acer

32582 Reputation

29 Badges

20 years, 32 days
Ontario, Canada

Social Networks and Content at Maplesoft.com

MaplePrimes Activity


These are answers submitted by acer

What precisely do you mean? You haven't given any example to illustrate. The LinearAlgebra:-Eigenvectors command already returns both vectors and values, so you must mean something else. I will guess.

Are you trying to say that you like the syntax where the number of computed and returned objects depends on the number of entries in the sequence on the left-hand side of the assignment statement? That is, where the particular computation (with the same right-hand side of the statement) varies according to whether the assignmnent is,
  (a,b) := ....
or
  a := ....
The former computes and returns two items (eg, both the eigen-vectors and values), while the latter computes just one (eg. only the eigen-values).

Personally, I find that syntax to be poor and disjointed. I am glad that no other commands have taken up this un-Maplelike syntax (as any further cloying attempt at Matlab emulation). I suppose it's a matter of personal preference.

For those interested, that functionality is implemented using the _nresults item in the context of procedure parameter-processing.

MTM is now a regular package of Maple (alone), rather than a toolbox. (Documentation of connectivity with Matlab is not great. But the MTM computational commands are available.)

Is this the kind of thing that you're trying to accomplish? (I looked at only ev7...)

I used Maple 15.01, since your attechment seems to have been last saved in Maple 15.

``

restart

NULL

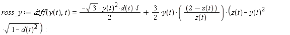
ross_d := diff(d(t), t) = -(3*d(t)-sqrt(3)*y(t)*l)*(1-d(t)^2):

ross_y := diff(y(t), t) = (-sqrt(3)*y(t)^2*d(t)*l)*(1/2)+(3/2)*y(t)*(2-z(t))*(z(t)-y(t)^2*sqrt(1-d(t)^2))/z(t):

ross_z := diff(z(t), t) = (3*(1-z(t)))*(z(t)-y(t)^2*sqrt(1-d(t)^2)):

NULL

rossler_sys := ross_d, ross_y, ross_z:

NULL

fp_sol := solve({rhs(ross_d) = 0, rhs(ross_y) = 0, rhs(ross_z) = 0}, {d(t), y(t), z(t)}):

fp1 := fp_sol[1]:

fp2 := fp_sol[2]:

fp3 := fp_sol[3]:

fp4 := fp_sol[4]:

fp5 := fp_sol[5]:

fp6 := fp_sol[6]:

fp7 := fp_sol[7];

{d(t) = (1/3)*3^(1/2)*RootOf(_Z^2*l^2+3*_Z^4-3)*l, y(t) = RootOf(_Z^2*l^2+3*_Z^4-3), z(t) = 1}

NULL

J := frontend(Student:-VectorCalculus:-Jacobian, [map(rhs, [rossler_sys]), ([d, y, z])(t)], [{`*`, `+`, list}, {}]):

ev1 := Student[LinearAlgebra][Eigenvalues](eval(J, fp1)):

ev2 := Student[LinearAlgebra][Eigenvalues](eval(J, fp2)):

ev3 := Student[LinearAlgebra][Eigenvalues](eval(J, fp3)):

ev4 := Student[LinearAlgebra][Eigenvalues](eval(J, fp4)):

ev5 := Student[LinearAlgebra][Eigenvalues](eval(J, fp5)):

ev6 := Student[LinearAlgebra][Eigenvalues](eval(J, fp6)):

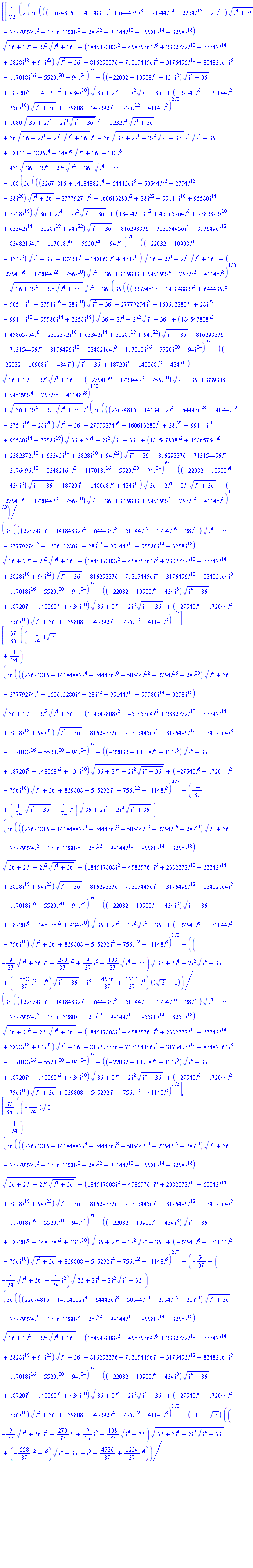
ev7 := Student[LinearAlgebra][Eigenvalues](eval(J, fp7)):

 

sort(evalf(eval(ev7, l = 2)))

Vector[column]([[-2.14073503395190], [-1.39444872453606-.795806290992892*I], [-1.39444872453606+.795806290992892*I]])

 

fpexplicit := [solve({rhs(ross_d) = 0, rhs(ross_y) = 0, rhs(ross_z) = 0}, {d(t), y(t), z(t)}, explicit)]:

J8 := eval(J, fpexplicit[8]):

sort(evalf[15](eval(EV8, l = 2))); sort(simplify(LinearAlgebra:-Eigenvalues(evalf(eval(J8, l = 2))), zero))

Vector[column]([[-2.14073503395407], [-1.39444872453496-.795806290993298*I], [-1.39444872453496+.795806290993298*I]])

Vector[column]([[-2.140735032], [-1.394448726-.7958062921*I], [-1.394448726+.7958062921*I]])

P8 := LinearAlgebra:-CharacteristicPolynomial(J8, lambda):

9459

sort(evalf[15](eval(TT8, l = 2)))

Vector[column]([[-2.14073503518263], [-1.39444872392046-.795806291569942*I], [-1.39444872392046+.795806291569942*I]])

