*b-4048*a^7*b^2-4864*a^6*b^3-1792*a^5*b^4-1792*a^4*b^5-4864*a^3*b^6-4048*a^2*b^7-560*a*b^8-56*b^9+451*a^8-560*a^7*b-404*a^6*b^2+3464*a^5*b^3+6008*a^4*b^4+3464*a^3*b^5-404*a^2*b^6-560*a*b^7+451*b^8-56*a^7+296*a^6*b+3040*a^5*b^2+4616*a^4*b^3+4616*a^3*b^4+3040*a^2*b^5+296*a*b^6-56*b^7-304*a^6+456*a^5*b+1564*a^4*b^2+720*a^3*b^3+1564*a^2*b^4+456*a*b^5-304*b^6+40*a^5+96*a^4*b-1104*a^3*b^2-1104*a^2*b^3+96*a*b^4+40*b^5+154*a^4-56*a^3*b-480*a^2*b^2-56*a*b^3+154*b^4-48*a^3-192*a^2*b-192*a*b^2-48*b^3-4*a^2-8*a*b-4*b^2-8*a-8*b+1,
b, -3/10 .. -27/100)   :

To plot the solution use:

plot3d([ [k*u, k*h(u), k], [k*u, k, k*h(u)], [k*h(u), k*u,  k],
[k*h(u), k, k*u], [k, k*h(u), k*u], [k, k*u, k*h(u)] ],  u=a1..a2, k=0..10);

 

First 96 97 98 99 100 101 102 Last Page 98 of 121