JJames

5 Reputation

2 Badges

13 years, 256 days

MaplePrimes Activity


These are questions asked by JJames

I am new to maple. The problem I am facing is to get a non-trivial

solution of a system of odes. But maple gve me only trivial solution.

 

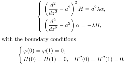
# The system of odequations I am trying to solve is (Please note that in the bcs phi is alpha.)

 

 

# The solution of the above sys of odes is of the form, (note x3=z, its just a typo)

Page 1 of 1