TT8

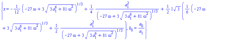
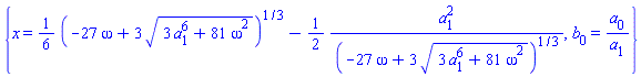
Vector[column]([[(1/72)*(2*(36*(((-28*l^20-2754*l^16-50544*l^12+644436*l^8+14184882*l^4+22674816)*(l^4+36)^(1/2)-27779274*l^6-160613280*l^2+28*l^22-99144*l^10+95580*l^14+3258*l^18)*(36+2*l^4-2*l^2*(l^4+36)^(1/2))^(1/2)+(94*l^22+3828*l^18+63342*l^14+2382372*l^10+45865764*l^6+184547808*l^2)*(l^4+36)^(1/2)-816293376-713154456*l^4-3176496*l^12-83482164*l^8-117018*l^16-5520*l^20-94*l^24)^(1/2)+((-434*l^8-10908*l^4-22032)*(l^4+36)^(1/2)+18720*l^6+148068*l^2+434*l^10)*(36+2*l^4-2*l^2*(l^4+36)^(1/2))^(1/2)+(-756*l^10-27540*l^6-172044*l^2)*(l^4+36)^(1/2)+839808+545292*l^4+756*l^12+41148*l^8)^(2/3)+1080*(36+2*l^4-2*l^2*(l^4+36)^(1/2))^(1/2)*l^2-2232*l^2*(l^4+36)^(1/2)+36*(36+2*l^4-2*l^2*(l^4+36)^(1/2))^(1/2)*l^6-36*(36+2*l^4-2*l^2*(l^4+36)^(1/2))^(1/2)*l^4*(l^4+36)^(1/2)+18144+4896*l^4-148*l^6*(l^4+36)^(1/2)+148*l^8-432*(36+2*l^4-2*l^2*(l^4+36)^(1/2))^(1/2)*(l^4+36)^(1/2)-108*(36*(((-28*l^20-2754*l^16-50544*l^12+644436*l^8+14184882*l^4+22674816)*(l^4+36)^(1/2)-27779274*l^6-160613280*l^2+28*l^22-99144*l^10+95580*l^14+3258*l^18)*(36+2*l^4-2*l^2*(l^4+36)^(1/2))^(1/2)+(94*l^22+3828*l^18+63342*l^14+2382372*l^10+45865764*l^6+184547808*l^2)*(l^4+36)^(1/2)-816293376-713154456*l^4-3176496*l^12-83482164*l^8-117018*l^16-5520*l^20-94*l^24)^(1/2)+((-434*l^8-10908*l^4-22032)*(l^4+36)^(1/2)+18720*l^6+148068*l^2+434*l^10)*(36+2*l^4-2*l^2*(l^4+36)^(1/2))^(1/2)+(-756*l^10-27540*l^6-172044*l^2)*(l^4+36)^(1/2)+839808+545292*l^4+756*l^12+41148*l^8)^(1/3)-(36+2*l^4-2*l^2*(l^4+36)^(1/2))^(1/2)*(l^4+36)^(1/2)*(36*(((-28*l^20-2754*l^16-50544*l^12+644436*l^8+14184882*l^4+22674816)*(l^4+36)^(1/2)-27779274*l^6-160613280*l^2+28*l^22-99144*l^10+95580*l^14+3258*l^18)*(36+2*l^4-2*l^2*(l^4+36)^(1/2))^(1/2)+(94*l^22+3828*l^18+63342*l^14+2382372*l^10+45865764*l^6+184547808*l^2)*(l^4+36)^(1/2)-816293376-713154456*l^4-3176496*l^12-83482164*l^8-117018*l^16-5520*l^20-94*l^24)^(1/2)+((-434*l^8-10908*l^4-22032)*(l^4+36)^(1/2)+18720*l^6+148068*l^2+434*l^10)*(36+2*l^4-2*l^2*(l^4+36)^(1/2))^(1/2)+(-756*l^10-27540*l^6-172044*l^2)*(l^4+36)^(1/2)+839808+545292*l^4+756*l^12+41148*l^8)^(1/3)+(36+2*l^4-2*l^2*(l^4+36)^(1/2))^(1/2)*l^2*(36*(((-28*l^20-2754*l^16-50544*l^12+644436*l^8+14184882*l^4+22674816)*(l^4+36)^(1/2)-27779274*l^6-160613280*l^2+28*l^22-99144*l^10+95580*l^14+3258*l^18)*(36+2*l^4-2*l^2*(l^4+36)^(1/2))^(1/2)+(94*l^22+3828*l^18+63342*l^14+2382372*l^10+45865764*l^6+184547808*l^2)*(l^4+36)^(1/2)-816293376-713154456*l^4-3176496*l^12-83482164*l^8-117018*l^16-5520*l^20-94*l^24)^(1/2)+((-434*l^8-10908*l^4-22032)*(l^4+36)^(1/2)+18720*l^6+148068*l^2+434*l^10)*(36+2*l^4-2*l^2*(l^4+36)^(1/2))^(1/2)+(-756*l^10-27540*l^6-172044*l^2)*(l^4+36)^(1/2)+839808+545292*l^4+756*l^12+41148*l^8)^(1/3))/(36*(((-28*l^20-2754*l^16-50544*l^12+644436*l^8+14184882*l^4+22674816)*(l^4+36)^(1/2)-27779274*l^6-160613280*l^2+28*l^22-99144*l^10+95580*l^14+3258*l^18)*(36+2*l^4-2*l^2*(l^4+36)^(1/2))^(1/2)+(94*l^22+3828*l^18+63342*l^14+2382372*l^10+45865764*l^6+184547808*l^2)*(l^4+36)^(1/2)-816293376-713154456*l^4-3176496*l^12-83482164*l^8-117018*l^16-5520*l^20-94*l^24)^(1/2)+((-434*l^8-10908*l^4-22032)*(l^4+36)^(1/2)+18720*l^6+148068*l^2+434*l^10)*(36+2*l^4-2*l^2*(l^4+36)^(1/2))^(1/2)+(-756*l^10-27540*l^6-172044*l^2)*(l^4+36)^(1/2)+839808+545292*l^4+756*l^12+41148*l^8)^(1/3)], [-(37/36)*((-((1/74)*I)*3^(1/2)+1/74)*(36*(((-28*l^20-2754*l^16-50544*l^12+644436*l^8+14184882*l^4+22674816)*(l^4+36)^(1/2)-27779274*l^6-160613280*l^2+28*l^22-99144*l^10+95580*l^14+3258*l^18)*(36+2*l^4-2*l^2*(l^4+36)^(1/2))^(1/2)+(94*l^22+3828*l^18+63342*l^14+2382372*l^10+45865764*l^6+184547808*l^2)*(l^4+36)^(1/2)-816293376-713154456*l^4-3176496*l^12-83482164*l^8-117018*l^16-5520*l^20-94*l^24)^(1/2)+((-434*l^8-10908*l^4-22032)*(l^4+36)^(1/2)+18720*l^6+148068*l^2+434*l^10)*(36+2*l^4-2*l^2*(l^4+36)^(1/2))^(1/2)+(-756*l^10-27540*l^6-172044*l^2)*(l^4+36)^(1/2)+839808+545292*l^4+756*l^12+41148*l^8)^(2/3)+(54/37+((1/74)*(l^4+36)^(1/2)-(1/74)*l^2)*(36+2*l^4-2*l^2*(l^4+36)^(1/2))^(1/2))*(36*(((-28*l^20-2754*l^16-50544*l^12+644436*l^8+14184882*l^4+22674816)*(l^4+36)^(1/2)-27779274*l^6-160613280*l^2+28*l^22-99144*l^10+95580*l^14+3258*l^18)*(36+2*l^4-2*l^2*(l^4+36)^(1/2))^(1/2)+(94*l^22+3828*l^18+63342*l^14+2382372*l^10+45865764*l^6+184547808*l^2)*(l^4+36)^(1/2)-816293376-713154456*l^4-3176496*l^12-83482164*l^8-117018*l^16-5520*l^20-94*l^24)^(1/2)+((-434*l^8-10908*l^4-22032)*(l^4+36)^(1/2)+18720*l^6+148068*l^2+434*l^10)*(36+2*l^4-2*l^2*(l^4+36)^(1/2))^(1/2)+(-756*l^10-27540*l^6-172044*l^2)*(l^4+36)^(1/2)+839808+545292*l^4+756*l^12+41148*l^8)^(1/3)+((-(9/37)*(l^4+36)^(1/2)*l^4+(270/37)*l^2+(9/37)*l^6-(108/37)*(l^4+36)^(1/2))*(36+2*l^4-2*l^2*(l^4+36)^(1/2))^(1/2)+(-(558/37)*l^2-l^6)*(l^4+36)^(1/2)+l^8+4536/37+(1224/37)*l^4)*(I*3^(1/2)+1))/(36*(((-28*l^20-2754*l^16-50544*l^12+644436*l^8+14184882*l^4+22674816)*(l^4+36)^(1/2)-27779274*l^6-160613280*l^2+28*l^22-99144*l^10+95580*l^14+3258*l^18)*(36+2*l^4-2*l^2*(l^4+36)^(1/2))^(1/2)+(94*l^22+3828*l^18+63342*l^14+2382372*l^10+45865764*l^6+184547808*l^2)*(l^4+36)^(1/2)-816293376-713154456*l^4-3176496*l^12-83482164*l^8-117018*l^16-5520*l^20-94*l^24)^(1/2)+((-434*l^8-10908*l^4-22032)*(l^4+36)^(1/2)+18720*l^6+148068*l^2+434*l^10)*(36+2*l^4-2*l^2*(l^4+36)^(1/2))^(1/2)+(-756*l^10-27540*l^6-172044*l^2)*(l^4+36)^(1/2)+839808+545292*l^4+756*l^12+41148*l^8)^(1/3)], [(37/36)*((-((1/74)*I)*3^(1/2)-1/74)*(36*(((-28*l^20-2754*l^16-50544*l^12+644436*l^8+14184882*l^4+22674816)*(l^4+36)^(1/2)-27779274*l^6-160613280*l^2+28*l^22-99144*l^10+95580*l^14+3258*l^18)*(36+2*l^4-2*l^2*(l^4+36)^(1/2))^(1/2)+(94*l^22+3828*l^18+63342*l^14+2382372*l^10+45865764*l^6+184547808*l^2)*(l^4+36)^(1/2)-816293376-713154456*l^4-3176496*l^12-83482164*l^8-117018*l^16-5520*l^20-94*l^24)^(1/2)+((-434*l^8-10908*l^4-22032)*(l^4+36)^(1/2)+18720*l^6+148068*l^2+434*l^10)*(36+2*l^4-2*l^2*(l^4+36)^(1/2))^(1/2)+(-756*l^10-27540*l^6-172044*l^2)*(l^4+36)^(1/2)+839808+545292*l^4+756*l^12+41148*l^8)^(2/3)+(-54/37+(-(1/74)*(l^4+36)^(1/2)+(1/74)*l^2)*(36+2*l^4-2*l^2*(l^4+36)^(1/2))^(1/2))*(36*(((-28*l^20-2754*l^16-50544*l^12+644436*l^8+14184882*l^4+22674816)*(l^4+36)^(1/2)-27779274*l^6-160613280*l^2+28*l^22-99144*l^10+95580*l^14+3258*l^18)*(36+2*l^4-2*l^2*(l^4+36)^(1/2))^(1/2)+(94*l^22+3828*l^18+63342*l^14+2382372*l^10+45865764*l^6+184547808*l^2)*(l^4+36)^(1/2)-816293376-713154456*l^4-3176496*l^12-83482164*l^8-117018*l^16-5520*l^20-94*l^24)^(1/2)+((-434*l^8-10908*l^4-22032)*(l^4+36)^(1/2)+18720*l^6+148068*l^2+434*l^10)*(36+2*l^4-2*l^2*(l^4+36)^(1/2))^(1/2)+(-756*l^10-27540*l^6-172044*l^2)*(l^4+36)^(1/2)+839808+545292*l^4+756*l^12+41148*l^8)^(1/3)+(-1+I*3^(1/2))*((-(9/37)*(l^4+36)^(1/2)*l^4+(270/37)*l^2+(9/37)*l^6-(108/37)*(l^4+36)^(1/2))*(36+2*l^4-2*l^2*(l^4+36)^(1/2))^(1/2)+(-(558/37)*l^2-l^6)*(l^4+36)^(1/2)+l^8+4536/37+(1224/37)*l^4))/(36*(((-28*l^20-2754*l^16-50544*l^12+644436*l^8+14184882*l^4+22674816)*(l^4+36)^(1/2)-27779274*l^6-160613280*l^2+28*l^22-99144*l^10+95580*l^14+3258*l^18)*(36+2*l^4-2*l^2*(l^4+36)^(1/2))^(1/2)+(94*l^22+3828*l^18+63342*l^14+2382372*l^10+45865764*l^6+184547808*l^2)*(l^4+36)^(1/2)-816293376-713154456*l^4-3176496*l^12-83482164*l^8-117018*l^16-5520*l^20-94*l^24)^(1/2)+((-434*l^8-10908*l^4-22032)*(l^4+36)^(1/2)+18720*l^6+148068*l^2+434*l^10)*(36+2*l^4-2*l^2*(l^4+36)^(1/2))^(1/2)+(-756*l^10-27540*l^6-172044*l^2)*(l^4+36)^(1/2)+839808+545292*l^4+756*l^12+41148*l^8)^(1/3)]])

 

``

Download MaplePrimesacer_ac.mw

restart;

RR := Record( 'center' = [ 0, 1 ], 'radius' = 3,
              'mytable' = table([foo=bar]) ):

LibraryTools:-Save(RR, cat(kernelopts(homedir),"/mapleprimes/MyLib.mla"));

And now, you only need that .mla to be within libname in order to access the Record assigned to name RR,

restart;

libname:=cat(kernelopts(homedir),"/mapleprimes/MyLib.mla"),libname:

eval(RR);

    Record(center = [0, 1], radius = 3, mytable = TABLE([foo = bar]))

RR[center];

                         [0, 1]

entries(RR[mytable]);

                          [bar]

And if you wish you could set libname in your own initialization file, or with an option to your launcher. Or you could even utilize a .mla location such as (for example!),
   cat(kernelopts(homedir),"/maple/toolbox/XXX/lib")
so that the kernel prepends that to libname automatically.

