nm

11518 Reputation

20 Badges

13 years, 103 days

MaplePrimes Activity


These are Posts that have been published by nm

These are current collections of Maple bugs before I lose track of them. I put them all in one post. Hopefully these can be fixed in Maple 2025.2. For each problem, I post separate worksheet, so there are few worksheets here.

This is all on Linux using 2025.1 and latest SupportTools and latest Physics.

1. Random crashes. This one is very strange. The crash happens randomly. You might need to try few times to see it or close the worksheet and reopen it.
 

restart;

Example . RANDOM CRASHES

 

restart;

sol:=y(t) = (-25*sin(t+arctan(sin(4)*cos(4)/(sin(4)^2-1)))^2+25)^(1/2);
ode:=diff(y(t),t) = (25-y(t)^2)^(1/2);
IC:=y(4)=-5;
odetest(sol,[ode,IC],y(t)) assuming t>1;

y(t) = (-25*sin(t+arctan(sin(4)*cos(4)/(sin(4)^2-1)))^2+25)^(1/2)

diff(y(t), t) = (25-y(t)^2)^(1/2)

y(4) = -5

[(5/2)*2^(1/2)*(-(1-sin(2*t)*sin(8)-cos(2*t)*cos(8))^(1/2)*(1+sin(2*t)*sin(8)+cos(2*t)*cos(8))^(1/2)-sin(2*t)*cos(8)+sin(8)*cos(2*t))/(1+sin(2*t)*sin(8)+cos(2*t)*cos(8))^(1/2), -10]

restart;

sol:=y(t) = (-25*sin(t+arctan(sin(4)*cos(4)/(sin(4)^2-1)))^2+25)^(1/2);
ode:=diff(y(t),t) = (25-y(t)^2)^(1/2);
IC:=y(4)=-5;
odetest(sol,[ode,IC],y(t)) assuming t>1;

y(t) = (-25*sin(t+arctan(sin(4)*cos(4)/(sin(4)^2-1)))^2+25)^(1/2)

diff(y(t), t) = (25-y(t)^2)^(1/2)

y(4) = -5

Error, (in anonymous procedure called from cos) too many levels of recursion

restart;

sol:=y(t) = (-25*sin(t+arctan(sin(4)*cos(4)/(sin(4)^2-1)))^2+25)^(1/2);
ode:=diff(y(t),t) = (25-y(t)^2)^(1/2);
IC:=y(4)=-5;
odetest(sol,[ode,IC]) assuming t>1;

y(t) = (-25*sin(t+arctan(sin(4)*cos(4)/(sin(4)^2-1)))^2+25)^(1/2)

diff(y(t), t) = (25-y(t)^2)^(1/2)

y(4) = -5

[-(5/2)*2^(1/2)*((1-sin(2*t)*sin(8)-cos(2*t)*cos(8))^(1/2)*(1+sin(2*t)*sin(8)+cos(2*t)*cos(8))^(1/2)-sin(8)*cos(2*t)+sin(2*t)*cos(8))/(1+sin(2*t)*sin(8)+cos(2*t)*cos(8))^(1/2), -10]

restart;

sol:=y(t) = (-25*sin(t+arctan(sin(4)*cos(4)/(sin(4)^2-1)))^2+25)^(1/2);
ode:=diff(y(t),t) = (25-y(t)^2)^(1/2);
IC:=y(4)=-5;
odetest(sol,[ode,IC]) assuming t>1;

y(t) = (-25*sin(t+arctan(sin(4)*cos(4)/(sin(4)^2-1)))^2+25)^(1/2)

diff(y(t), t) = (25-y(t)^2)^(1/2)

y(4) = -5

[-(5/2)*2^(1/2)*((1-sin(2*t)*sin(8)-cos(2*t)*cos(8))^(1/2)*(1+sin(2*t)*sin(8)+cos(2*t)*cos(8))^(1/2)-sin(8)*cos(2*t)+sin(2*t)*cos(8))/(1+sin(2*t)*sin(8)+cos(2*t)*cos(8))^(1/2), -10]

restart;

sol:=y(t) = (-25*sin(t+arctan(sin(4)*cos(4)/(sin(4)^2-1)))^2+25)^(1/2);
ode:=diff(y(t),t) = (25-y(t)^2)^(1/2);
IC:=y(4)=-5;
odetest(sol,[ode,IC]) assuming t>1;

y(t) = (-25*sin(t+arctan(sin(4)*cos(4)/(sin(4)^2-1)))^2+25)^(1/2)

diff(y(t), t) = (25-y(t)^2)^(1/2)

y(4) = -5

Error, (in signum) too many levels of recursion

restart;

sol:=y(t) = (-25*sin(t+arctan(sin(4)*cos(4)/(sin(4)^2-1)))^2+25)^(1/2);
ode:=diff(y(t),t) = (25-y(t)^2)^(1/2);
IC:=y(4)=-5;
odetest(sol,[ode,IC],y(t)) assuming t>1;

