vv

14112 Reputation

20 Badges

10 years, 155 days

MaplePrimes Activity


These are answers submitted by vv

It's a version of the classical:

MDS:=proc(A::Matrix, r::integer) 
local n,B,i,j,ip,jp,k,P,W, rng;
rng:=t -> (t-1)*r+1 .. t*r; 
n:=upperbound(A,1)/r;
for i to n do   for j to n do 
  B[i,j]:=LinearAlgebra:-SubMatrix(A, rng(i), rng(j), datatype=integer[8])
od od;
for k to n do
   W := Matrix(r*k, datatype=integer[8]); 
   P:=combinat:-choose(n,k);
   for ip in P do for jp in P do
      for i to k do for j to k do
         W[rng(i),rng(j)] := B[ip[i],jp[j]];
      od od;
      if LinearAlgebra:-Modular:-Determinant(2,W)=0 then return 'NoMDS' fi;
   od od;
od;
'IsMDS'
end proc:

A:=Matrix(   # check
 < 1,0,1,0;
   0,1,0,1;
   1,0,0,1;
   1,1,1,0>):
MDS(A,2);

A[1,1]:=0:
MDS(A,2);

                             IsMDS
                             NoMDS

 

If you are working in Z2 (i.e. mod 2) then a square matrix A is MDS iff A = [1]  (so the dimension is 1).
MDS matrices are useful only for fields other than GF(2).
So, the MDS procedure reduces to

MDS:=proc(A::Matrix, r::integer)
  if r<> 1 then return 'NONE' fi;
  eval(A, 0=NO)
end proc;

 

e_n_1b := n_1 = (-w^(2*sigma)*tau + w^sigma)*s*nsp_1/(w^sigma*tau^2 - w^(2*sigma)*tau + w^sigma - tau) + tau*(w^(sigma - 1)*tau - w^(2*sigma - 1))*s*nsp_2/(w^sigma*tau^2 - w^(2*sigma)*tau + w^sigma - tau):
lhs(e_n_1b)=map(factor@expand, rhs(e_n_1b))

 

 

"Catastrophic expansions" in sum

 

restart;

x0 := a+b+c;

a+b+c

(1)

A := sum(cos((k-1-j)*x), k = 1 .. K):

A0 := eval(A, x=x0);

-(1/2)*(2*cos(a+b+c)^2*cos((a+b+c)*j)-2*cos(a+b+c)*sin(a+b+c)*sin((a+b+c)*j)-cos((a+b+c)*j)*cos(a+b+c)+sin((a+b+c)*j)*sin(a+b+c)-cos((a+b+c)*j))*cos((a+b+c)*(K+1))/(cos(a+b+c)-1)-(1/2)*(2*cos(a+b+c)^2*sin((a+b+c)*j)+2*cos((a+b+c)*j)*cos(a+b+c)*sin(a+b+c)-sin((a+b+c)*j)*cos(a+b+c)-cos((a+b+c)*j)*sin(a+b+c)-sin((a+b+c)*j))*sin((a+b+c)*(K+1))/(cos(a+b+c)-1)+(1/2)*(2*cos(a+b+c)^2*cos((a+b+c)*j)-2*cos(a+b+c)*sin(a+b+c)*sin((a+b+c)*j)-cos((a+b+c)*j)*cos(a+b+c)+sin((a+b+c)*j)*sin(a+b+c)-cos((a+b+c)*j))*cos(a+b+c)/(cos(a+b+c)-1)+(1/2)*(2*cos(a+b+c)^2*sin((a+b+c)*j)+2*cos((a+b+c)*j)*cos(a+b+c)*sin(a+b+c)-sin((a+b+c)*j)*cos(a+b+c)-cos((a+b+c)*j)*sin(a+b+c)-sin((a+b+c)*j))*sin(a+b+c)/(cos(a+b+c)-1)

(2)

length(A0);

1489

(3)

B0 := sum(cos((k-1-j)*x0), k = 1 .. K): # = A0, directly

length(B0);   # !!!

227841

(4)

# For x0=a+b+c+d we have to interrupt B0

combine(A0-B0);

0

(5)

length(simplify(A0-B0));

111341

(6)

You want to simplify a polynomial f in n (=7) indeterminates.
Maple has simplify(f, size)  for this (size is by default).
Of course the size is not necessarily minimal, and AFAIK such algorithm does not exist.
But if you know/hope/suspect a special convenient form for f, tell us about it.