So, in your equation is y=earnings and x=sales? If so then how about using those names in the equation?

Below I take more steps than is completely necessary, to try and make the process a bit more understandable.

One of the key commands I use here is eval, as a means of subsitution. There are several other equally good ways to go about these questions. For example you could set up operators (procedures) in instead of using eval.

restart;

 

This is the given equation for earnings as a function of sales.

 

eqnE := earnings = 2000 + 0.1*sales;

earnings = 2000+.1*sales

 

This is the sales value for question a).

 

s1 := 1488.0;

1488.0

 

Evaluate that equation using the given sales value for question a).

This gives a trivial equation showing the corresponding value for earnings.

 

ans1 := eval(eqnE, sales=s1);

earnings = 2148.80

 

We can pick off the value in several ways. Another way would be rhs(ans1) 

 

e1 := eval(earnings, ans1);

2148.80

 

Form a list of those two values, for later use in plotting.

 

pt1 := [s1, e1];

[1488.0, 2148.80]

 

This is the earnings value for question b).

 

e2 := 2225.0;

2225.0

 

Isolate (or solve) the original equation, to obtain an equation for sales in terms
of earnings.

 

eqnS := sales = solve(eqnE,sales);

sales = -20000.+10.*earnings

 

Evaluate that new equation using the given earnings value for question b).

This gives a trivial equation showing the corresponding value for sales.

 

ans2 := eval(eqnS, earnings=e2);

sales = 2250.0

 

We can pick off the value in several ways. Another way would be rhs(ans2) 

 

s2 := eval(sales, ans2);

2250.0

 

Form a list of those two values, for later use in plotting.

 

pt2 := [s2, e2];

[2250.0, 2225.0]

 

And now plot the original equation (earnings as a function of sales), as well
as a point-plot of the two results.

You can adjust to taste, eg, using options such as symbol, symbolsize, etc.

 

plots:-display(
  plot(eval(earnings, eqnE), sales=0..2500),
  plots:-pointplot([pt1,pt2], symbolsize=20),
  labels=[sales,earnings], axes=box, gridlines
)

 

Download eqnplot.mw

The parameters in an Explore call must be names.

It looks like you have assigned numeric values to names a and b.

explore_jamet.mw

The procedure getFnumer is set up to handle expressions of type `+`, but it is being sent an equation of type `=`.

Perhaps you wanted it to handle (lhs-rhs)(df) in that case?

But it would be much better if you described clearly what getFnumer is supposed to do.

restart;
sys:={3*x+5*y=21, -2*x+y=-1}:

sol:=fsolve(sys);
          
           sol := {x = 2., y = 3.}

eval([x,y],sol);

                  [2., 3.]

eval(<x,y>,sol);

                    [2.]
                    [  ]
                    [3.]

eval(x^2+y^3,sol);

                     31.

eval(x,sol);

                      2.

and so on.

Or, if you want to utilize LinearSolve from your system,

A,B := LinearAlgebra:-GenerateMatrix(sys,[x,y]);

                 [-2    1]  [-1]
         A, B := [       ], [  ]
                 [ 3    5]  [21]

LinearAlgebra:-LinearSolve(A,B);
                    [2]
                    [ ]
                    [3]

All three examples work in Maple 2016.0 (and 2016.2, and 2019.2, which is all I checked).

In particular, the first example works in Maple 2016, ie. using the ListBox works without need for manual handling/parsing.

The difference is that in the later releases the code behind the ListBox contains this fragment:
    ':-handlers'=[r=proc () option builtin = parse; end proc]
Additionally, if the first example only is executed and saved in Maple 2019.2, then upon being opened in Maple 2015.2 that exploration works without re-executing the Explore call (although you'd first want to assign val as done originally).

This package is implemented as a Maple module.

It would be a good idea to read the parts of the Programming Manual that deal with modules, packages, and tables.

As an illustration, (with that package installed),

restart;

op(0,eval(AISCShapes));

`module`

op(eval(AISCShapes));

Property, module () local parNames, memberNames, AISCMetadata, AISCData, AISCTable; export Property; option package; end module, parNames, memberNames, AISCMetadata, AISCData, AISCTable

exports(AISCShapes);
op(1,eval(AISCShapes));

Property

AISCShapes:-Property

op(3,eval(AISCShapes));

AISCShapes:-parNames, AISCShapes:-memberNames, AISCShapes:-AISCMetadata, AISCShapes:-AISCData, AISCShapes:-AISCTable

kernelopts(opaquemodules=false):

op(0,eval(AISCShapes:-AISCTable));

table

length(eval(AISCShapes:-AISCTable));

4732992

nops([indices(AISCShapes:-AISCTable, nolist)]);

1995

Allinds:=[indices(AISCShapes:-AISCTable,nolist)]:

Allinds[1..5];

["2L2-1/2X2-1/2X3/8", "L4X4X1/4", "2L8X4X5/8X3/4SLBB", "2L4X4X3/4X3/4", "WT5X30"]

# This entry of table AISCShapes:-AISCTable is itself a table.
AISCShapes:-AISCTable[Allinds[1]];
op(0,eval(%));
eval(%%);

AISCShapes:-AISCTable["2L2-1/2X2-1/2X3/8"]

table

table( [( "b" ) = 2.5*Unit(`in`), ( "Sw2" ) = , ( "H" ) = .839, ( "zA" ) = , ( "h" ) = , ( "D/t" ) = , ( "ry" ) = 1.07*Unit(`in`), ( "Ht" ) = , ( "B" ) = , ( "twdet/2" ) = , ( "SwB" ) = , ( "PA" ) = , ( "zB" ) = , ( "Sw1" ) = , ( "Iz" ) = , ( "h/tdes" ) = , ( "tfdet" ) = , ( "ddet" ) = , ( "PB" ) = , ( "SwA" ) = , ( "h/tw" ) = , ( "Zy" ) = 2.62*Unit(`in`^3), ( "Qf" ) = , ( "zC" ) = , ( "tan(&alpha;)" ) = , ( "wC" ) = , ( "rts" ) = , ( "bf" ) = , ( "tnom" ) = , ( "Sy" ) = 1.58*Unit(`in`^3), ( "b/tdes" ) = , ( "wA" ) = , ( "Sw3" ) = , ( "ho" ) = , ( "EDI_Std_Nomenclature" ) = "2L2-1/2X2-1/2X3/8", ( "wB" ) = , ( "J" ) = , ( "tdes" ) = , ( "AISC_Manual_Label" ) = "2L2-1/2X2-1/2X3/8", ( "OD" ) = , ( "ID" ) = , ( "kdes" ) = , ( "SzC" ) = , ( "rx" ) = .749*Unit(`in`), ( "Sz" ) = , ( "Qw" ) = , ( "y" ) = .758*Unit(`in`), ( "b/t" ) = 6.67, ( "Sx" ) = 1.12*Unit(`in`^3), ( "t" ) = .375*Unit(`in`), ( "kdet" ) = , ( "W" ) = 11.8*Unit(lb/ft), ( "bfdet" ) = , ( "T_F" ) = "F", ( "SzB" ) = , ( "ro" ) = 1.42*Unit(`in`), ( "rz" ) = , ( "Iy" ) = 3.96*Unit(`in`^4), ( "tf" ) = , ( "bf/2tf" ) = , ( "SzA" ) = , ( "Type" ) = "2L", ( "twdet" ) = , ( "k1" ) = , ( "C" ) = , ( "d" ) = 2.5*Unit(`in`), ( "yp" ) = .346*Unit(`in`), ( "Ix" ) = 1.94*Unit(`in`^4), ( "Wno" ) = , ( "Qs" ) = 1.0, ( "SwC" ) = , ( "eo" ) = , ( "tw" ) = , ( "A" ) = 3.46*Unit(`in`^2), ( "Zx" ) = 2.02*Unit(`in`^3), ( "xp" ) = , ( "Iw" ) = , ( "x" ) = , ( "Cw" ) =  ] )

 

 

 

Download AISC_bits.mw

1) Ensure that the supposed names in your Matrix J (or in whatever it was constructed from) are correct. As you gave it, there are these:

  {I[f], I[r], Lambda[r], N[H], N[f], S[H], S[r], b[Hf], b[fH],
   b[fr], b[rf], beta[fH], beta[fr], beta[H*f], beta[r*f],
   lambda[H], mu[B], mu[H], mu[f], mu[rd], tau[H]}

Do you really intend b[H*f] to be distinct from b[Hf]? Do you really intend b[Hf] to be distinct from b[fH]? And so on.

2) Don't use index-subscripted letter I as if it were a name or indeterminate. Use other terms instead, for example II[f] instead of I[f]. Otherwise you may start computing nonsense.

3) Either rename the lambda[H] inside Matrix J, or use an unrelated name other than lambda when calling CharacteristicPolynomial. Otherwise you may start computing nonsense.

3) Be clear about Maple terminology. The signum of an expression is not the same as its sign. I suspect that you are trying to utilize its signum.

4) Use 1-D plaintext Maple input if using 2D Input mode is causing you to make mistakes with the names.

5) Apply the command simplify(p,size) to your polynomial p constructed from your example in Maple 12.

6) Explain properly what form you are hoping for, from a solution your your signum question. There may well be too many variables to obtain or express a simple and understandable set of conditions about the separate signum or each of the coefficients.

7) Consider explaining (well) what is the motivating task. Why are you trying to compute this? Is it part of a task to try and deduce the number of roots of p, or a task to deduce something related to stability analysis? Are you trying to figure out subdomains or the parameters in which there are certain numbers (or any) real roots? Or anything similar, but in a manner which interrelates the parameters?

I do not understand your phrase, "I applied this command but answes were tolltally change ." since it is not meaningful to me as an English sentence.

Also, the names b[2] and a[2] don't appear in your system, so I don't understand why you refer to them (as b2, a2).

These conditions satisfy the equations, and for which b[-1],b[0],b[1] can be aribtrary:
  {a[-1] = 0, a[0] = 0, a[1] = 0}

I notice that you didn't respond at all to my answer to your previous (and very similar question). Is it just because you don't understand how to use the solve and eliminate commands?

If you have additional examples then post them as comments on one of these earlier Questions -- I will otherwise delete entirely new Questions by your on this narrow topic, as duplicates.

restart;

kernelopts(version);

`Maple 18.02, X86 64 LINUX, Oct 20 2014, Build ID 991181`

sys:={a[-1]^2*b[-1]^7 = 0, 7*a[-1]^2*b[-1]^6*b[0]+2*a[-1]*a[0]*b[-1]^7 = 0, -a[0]*b[1]^8+a[1]^2*b[1]^7+a[1]*b[0]*b[1]^7 = 0, -256*a[-1]*b[1]^8+2*a[0]*a[1]*b[1]^7+247*a[0]*b[0]*b[1]^7+7*a[1]^2*b[0]*b[1]^6+256*a[1]*b[-1]*b[1]^7-247*a[1]*b[0]^2*b[1]^6 = 0, 7*a[-1]^2*b[-1]^6*b[1]+21*a[-1]^2*b[-1]^5*b[0]^2+14*a[-1]*a[0]*b[-1]^6*b[0]+2*a[-1]*a[1]*b[-1]^7+a[-1]*b[-1]^7*b[0]+a[0]^2*b[-1]^7-a[0]*b[-1]^8 = 0, 2*a[-1]*a[1]*b[1]^7+4257*a[-1]*b[0]*b[1]^7+a[0]^2*b[1]^7+14*a[0]*a[1]*b[0]*b[1]^6+6552*a[0]*b[-1]*b[1]^7-4293*a[0]*b[0]^2*b[1]^6+7*a[1]^2*b[-1]*b[1]^6+21*a[1]^2*b[0]^2*b[1]^5-10809*a[1]*b[-1]*b[0]*b[1]^6+4293*a[1]*b[0]^3*b[1]^5 = 0, 42*a[-1]^2*b[-1]^5*b[0]*b[1]+35*a[-1]^2*b[-1]^4*b[0]^3+14*a[-1]*a[0]*b[-1]^6*b[1]+42*a[-1]*a[0]*b[-1]^5*b[0]^2+14*a[-1]*a[1]*b[-1]^6*b[0]+256*a[-1]*b[-1]^7*b[1]-247*a[-1]*b[-1]^6*b[0]^2+7*a[0]^2*b[-1]^6*b[0]+2*a[0]*a[1]*b[-1]^7+247*a[0]*b[-1]^7*b[0]-256*a[1]*b[-1]^8 = 0, 2*a[-1]*a[0]*b[1]^7+14*a[-1]*a[1]*b[0]*b[1]^6+63232*a[-1]*b[-1]*b[1]^7-15703*a[-1]*b[0]^2*b[1]^6+7*a[0]^2*b[0]*b[1]^6+14*a[0]*a[1]*b[-1]*b[1]^6+42*a[0]*a[1]*b[0]^2*b[1]^5-69791*a[0]*b[-1]*b[0]*b[1]^6+15619*a[0]*b[0]^3*b[1]^5+42*a[1]^2*b[-1]*b[0]*b[1]^5+35*a[1]^2*b[0]^3*b[1]^4-63232*a[1]*b[-1]^2*b[1]^6+85494*a[1]*b[-1]*b[0]^2*b[1]^5-15619*a[1]*b[0]^4*b[1]^4 = 0, 21*a[-1]^2*b[-1]^5*b[1]^2+105*a[-1]^2*b[-1]^4*b[0]^2*b[1]+35*a[-1]^2*b[-1]^3*b[0]^4+84*a[-1]*a[0]*b[-1]^5*b[0]*b[1]+70*a[-1]*a[0]*b[-1]^4*b[0]^3+14*a[-1]*a[1]*b[-1]^6*b[1]+42*a[-1]*a[1]*b[-1]^5*b[0]^2-10809*a[-1]*b[-1]^6*b[0]*b[1]+4293*a[-1]*b[-1]^5*b[0]^3+7*a[0]^2*b[-1]^6*b[1]+21*a[0]^2*b[-1]^5*b[0]^2+14*a[0]*a[1]*b[-1]^6*b[0]+6552*a[0]*b[-1]^7*b[1]-4293*a[0]*b[-1]^6*b[0]^2+a[1]^2*b[-1]^7+4257*a[1]*b[-1]^7*b[0] = 0, a[-1]^2*b[1]^7+14*a[-1]*a[0]*b[0]*b[1]^6+14*a[-1]*a[1]*b[-1]*b[1]^6+42*a[-1]*a[1]*b[0]^2*b[1]^5-150809*a[-1]*b[-1]*b[0]*b[1]^6+15493*a[-1]*b[0]^3*b[1]^5+7*a[0]^2*b[-1]*b[1]^6+21*a[0]^2*b[0]^2*b[1]^5+84*a[0]*a[1]*b[-1]*b[0]*b[1]^5+70*a[0]*a[1]*b[0]^3*b[1]^4-331612*a[0]*b[-1]^2*b[1]^6+187554*a[0]*b[-1]*b[0]^2*b[1]^5-15619*a[0]*b[0]^4*b[1]^4+21*a[1]^2*b[-1]^2*b[1]^5+105*a[1]^2*b[-1]*b[0]^2*b[1]^4+35*a[1]^2*b[0]^4*b[1]^3+482421*a[1]*b[-1]^2*b[0]*b[1]^5-203047*a[1]*b[-1]*b[0]^3*b[1]^4+15619*a[1]*b[0]^5*b[1]^3 = 0, 105*a[-1]^2*b[-1]^4*b[0]*b[1]^2+140*a[-1]^2*b[-1]^3*b[0]^3*b[1]+21*a[-1]^2*b[-1]^2*b[0]^5+42*a[-1]*a[0]*b[-1]^5*b[1]^2+210*a[-1]*a[0]*b[-1]^4*b[0]^2*b[1]+70*a[-1]*a[0]*b[-1]^3*b[0]^4+84*a[-1]*a[1]*b[-1]^5*b[0]*b[1]+70*a[-1]*a[1]*b[-1]^4*b[0]^3-63232*a[-1]*b[-1]^6*b[1]^2+85494*a[-1]*b[-1]^5*b[0]^2*b[1]-15619*a[-1]*b[-1]^4*b[0]^4+42*a[0]^2*b[-1]^5*b[0]*b[1]+35*a[0]^2*b[-1]^4*b[0]^3+14*a[0]*a[1]*b[-1]^6*b[1]+42*a[0]*a[1]*b[-1]^5*b[0]^2-69791*a[0]*b[-1]^6*b[0]*b[1]+15619*a[0]*b[-1]^5*b[0]^3+7*a[1]^2*b[-1]^6*b[0]+63232*a[1]*b[-1]^7*b[1]-15703*a[1]*b[-1]^6*b[0]^2 = 0, 7*a[-1]^2*b[0]*b[1]^6+14*a[-1]*a[0]*b[-1]*b[1]^6+42*a[-1]*a[0]*b[0]^2*b[1]^5+84*a[-1]*a[1]*b[-1]*b[0]*b[1]^5+70*a[-1]*a[1]*b[0]^3*b[1]^4-1099008*a[-1]*b[-1]^2*b[1]^6+184950*a[-1]*b[-1]*b[0]^2*b[1]^5-4419*a[-1]*b[0]^4*b[1]^4+42*a[0]^2*b[-1]*b[0]*b[1]^5+35*a[0]^2*b[0]^3*b[1]^4+42*a[0]*a[1]*b[-1]^2*b[1]^5+210*a[0]*a[1]*b[-1]*b[0]^2*b[1]^4+70*a[0]*a[1]*b[0]^4*b[1]^3+824931*a[0]*b[-1]^2*b[0]*b[1]^5-157617*a[0]*b[-1]*b[0]^3*b[1]^4+4293*a[0]*b[0]^5*b[1]^3+105*a[1]^2*b[-1]^2*b[0]*b[1]^4+140*a[1]^2*b[-1]*b[0]^3*b[1]^3+21*a[1]^2*b[0]^5*b[1]^2+1099008*a[1]*b[-1]^3*b[1]^5-1009881*a[1]*b[-1]^2*b[0]^2*b[1]^4+162036*a[1]*b[-1]*b[0]^4*b[1]^3-4293*a[1]*b[0]^6*b[1]^2 = 0, 35*a[-1]^2*b[-1]^4*b[1]^3+210*a[-1]^2*b[-1]^3*b[0]^2*b[1]^2+105*a[-1]^2*b[-1]^2*b[0]^4*b[1]+7*a[-1]^2*b[-1]*b[0]^6+210*a[-1]*a[0]*b[-1]^4*b[0]*b[1]^2+280*a[-1]*a[0]*b[-1]^3*b[0]^3*b[1]+42*a[-1]*a[0]*b[-1]^2*b[0]^5+42*a[-1]*a[1]*b[-1]^5*b[1]^2+210*a[-1]*a[1]*b[-1]^4*b[0]^2*b[1]+70*a[-1]*a[1]*b[-1]^3*b[0]^4+482421*a[-1]*b[-1]^5*b[0]*b[1]^2-203047*a[-1]*b[-1]^4*b[0]^3*b[1]+15619*a[-1]*b[-1]^3*b[0]^5+21*a[0]^2*b[-1]^5*b[1]^2+105*a[0]^2*b[-1]^4*b[0]^2*b[1]+35*a[0]^2*b[-1]^3*b[0]^4+84*a[0]*a[1]*b[-1]^5*b[0]*b[1]+70*a[0]*a[1]*b[-1]^4*b[0]^3-331612*a[0]*b[-1]^6*b[1]^2+187554*a[0]*b[-1]^5*b[0]^2*b[1]-15619*a[0]*b[-1]^4*b[0]^4+7*a[1]^2*b[-1]^6*b[1]+21*a[1]^2*b[-1]^5*b[0]^2-150809*a[1]*b[-1]^6*b[0]*b[1]+15493*a[1]*b[-1]^5*b[0]^3 = 0, 7*a[-1]^2*b[-1]*b[1]^6+21*a[-1]^2*b[0]^2*b[1]^5+84*a[-1]*a[0]*b[-1]*b[0]*b[1]^5+70*a[-1]*a[0]*b[0]^3*b[1]^4+42*a[-1]*a[1]*b[-1]^2*b[1]^5+210*a[-1]*a[1]*b[-1]*b[0]^2*b[1]^4+70*a[-1]*a[1]*b[0]^4*b[1]^3+36885*a[-1]*b[-1]^2*b[0]*b[1]^5-8167*a[-1]*b[-1]*b[0]^3*b[1]^4+163*a[-1]*b[0]^5*b[1]^3+21*a[0]^2*b[-1]^2*b[1]^5+105*a[0]^2*b[-1]*b[0]^2*b[1]^4+35*a[0]^2*b[0]^4*b[1]^3+210*a[0]*a[1]*b[-1]^2*b[0]*b[1]^4+280*a[0]*a[1]*b[-1]*b[0]^3*b[1]^3+42*a[0]*a[1]*b[0]^5*b[1]^2+2485288*a[0]*b[-1]^3*b[1]^5-711051*a[0]*b[-1]^2*b[0]^2*b[1]^4+39956*a[0]*b[-1]*b[0]^4*b[1]^3-247*a[0]*b[0]^6*b[1]^2+35*a[1]^2*b[-1]^3*b[1]^4+210*a[1]^2*b[-1]^2*b[0]^2*b[1]^3+105*a[1]^2*b[-1]*b[0]^4*b[1]^2+7*a[1]^2*b[0]^6*b[1]-2522173*a[1]*b[-1]^3*b[0]*b[1]^4+719218*a[1]*b[-1]^2*b[0]^3*b[1]^3-40119*a[1]*b[-1]*b[0]^5*b[1]^2+247*a[1]*b[0]^7*b[1] = 