 

restart;
f:=
arccos((-sin(theta3)*cos(phi3)*cos(theta2)+cos(theta3)*sin(theta2))/((
(1-cos(theta3)^2)*cos(theta2)^2+cos(theta3)^2-1)*cos(phi3)^2-2*sin(theta3)*cos(
theta2)*cos(theta3)*sin(theta2)*cos(phi3)-cos(theta2)^2*cos(theta3)^2+1)^(1/2))
*sin(theta3):

evalf[15](Int(Re(f), [theta2=0..Pi,theta3=0..Pi,phi3=0..2*Pi], method=_CubaCuhre, epsilon=1e-6));

                        62.0124733278130
evalf[15](Int(Im(f), [theta2=0..Pi,theta3=0..Pi,phi3=0..2*Pi], method=_CubaCuhre, epsilon=1e-6));
                       Float(undefined)

See here.
It will be easy to use Explore and set your prefered sliders.

It is a bug in the symbolic part. The integral is simplified to BesselI for noninteger indices.

restart;
F := Int(exp(z*cos(theta))*cos(v*theta)/Pi, theta = 0 .. Pi):
ex := eval(F, [z=2, v=6/5]):
value(ex);     # wrong
   
BesselI(6/5, 2)
evalf(%) = evalf(ex);
                   1.389981292 = 1.377481960
# FunctionAdvisor(BesselI, integral_form);

P.S. If you are intersted only in numeric results, just use Int instead of int and it will be OK.

 

It is used the fact that A,B are similar iff the characteristic matices (A-x*I, B-x*I) have the same Smith form.
So, the eigenvalues are not needed, and the computations are in Q if A,B are over Q.

A:=n ->
Matrix( n+1, (i,j)->
`if`(i<j,0,
  `if`(i=1,1,
  (i-1)*(-1)^(i-j)*2^(2*j-2)*(i+j-3)! / ( (2*j-2)!*(i-j)! )
))):

A(5);

You must use

PA[i] := eval(x[i + 1](t), sol(t[i]));

(note the i+1 because  x[0] is not defined) and similar for the rest of the loops.

Also, dt := 0.002;  because for 0.02 you will have singularities.

It is recommended to change tt[i] instead of t[i], because t is already in use.

 

mydet:=a -> a[1,1]*a[2,2]*a[3,3]-a[1,1]*a[2,3]*a[3,2]-a[1,2]*a[2,1]*a[3,3]
           +a[1,2]*a[2,3]*a[3,1]+a[1,3]*a[2,1]*a[3,2]-a[1,3]*a[2,2]*a[3,1];

proc (a) options operator, arrow; a[1, 1]*a[2, 2]*a[3, 3]-a[1, 1]*a[2, 3]*a[3, 2]-a[1, 2]*a[2, 1]*a[3, 3]+a[1, 2]*a[2, 3]*a[3, 1]+a[1, 3]*a[2, 1]*a[3, 2]-a[1, 3]*a[2, 2]*a[3, 1] end proc

(1)

Note that the myproc was actually obtained by

mydet:=unapply(LinearAlgebra:-Determinant(Matrix(3, symbol=a)), a):

but you don't have to mention this :-)

For this series (with a numeric n) there are some subtle math aspects.

1. The series may not exist if a<n [e.g. if a is noninteger]
2. For a>=n the expansion is 0  i.e. 0 + O(...)
but unfortunately Maple is not able to find it because for example

diff(sin(x)^a, x);

 

and Maple tries x=0 instead of limit(%, x=0)

You may of course expand around another point, e.g.

series(sin(x)^a, x=Pi/2, 4);

 

 

 

restart;

f:=exp(-I*x*y)*exp(x)/cosh(x)^2:

Int(f, x=-infinity..infinity) = `?`;

Int(exp(-I*x*y)*exp(x)/cosh(x)^2, x = -infinity .. infinity) = `?`

(1)

######################################
## The math explanation is omitted  ##
######################################

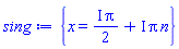
s:=singular(f,x):

sing:=eval(s, indets(s, suffixed(_Z))[]=n);

{x = ((1/2)*I)*Pi+I*Pi*n}

(2)

res:=simplify( residue(f, sing[]) ) assuming n::integer;

-exp((1/2)*Pi*(2*n+1)*y)*(-1)^n*(I+y)

(3)

ans := 2*Pi*I*sum(res, n=0..infinity) assuming y<0;

-(2*I)*Pi*exp((1/2)*Pi*y)*(I+y)/(exp(Pi*y)+1)

(4)

ANS:=Int(f, x=-infinity..infinity) = ans;

Int(exp(-I*x*y)*exp(x)/cosh(x)^2, x = -infinity .. infinity) = -(2*I)*Pi*exp((1/2)*Pi*y)*(I+y)/(exp(Pi*y)+1)

(5)

# numerical check

evalf(eval(ANS, y=1));

1.252040331-1.252040331*I = 1.252040331-1.252040331*I

(6)

evalf(eval(ANS, y=-1));

1.252040331+1.252040331*I = 1.252040331+1.252040331*I

(7)

evalf(eval(ANS, y=0));

3.141592654 = 3.141592654

(8)
First 46 47 48 49 50 51 52 Last Page 48 of 121