0, 140*a[-1]^2*b[-1]^3*b[0]*b[1]^3+210*a[-1]^2*b[-1]^2*b[0]^3*b[1]^2+42*a[-1]^2*b[-1]*b[0]^5*b[1]+a[-1]^2*b[0]^7+70*a[-1]*a[0]*b[-1]^4*b[1]^3+420*a[-1]*a[0]*b[-1]^3*b[0]^2*b[1]^2+210*a[-1]*a[0]*b[-1]^2*b[0]^4*b[1]+14*a[-1]*a[0]*b[-1]*b[0]^6+210*a[-1]*a[1]*b[-1]^4*b[0]*b[1]^2+280*a[-1]*a[1]*b[-1]^3*b[0]^3*b[1]+42*a[-1]*a[1]*b[-1]^2*b[0]^5+1099008*a[-1]*b[-1]^5*b[1]^3-1009881*a[-1]*b[-1]^4*b[0]^2*b[1]^2+162036*a[-1]*b[-1]^3*b[0]^4*b[1]-4293*a[-1]*b[-1]^2*b[0]^6+105*a[0]^2*b[-1]^4*b[0]*b[1]^2+140*a[0]^2*b[-1]^3*b[0]^3*b[1]+21*a[0]^2*b[-1]^2*b[0]^5+42*a[0]*a[1]*b[-1]^5*b[1]^2+210*a[0]*a[1]*b[-1]^4*b[0]^2*b[1]+70*a[0]*a[1]*b[-1]^3*b[0]^4+824931*a[0]*b[-1]^5*b[0]*b[1]^2-157617*a[0]*b[-1]^4*b[0]^3*b[1]+4293*a[0]*b[-1]^3*b[0]^5+42*a[1]^2*b[-1]^5*b[0]*b[1]+35*a[1]^2*b[-1]^4*b[0]^3-1099008*a[1]*b[-1]^6*b[1]^2+184950*a[1]*b[-1]^5*b[0]^2*b[1]-4419*a[1]*b[-1]^4*b[0]^4 = 0, 42*a[-1]^2*b[-1]*b[0]*b[1]^5+35*a[-1]^2*b[0]^3*b[1]^4+42*a[-1]*a[0]*b[-1]^2*b[1]^5+210*a[-1]*a[0]*b[-1]*b[0]^2*b[1]^4+70*a[-1]*a[0]*b[0]^4*b[1]^3+210*a[-1]*a[1]*b[-1]^2*b[0]*b[1]^4+280*a[-1]*a[1]*b[-1]*b[0]^3*b[1]^3+42*a[-1]*a[1]*b[0]^5*b[1]^2+3998464*a[-1]*b[-1]^3*b[1]^5-764601*a[-1]*b[-1]^2*b[0]^2*b[1]^4+23156*a[-1]*b[-1]*b[0]^4*b[1]^3-37*a[-1]*b[0]^6*b[1]^2+105*a[0]^2*b[-1]^2*b[0]*b[1]^4+140*a[0]^2*b[-1]*b[0]^3*b[1]^3+21*a[0]^2*b[0]^5*b[1]^2+70*a[0]*a[1]*b[-1]^3*b[1]^4+420*a[0]*a[1]*b[-1]^2*b[0]^2*b[1]^3+210*a[0]*a[1]*b[-1]*b[0]^4*b[1]^2+14*a[0]*a[1]*b[0]^6*b[1]-1045243*a[0]*b[-1]^3*b[0]*b[1]^4+142558*a[0]*b[-1]^2*b[0]^3*b[1]^3-2193*a[0]*b[-1]*b[0]^5*b[1]^2+a[0]*b[0]^7*b[1]+140*a[1]^2*b[-1]^3*b[0]*b[1]^3+210*a[1]^2*b[-1]^2*b[0]^3*b[1]^2+42*a[1]^2*b[-1]*b[0]^5*b[1]+a[1]^2*b[0]^7-3998464*a[1]*b[-1]^4*b[1]^4+1809844*a[1]*b[-1]^3*b[0]^2*b[1]^3-165714*a[1]*b[-1]^2*b[0]^4*b[1]^2+2230*a[1]*b[-1]*b[0]^6*b[1]-a[1]*b[0]^8 = 0, 35*a[-1]^2*b[-1]^3*b[1]^4+210*a[-1]^2*b[-1]^2*b[0]^2*b[1]^3+105*a[-1]^2*b[-1]*b[0]^4*b[1]^2+7*a[-1]^2*b[0]^6*b[1]+280*a[-1]*a[0]*b[-1]^3*b[0]*b[1]^3+420*a[-1]*a[0]*b[-1]^2*b[0]^3*b[1]^2+84*a[-1]*a[0]*b[-1]*b[0]^5*b[1]+2*a[-1]*a[0]*b[0]^7+70*a[-1]*a[1]*b[-1]^4*b[1]^3+420*a[-1]*a[1]*b[-1]^3*b[0]^2*b[1]^2+210*a[-1]*a[1]*b[-1]^2*b[0]^4*b[1]+14*a[-1]*a[1]*b[-1]*b[0]^6-2522173*a[-1]*b[-1]^4*b[0]*b[1]^3+719218*a[-1]*b[-1]^3*b[0]^3*b[1]^2-40119*a[-1]*b[-1]^2*b[0]^5*b[1]+247*a[-1]*b[-1]*b[0]^7+35*a[0]^2*b[-1]^4*b[1]^3+210*a[0]^2*b[-1]^3*b[0]^2*b[1]^2+105*a[0]^2*b[-1]^2*b[0]^4*b[1]+7*a[0]^2*b[-1]*b[0]^6+210*a[0]*a[1]*b[-1]^4*b[0]*b[1]^2+280*a[0]*a[1]*b[-1]^3*b[0]^3*b[1]+42*a[0]*a[1]*b[-1]^2*b[0]^5+2485288*a[0]*b[-1]^5*b[1]^3-711051*a[0]*b[-1]^4*b[0]^2*b[1]^2+39956*a[0]*b[-1]^3*b[0]^4*b[1]-247*a[0]*b[-1]^2*b[0]^6+21*a[1]^2*b[-1]^5*b[1]^2+105*a[1]^2*b[-1]^4*b[0]^2*b[1]+35*a[1]^2*b[-1]^3*b[0]^4+36885*a[1]*b[-1]^5*b[0]*b[1]^2-8167*a[1]*b[-1]^4*b[0]^3*b[1]+163*a[1]*b[-1]^3*b[0]^5 = 0, -21*a[-1]^2*b[-1]^2*b[1]^5-105*a[-1]^2*b[-1]*b[0]^2*b[1]^4-35*a[-1]^2*b[0]^4*b[1]^3-210*a[-1]*a[0]*b[-1]^2*b[0]*b[1]^4-280*a[-1]*a[0]*b[-1]*b[0]^3*b[1]^3-42*a[-1]*a[0]*b[0]^5*b[1]^2-70*a[-1]*a[1]*b[-1]^3*b[1]^4-420*a[-1]*a[1]*b[-1]^2*b[0]^2*b[1]^3-210*a[-1]*a[1]*b[-1]*b[0]^4*b[1]^2-14*a[-1]*a[1]*b[0]^6*b[1]-2337507*a[-1]*b[-1]^3*b[0]*b[1]^4+387342*a[-1]*b[-1]^2*b[0]^3*b[1]^3-8937*a[-1]*b[-1]*b[0]^5*b[1]^2+9*a[-1]*b[0]^7*b[1]-35*a[0]^2*b[-1]^3*b[1]^4-210*a[0]^2*b[-1]^2*b[0]^2*b[1]^3-105*a[0]^2*b[-1]*b[0]^4*b[1]^2-7*a[0]^2*b[0]^6*b[1]-280*a[0]*a[1]*b[-1]^3*b[0]*b[1]^3-420*a[0]*a[1]*b[-1]^2*b[0]^3*b[1]^2-84*a[0]*a[1]*b[-1]*b[0]^5*b[1]-2*a[0]*a[1]*b[0]^7+4675014*a[0]*b[-1]^4*b[1]^4-774684*a[0]*b[-1]^3*b[0]^2*b[1]^3+17874*a[0]*b[-1]^2*b[0]^4*b[1]^2-18*a[0]*b[-1]*b[0]^6*b[1]-35*a[1]^2*b[-1]^4*b[1]^3-210*a[1]^2*b[-1]^3*b[0]^2*b[1]^2-105*a[1]^2*b[-1]^2*b[0]^4*b[1]-7*a[1]^2*b[-1]*b[0]^6-2337507*a[1]*b[-1]^4*b[0]*b[1]^3+387342*a[1]*b[-1]^3*b[0]^3*b[1]^2-8937*a[1]*b[-1]^2*b[0]^5*b[1]+9*a[1]*b[-1]*b[0]^7 = 0, 105*a[-1]^2*b[-1]^2*b[0]*b[1]^4+140*a[-1]^2*b[-1]*b[0]^3*b[1]^3+21*a[-1]^2*b[0]^5*b[1]^2+70*a[-1]*a[0]*b[-1]^3*b[1]^4+420*a[-1]*a[0]*b[-1]^2*b[0]^2*b[1]^3+210*a[-1]*a[0]*b[-1]*b[0]^4*b[1]^2+14*a[-1]*a[0]*b[0]^6*b[1]+280*a[-1]*a[1]*b[-1]^3*b[0]*b[1]^3+420*a[-1]*a[1]*b[-1]^2*b[0]^3*b[1]^2+84*a[-1]*a[1]*b[-1]*b[0]^5*b[1]+2*a[-1]*a[1]*b[0]^7-3998464*a[-1]*b[-1]^4*b[1]^4+1809844*a[-1]*b[-1]^3*b[0]^2*b[1]^3-165714*a[-1]*b[-1]^2*b[0]^4*b[1]^2+2230*a[-1]*b[-1]*b[0]^6*b[1]-a[-1]*b[0]^8+140*a[0]^2*b[-1]^3*b[0]*b[1]^3+210*a[0]^2*b[-1]^2*b[0]^3*b[1]^2+42*a[0]^2*b[-1]*b[0]^5*b[1]+a[0]^2*b[0]^7+70*a[0]*a[1]*b[-1]^4*b[1]^3+420*a[0]*a[1]*b[-1]^3*b[0]^2*b[1]^2+210*a[0]*a[1]*b[-1]^2*b[0]^4*b[1]+14*a[0]*a[1]*b[-1]*b[0]^6-1045243*a[0]*b[-1]^4*b[0]*b[1]^3+142558*a[0]*b[-1]^3*b[0]^3*b[1]^2-2193*a[0]*b[-1]^2*b[0]^5*b[1]+a[0]*b[-1]*b[0]^7+105*a[1]^2*b[-1]^4*b[0]*b[1]^2+140*a[1]^2*b[-1]^3*b[0]^3*b[1]+21*a[1]^2*b[-1]^2*b[0]^5+3998464*a[1]*b[-1]^5*b[1]^3-764601*a[1]*b[-1]^4*b[0]^2*b[1]^2+23156*a[1]*b[-1]^3*b[0]^4*b[1]-37*a[1]*b[-1]^2*b[0]^6 = 0}:

indets(sys,name);

{a[-1], a[0], a[1], b[-1], b[0], b[1]}

 solve(sys, {a[-1], a[0], a[1], b[-1], b[0], b[1]});

{a[-1] = 0, a[0] = 0, a[1] = 0, b[-1] = b[-1], b[0] = b[0], b[1] = b[1]}, {a[-1] = a[-1], a[0] = a[0], a[1] = a[1], b[-1] = 0, b[0] = 0, b[1] = 0}, {a[-1] = 0, a[0] = b[-1], a[1] = b[0], b[-1] = b[-1], b[0] = b[0], b[1] = 0}

eval(sys,{a[-1] = 0, a[0] = 0, a[1] = 0});

{0 = 0}

 

Download Shahri_ac.mw

Are you trying to solve symbolically for some names (variables) in terms of the remaining names (parameters)? If so then you should tell us whcih are the variables and which are the parameters.

Here are some ideas: 

restart;

kernelopts(version);

`Maple 18.02, X86 64 LINUX, Oct 20 2014, Build ID 991181`

sys := {x^3*a[1]*b[0]+x*a[1]^3*b[0]-x^3*a[0]-x*a[0]*a[1]^2+omega*a[1]*b[0]-omega*a[0] = 0, -x^3*a[-1]*b[-1]^2*b[0]+x^3*a[0]*b[-1]^3-omega*a[-1]*b[-1]^2*b[0]+omega*a[0]*b[-1]^3-x*a[-1]^3*b[0]+x*a[-1]^2*a[0]*b[-1] = 0, -4*x^3*a[1]*b[0]^2+4*x^3*a[0]*b[0]+8*x^3*a[1]*b[-1]+2*x*a[0]*a[1]^2*b[0]+2*x*a[1]^3*b[-1]+2*omega*a[1]*b[0]^2-8*x^3*a[-1]-2*x*a[-1]*a[1]^2-2*x*a[0]^2*a[1]-2*omega*a[0]*b[0]+2*omega*a[1]*b[-1]-2*omega*a[-1] = 0, 4*x^3*a[1]*b[-1]*b[0]^2-4*x^3*a[-1]*b[0]^2-32*x^3*a[1]*b[-1]^2+4*omega*a[1]*b[-1]*b[0]^2-32*x^3*a[-1]*b[-1]+4*x*a[-1]*a[1]^2*b[-1]+4*x*a[0]^2*a[1]*b[-1]-4*omega*a[-1]*b[0]^2+4*omega*a[1]*b[-1]^2-4*x*a[-1]^2*a[1]-4*x*a[-1]*a[0]^2-4*omega*a[-1]*b[-1] = 0, 4*x^3*a[-1]*b[-1]*b[0]^2-4*x^3*a[0]*b[-1]^2*b[0]+8*x^3*a[1]*b[-1]^3-8*x^3*a[-1]*b[-1]^2-2*omega*a[-1]*b[-1]*b[0]^2+2*omega*a[0]*b[-1]^2*b[0]+2*omega*a[1]*b[-1]^3-2*x*a[-1]^2*a[0]*b[0]+2*x*a[-1]^2*a[1]*b[-1]+2*x*a[-1]*a[0]^2*b[-1]-2*omega*a[-1]*b[-1]^2-2*x*a[-1]^3 = 0, x^3*a[1]*b[0]^3-x^3*a[0]*b[0]^2-18*x^3*a[1]*b[-1]*b[0]+omega*a[1]*b[0]^3-5*x^3*a[-1]*b[0]+23*x^3*a[0]*b[-1]+x*a[-1]*a[1]^2*b[0]+x*a[0]^2*a[1]*b[0]+5*x*a[0]*a[1]^2*b[-1]-omega*a[0]*b[0]^2+6*omega*a[1]*b[-1]*b[0]-6*x*a[-1]*a[0]*a[1]-x*a[0]^3+5*omega*a[-1]*b[0]-omega*a[0]*b[-1] = 0, -x^3*a[-1]*b[0]^3+x^3*a[0]*b[-1]*b[0]^2+5*x^3*a[1]*b[-1]^2*b[0]+18*x^3*a[-1]*b[-1]*b[0]-23*x^3*a[0]*b[-1]^2-omega*a[-1]*b[0]^3+omega*a[0]*b[-1]*b[0]^2+5*omega*a[1]*b[-1]^2*b[0]-x*a[-1]^2*a[1]*b[0]-x*a[-1]*a[0]^2*b[0]+6*x*a[-1]*a[0]*a[1]*b[-1]+x*a[0]^3*b[-1]-6*omega*a[-1]*b[-1]*b[0]+omega*a[0]*b[-1]^2-5*x*a[-1]^2*a[0] = 0}:

indets(sys,name);

{omega, x, a[-1], a[0], a[1], b[-1], b[0]}

EA:=eliminate(sys,x):
A:=EA[1];
map(rhs-lhs,eval(sys,%)):
K:={solve(%)}:
KK:=map(k->remove(kk->lhs(kk)=rhs(kk),k),K):
AA:=map(`union`,KK,A);

{x = 0}

{{omega = 0, x = 0}, {x = 0, a[-1] = 0, a[0] = 0, a[1] = 0}, {x = 0, a[-1] = 0, a[0] = a[1]*b[0], b[-1] = 0}, {x = 0, a[-1] = a[1]*b[-1], a[0] = 0, b[0] = 0}}

# check
map[2](eval,sys,AA);

{{0 = 0}}

solve(sys,{x,omega});

{omega = 0, x = 0}

solve(sys,{a[-1],a[0],a[1]});

{a[-1] = 0, a[0] = 0, a[1] = 0}

solve(sys,{x,a[-1],b[-1],a[0]});

{x = x, a[-1] = 0, a[0] = a[1]*b[0], b[-1] = 0}

solve(sys,{x,a[-1],b[0],a[0]});

{x = 0, a[-1] = a[1]*b[-1], a[0] = 0, b[0] = 0}

solve(sys,{x,omega,a[0]});

{omega = 0, x = 0, a[0] = a[0]}

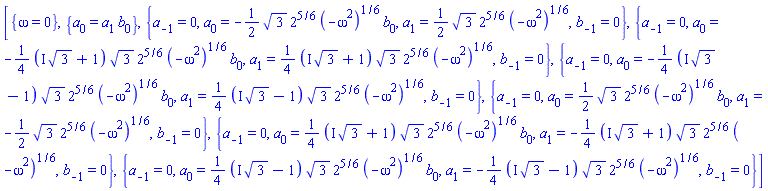
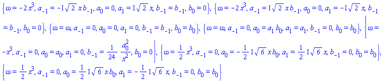
solve(sys,{omega, a[-1], a[0], a[1], b[-1], b[0]}, explicit);

{omega = -2*x^3, a[-1] = -I*2^(1/2)*x*b[-1], a[0] = 0, a[1] = I*2^(1/2)*x, b[-1] = b[-1], b[0] = 0}, {omega = -2*x^3, a[-1] = I*2^(1/2)*x*b[-1], a[0] = 0, a[1] = -I*2^(1/2)*x, b[-1] = b[-1], b[0] = 0}, {omega = omega, a[-1] = 0, a[0] = 0, a[1] = 0, b[-1] = b[-1], b[0] = b[0]}, {omega = omega, a[-1] = 0, a[0] = a[1]*b[0], a[1] = a[1], b[-1] = 0, b[0] = b[0]}, {omega = -x^3, a[-1] = 0, a[0] = a[0], a[1] = 0, b[-1] = (1/24)*a[0]^2/x^2, b[0] = 0}, {omega = (1/2)*x^3, a[-1] = 0, a[0] = -((1/2)*I)*6^(1/2)*x*b[0], a[1] = ((1/2)*I)*6^(1/2)*x, b[-1] = 0, b[0] = b[0]}, {omega = (1/2)*x^3, a[-1] = 0, a[0] = ((1/2)*I)*6^(1/2)*x*b[0], a[1] = -((1/2)*I)*6^(1/2)*x, b[-1] = 0, b[0] = b[0]}

# restrictions on A=EA[1]
map(k->remove(kk->lhs(kk)=rhs(kk),k),
    simplify([solve(EA[2],{omega,a[0],a[1],a[-1],b[-1]},explicit)]));

[{omega = 0}, {a[0] = a[1]*b[0]}, {a[-1] = 0, a[0] = -(1/2)*3^(1/2)*2^(5/6)*(-omega^2)^(1/6)*b[0], a[1] = (1/2)*3^(1/2)*2^(5/6)*(-omega^2)^(1/6), b[-1] = 0}, {a[-1] = 0, a[0] = -(1/4)*(I*3^(1/2)+1)*3^(1/2)*2^(5/6)*(-omega^2)^(1/6)*b[0], a[1] = (1/4)*(I*3^(1/2)+1)*3^(1/2)*2^(5/6)*(-omega^2)^(1/6), b[-1] = 0}, {a[-1] = 0, a[0] = -(1/4)*(I*3^(1/2)-1)*3^(1/2)*2^(5/6)*(-omega^2)^(1/6)*b[0], a[1] = (1/4)*(I*3^(1/2)-1)*3^(1/2)*2^(5/6)*(-omega^2)^(1/6), b[-1] = 0}, {a[-1] = 0, a[0] = (1/2)*3^(1/2)*2^(5/6)*(-omega^2)^(1/6)*b[0], a[1] = -(1/2)*3^(1/2)*2^(5/6)*(-omega^2)^(1/6), b[-1] = 0}, {a[-1] = 0, a[0] = (1/4)*(I*3^(1/2)+1)*3^(1/2)*2^(5/6)*(-omega^2)^(1/6)*b[0], a[1] = -(1/4)*(I*3^(1/2)+1)*3^(1/2)*2^(5/6)*(-omega^2)^(1/6), b[-1] = 0}, {a[-1] = 0, a[0] = (1/4)*(I*3^(1/2)-1)*3^(1/2)*2^(5/6)*(-omega^2)^(1/6)*b[0], a[1] = -(1/4)*(I*3^(1/2)-1)*3^(1/2)*2^(5/6)*(-omega^2)^(1/6), b[-1] = 0}]

G:=[eliminate(sys,{x,b[0]})]:

G[1];

[{x = (1/6)*(-108*omega+12*(12*a[1]^6+81*omega^2)^(1/2))^(1/3)-2*a[1]^2/(-108*omega+12*(12*a[1]^6+81*omega^2)^(1/2))^(1/3), b[0] = a[0]/a[1]}, {}]

G[3];

[{x = -(1/12)*(-108*omega+12*(12*a[1]^6+81*omega^2)^(1/2))^(1/3)+a[1]^2/(-108*omega+12*(12*a[1]^6+81*omega^2)^(1/2))^(1/3)-((1/2)*I)*3^(1/2)*((1/6)*(-108*omega+12*(12*a[1]^6+81*omega^2)^(1/2))^(1/3)+2*a[1]^2/(-108*omega+12*(12*a[1]^6+81*omega^2)^(1/2))^(1/3)), b[0] = a[0]/a[1]}, {}]

G[4];

[{x = -(1/12)*(-108*omega+12*(12*a[1]^6+81*omega^2)^(1/2))^(1/3)+a[1]^2/(-108*omega+12*(12*a[1]^6+81*omega^2)^(1/2))^(1/3)+((1/2)*I)*3^(1/2)*((1/6)*(-108*omega+12*(12*a[1]^6+81*omega^2)^(1/2))^(1/3)+2*a[1]^2/(-108*omega+12*(12*a[1]^6+81*omega^2)^(1/2))^(1/3)), b[0] = a[0]/a[1]}, {}]

# These have restrictions on remaining parameters
G[2][1];
G[5][1];
G[6][1];

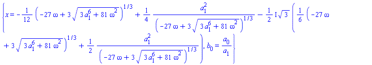
{x = (1/6)*(-27*omega+3*(3*a[1]^6+81*omega^2)^(1/2))^(1/3)-(1/2)*a[1]^2/(-27*omega+3*(3*a[1]^6+81*omega^2)^(1/2))^(1/3), b[0] = a[0]/a[1]}

{x = -(1/12)*(-27*omega+3*(3*a[1]^6+81*omega^2)^(1/2))^(1/3)+(1/4)*a[1]^2/(-27*omega+3*(3*a[1]^6+81*omega^2)^(1/2))^(1/3)-((1/2)*I)*3^(1/2)*((1/6)*(-27*omega+3*(3*a[1]^6+81*omega^2)^(1/2))^(1/3)+(1/2)*a[1]^2/(-27*omega+3*(3*a[1]^6+81*omega^2)^(1/2))^(1/3)), b[0] = a[0]/a[1]}

{x = -(1/12)*(-27*omega+3*(3*a[1]^6+81*omega^2)^(1/2))^(1/3)+(1/4)*a[1]^2/(-27*omega+3*(3*a[1]^6+81*omega^2)^(1/2))^(1/3)+((1/2)*I)*3^(1/2)*((1/6)*(-27*omega+3*(3*a[1]^6+81*omega^2)^(1/2))^(1/3)+(1/2)*a[1]^2/(-27*omega+3*(3*a[1]^6+81*omega^2)^(1/2))^(1/3)), b[0] = a[0]/a[1]}

# For example, solving restrictions on G[2][1]
solve(G[2][2]);

Warning, solutions may have been lost

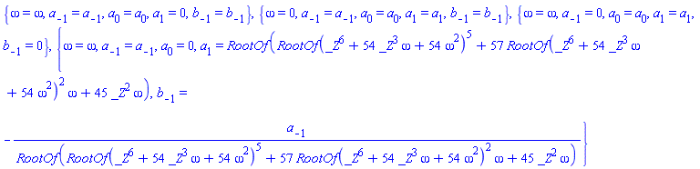
{omega = omega, a[-1] = a[-1], a[0] = a[0], a[1] = 0, b[-1] = b[-1]}, {omega = 0, a[-1] = a[-1], a[0] = a[0], a[1] = a[1], b[-1] = b[-1]}, {omega = omega, a[-1] = 0, a[0] = a[0], a[1] = a[1], b[-1] = 0}, {omega = omega, a[-1] = a[-1], a[0] = 0, a[1] = RootOf(RootOf(_Z^6+54*_Z^3*omega+54*omega^2)^5+57*RootOf(_Z^6+54*_Z^3*omega+54*omega^2)^2*omega+45*_Z^2*omega), b[-1] = -a[-1]/RootOf(RootOf(_Z^6+54*_Z^3*omega+54*omega^2)^5+57*RootOf(_Z^6+54*_Z^3*omega+54*omega^2)^2*omega+45*_Z^2*omega)}

# A new system, where b[0]=a[0]/a[1]
newsys:=remove(u->simplify(lhs(u)-rhs(u))=0,factor(eval(sys, b[0]=a[0]/a[1])));

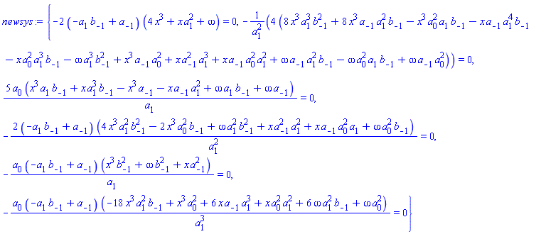
{-2*(-a[1]*b[-1]+a[-1])*(4*x^3+x*a[1]^2+omega) = 0, -4*(8*x^3*a[1]^3*b[-1]^2+8*x^3*a[-1]*a[1]^2*b[-1]-x^3*a[0]^2*a[1]*b[-1]-x*a[-1]*a[1]^4*b[-1]-x*a[0]^2*a[1]^3*b[-1]-omega*a[1]^3*b[-1]^2+x^3*a[-1]*a[0]^2+x*a[-1]^2*a[1]^3+x*a[-1]*a[0]^2*a[1]^2+omega*a[-1]*a[1]^2*b[-1]-omega*a[0]^2*a[1]*b[-1]+omega*a[-1]*a[0]^2)/a[1]^2 = 0, 5*a[0]*(x^3*a[1]*b[-1]+x*a[1]^3*b[-1]-x^3*a[-1]-x*a[-1]*a[1]^2+omega*a[1]*b[-1]+omega*a[-1])/a[1] = 0, -2*(-a[1]*b[-1]+a[-1])*(4*x^3*a[1]^2*b[-1]^2-2*x^3*a[0]^2*b[-1]+omega*a[1]^2*b[-1]^2+x*a[-1]^2*a[1]^2+x*a[-1]*a[0]^2*a[1]+omega*a[0]^2*b[-1])/a[1]^2 = 0, -a[0]*(-a[1]*b[-1]+a[-1])*(x^3*b[-1]^2+omega*b[-1]^2+x*a[-1]^2)/a[1] = 0, -a[0]*(-a[1]*b[-1]+a[-1])*(-18*x^3*a[1]^2*b[-1]+x^3*a[0]^2+6*x*a[-1]*a[1]^3+x*a[0]^2*a[1]^2+6*omega*a[1]^2*b[-1]+omega*a[0]^2)/a[1]^3 = 0}

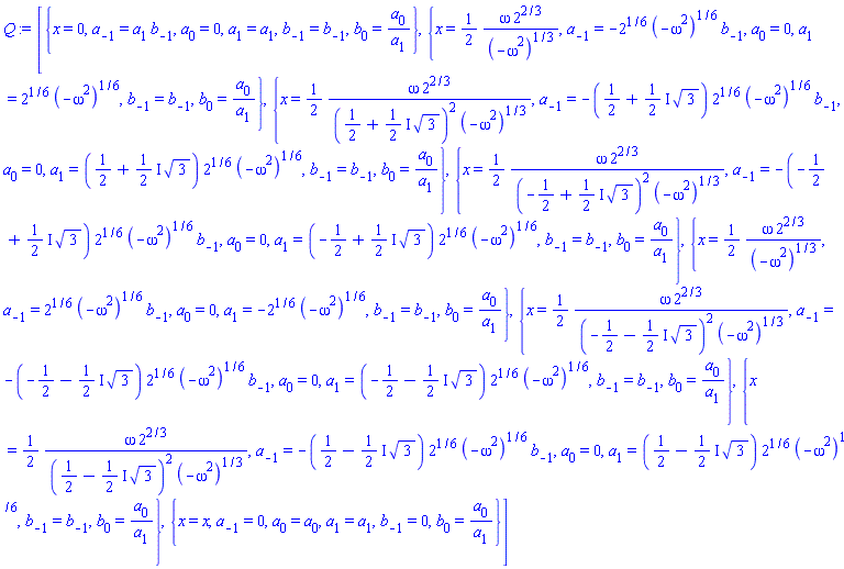
Q:=map(`union`,[solve(newsys,{x,a[-1],a[1],a[0],b[-1]},explicit)],{b[0]=a[0]/a[1]});

[{x = 0, a[-1] = a[1]*b[-1], a[0] = 0, a[1] = a[1], b[-1] = b[-1], b[0] = a[0]/a[1]}, {x = (1/2)*omega*2^(2/3)/(-omega^2)^(1/3), a[-1] = -2^(1/6)*(-omega^2)^(1/6)*b[-1], a[0] = 0, a[1] = 2^(1/6)*(-omega^2)^(1/6), b[-1] = b[-1], b[0] = a[0]/a[1]}, {x = (1/2)*omega*2^(2/3)/((1/2+((1/2)*I)*3^(1/2))^2*(-omega^2)^(1/3)), a[-1] = -(1/2+((1/2)*I)*3^(1/2))*2^(1/6)*(-omega^2)^(1/6)*b[-1], a[0] = 0, a[1] = (1/2+((1/2)*I)*3^(1/2))*2^(1/6)*(-omega^2)^(1/6), b[-1] = b[-1], b[0] = a[0]/a[1]}, {x = (1/2)*omega*2^(2/3)/((-1/2+((1/2)*I)*3^(1/2))^2*(-omega^2)^(1/3)), a[-1] = -(-1/2+((1/2)*I)*3^(1/2))*2^(1/6)*(-omega^2)^(1/6)*b[-1], a[0] = 0, a[1] = (-1/2+((1/2)*I)*3^(1/2))*2^(1/6)*(-omega^2)^(1/6), b[-1] = b[-1], b[0] = a[0]/a[1]}, {x = (1/2)*omega*2^(2/3)/(-omega^2)^(1/3), a[-1] = 2^(1/6)*(-omega^2)^(1/6)*b[-1], a[0] = 0, a[1] = -2^(1/6)*(-omega^2)^(1/6), b[-1] = b[-1], b[0] = a[0]/a[1]}, {x = (1/2)*omega*2^(2/3)/((-1/2-((1/2)*I)*3^(1/2))^2*(-omega^2)^(1/3)), a[-1] = -(-1/2-((1/2)*I)*3^(1/2))*2^(1/6)*(-omega^2)^(1/6)*b[-1], a[0] = 0, a[1] = (-1/2-((1/2)*I)*3^(1/2))*2^(1/6)*(-omega^2)^(1/6), b[-1] = b[-1], b[0] = a[0]/a[1]}, {x = (1/2)*omega*2^(2/3)/((1/2-((1/2)*I)*3^(1/2))^2*(-omega^2)^(1/3)), a[-1] = -(1/2-((1/2)*I)*3^(1/2))*2^(1/6)*(-omega^2)^(1/6)*b[-1], a[0] = 0, a[1] = (1/2-((1/2)*I)*3^(1/2))*2^(1/6)*(-omega^2)^(1/6), b[-1] = b[-1], b[0] = a[0]/a[1]}, {x = x, a[-1] = 0, a[0] = a[0], a[1] = a[1], b[-1] = 0, b[0] = a[0]/a[1]}]

# check
simplify(map[2](eval,newsys,Q));

[{0 = 0}, {0 = 0}, {0 = 0}, {0 = 0}, {0 = 0}, {0 = 0}, {0 = 0}, {0 = 0}]

 

Download solve_sys_example.mw

I separated the construction of the data from the processing, to illustrate some performance differences in approaches to the latter.

I repeated both (and iterated each a few times).

restart

ffgO := proc (xx, yy, zz) local maxx; maxx := (rhs-lhs+1)(op(2, xx)); return add(xx[ii]^2+yy[ii]^2+zz[ii]^2, ii = 1 .. maxx) end proc

ffg := proc (xx, yy, zz) local maxx; maxx := (rhs-lhs+1)(op(2, xx)); return evalhf(add(xx[ii]^2+yy[ii]^2+zz[ii]^2, ii = 1 .. maxx)) end proc

FFG := proc (xx::(Array(datatype = float[8])), yy::(Array(datatype = float[8])), zz::(Array(datatype = float[8])), maxx::integer) local T::float, ii::integer; option threadsafe; T := 0.; for ii to maxx do T := T+xx[ii]^2+yy[ii]^2+zz[ii]^2 end do; T end proc; cFFG := Compiler:-Compile(FFG)

X := Statistics:-RandomVariable(Uniform(0, 1)); SX := Statistics:-Sample(X)

dat := CodeTools:-Usage([seq([Array(1 .. 100, SX(100)), Array(1 .. 100, SX(100)), Array(1 .. 100, SX(100))], ii = 1 .. 100)])

memory used=0.95MiB, alloc change=0 bytes, cpu time=6.00ms, real time=7.00ms, gc time=0ns

CodeTools:-Usage(map(`@`(ffgO, op), dat), iterations = 20)

memory used=4.02MiB, alloc change=-4.00MiB, cpu time=26.60ms, real time=24.00ms, gc time=5.45ms

CodeTools:-Usage(Threads:-Map(`@`(ffg, op), dat), iterations = 20)

memory used=0.57MiB, alloc change=102.56MiB, cpu time=8.40ms, real time=3.10ms, gc time=0ns

CodeTools:-Usage(Threads:-Map(proc (L) options operator, arrow; cFFG(op(L), 100) end proc, dat), iterations = 20)

memory used=16.89KiB, alloc change=0 bytes, cpu time=450.00us, real time=200.00us, gc time=0ns

resO := CodeTools:-Usage(map(`@`(ffgO, op), dat), iterations = 20)

memory used=4.02MiB, alloc change=0 bytes, cpu time=29.85ms, real time=26.65ms, gc time=6.89ms

res1 := CodeTools:-Usage(Threads:-Map(`@`(ffg, op), dat), iterations = 20)

memory used=0.56MiB, alloc change=0 bytes, cpu time=6.75ms, real time=2.10ms, gc time=0ns

res2 := CodeTools:-Usage(Threads:-Map(proc (L) options operator, arrow; cFFG(op(L), 100) end proc, dat), iterations = 20)

memory used=16.89KiB, alloc change=0 bytes, cpu time=450.00us, real time=250.00us, gc time=0ns

evalf[3](evalf[10](max(`~`[abs](resO-res2)))), max(`~`[abs](res1-res2))

0.493e-7, 0.

 

Download thread_map_acc.mw

 

The Description in the Help page for topic alias states clearly:

Because aliases are resolved at the time of parsing the original input, they substitute literally, without regard to values of variables and expressions.  For example, alias(a[1]=exp(1)) followed by evalf(a[1]) will replace a[1] with exp(1) to give the result 2.718281828, but evalf(a[i]) will not substitute a[i] for its alias even when i=1.  This is because a[i] does not literally match a[1].

You are trying to use alias for a way that directly goes against that.

It would work to parse strings made afresh, but that would be crazy. For example,

restart:

interface(version);

`Standard Worksheet Interface, Maple 2015.2, Linux, December 21 2015 Build ID 1097895`

for n from 2 to 3 do
  alias(a[n]=RootOf(z^n-1)):
end do:
alias();
n:='n':

a[2], a[3]

dismantle(a[2]);


FUNCTION(3)
   NAME(4): RootOf #[protected, _syslib]
   EXPSEQ(2)
      POLY(6)
         EXPSEQ(2)
            NAME(4): _Z #[protected, _syslib]
         DEGREES(HW): 2
         INTPOS(2): 1
         DEGREES(HW): 0
         INTNEG(2): -1
 

seq(a[n], n=2..2);
map(dismantle,[%]);

a[2]


TABLEREF(3)
   NAME(4): a
   EXPSEQ(2)
      INTPOS(2): 2
 

[]

seq(eval(parse(sprintf("%a",a[n]))), n=2..3);

a[2], a[3]

allvalues(a[2]), allvalues(a[3]);

1, -1, 1, -1/2+((1/2)*I)*3^(1/2), -1/2-((1/2)*I)*3^(1/2)

seq(allvalues(a[n]), n=2..3);

a[2], a[3]

seq(allvalues(parse(sprintf("%a",a[n]))), n=2..3);

1, -1, 1, -1/2+((1/2)*I)*3^(1/2), -1/2-((1/2)*I)*3^(1/2)

 

Download allvalues_ac.mw

Names in Maple can be more than one letter long.

When you write xy without any space or multiplication symbol you are writing a name (of length two, using two letters). That is not the same as x*y .

So, for example, 9*xy^2*x^2 is not the same as 9*x*y^2*x^2 .

If you intend x*y and y*z then enter them that way, and do not enter xy and yz which are simply two other names unrelated to x, y, or z.

You can use Edit -> Find/Replace from the menubar to change them easily.

First 136 137 138 139 140 141 142 Last Page 138 of 338