y(t) = (-25*sin(t+arctan(sin(4)*cos(4)/(sin(4)^2-1)))^2+25)^(1/2)

diff(y(t), t) = (25-y(t)^2)^(1/2)

y(4) = -5

Error, (in anonymous procedure called from cos) too many levels of recursion

restart

sol:=y(t) = (-25*sin(t+arctan(sin(4)*cos(4)/(sin(4)^2-1)))^2+25)^(1/2);
ode:=diff(y(t),t) = (25-y(t)^2)^(1/2);
IC:=y(4)=-5;
odetest(sol,[ode,IC],y(t)) assuming t>1;

y(t) = (-25*sin(t+arctan(sin(4)*cos(4)/(sin(4)^2-1)))^2+25)^(1/2)

diff(y(t), t) = (25-y(t)^2)^(1/2)

y(4) = -5

[(5/2)*2^(1/2)*(-(1-sin(2*t)*sin(8)-cos(2*t)*cos(8))^(1/2)*(1+sin(2*t)*sin(8)+cos(2*t)*cos(8))^(1/2)+sin(8)*cos(2*t)-sin(2*t)*cos(8))/(1+sin(2*t)*sin(8)+cos(2*t)*cos(8))^(1/2), -10]

restart;

sol:=y(t) = (-25*sin(t+arctan(sin(4)*cos(4)/(sin(4)^2-1)))^2+25)^(1/2);
ode:=diff(y(t),t) = (25-y(t)^2)^(1/2);
IC:=y(4)=-5;
odetest(sol,[ode,IC],y(t)) assuming t>1;

y(t) = (-25*sin(t+arctan(sin(4)*cos(4)/(sin(4)^2-1)))^2+25)^(1/2)

diff(y(t), t) = (25-y(t)^2)^(1/2)

y(4) = -5

[-(5/2)*2^(1/2)*((1-sin(2*t)*sin(8)-cos(2*t)*cos(8))^(1/2)*(1+sin(2*t)*sin(8)+cos(2*t)*cos(8))^(1/2)+sin(2*t)*cos(8)-sin(8)*cos(2*t))/(1+sin(2*t)*sin(8)+cos(2*t)*cos(8))^(1/2), -10]

restart;

sol:=y(t) = (-25*sin(t+arctan(sin(4)*cos(4)/(sin(4)^2-1)))^2+25)^(1/2);
ode:=diff(y(t),t) = (25-y(t)^2)^(1/2);
IC:=y(4)=-5;
odetest(sol,[ode,IC]) assuming t>1;

y(t) = (-25*sin(t+arctan(sin(4)*cos(4)/(sin(4)^2-1)))^2+25)^(1/2)

diff(y(t), t) = (25-y(t)^2)^(1/2)

y(4) = -5

[-(5/2)*2^(1/2)*((1-sin(2*t)*sin(8)-cos(2*t)*cos(8))^(1/2)*(1+sin(2*t)*sin(8)+cos(2*t)*cos(8))^(1/2)+sin(2*t)*cos(8)-sin(8)*cos(2*t))/(1+sin(2*t)*sin(8)+cos(2*t)*cos(8))^(1/2), -10]

 

 

 

 

Download random_crashes_sept_8_2025.mw

 

2. collection of bugs from solve(identity) (another one related to solve(identity at end)

interface(version);

`Standard Worksheet Interface, Maple 2025.1, Linux, June 12 2025 Build ID 1932578`

SupportTools:-Version();

`The Customer Support Updates version in the MapleCloud is 29 and is the same as the version installed in this computer, created June 23, 2025, 10:25 hours Eastern Time.`

Physics:-Version();

`The "Physics Updates" version in the MapleCloud is 1877 and is the same as the version installed in this computer, created 2025, July 11, 19:24 hours Pacific Time.`

 

Example 1

 

restart;

eq:=1/8*A^2*exp(2*theta*(B+I))+1/8*exp(2*theta*(B-I))*A^2-1/4*A^2*exp(2*B*theta)-1/4*exp(theta*(B-2*I))*A*B-1/4*exp(theta*(B+2*I))*A*B+1/2*A*B*exp(B*theta)+1/4*exp(theta*(B-2*I))*A*C+1/4*exp(theta*(B+2*I))*A*C-1/2*A*C*exp(B*theta)-1/4*I*exp(theta*(B-2*I))*A+1/4*I*exp(theta*(B+2*I))*A+1/4*C^2*cos(2*theta)-1/4*C^2-1/2*C*sin(2*theta)-1/2*cos(2*theta)-1=0:
the_vars:=[A, B, C]:
solve(identity(eq,theta),the_vars);

Error, (in gcd/doit) too many levels of recursion

 

Example 2

 

restart;

eq:=-x^(1/2)-1/2*x*A^2+A*B*sinh(B*x)-1/2*x*A^2*cosh(2*B*x)=0;
the_vars:=[A, B]:
solve(identity(eq,x),the_vars);

-x^(1/2)-(1/2)*x*A^2+A*B*sinh(B*x)-(1/2)*x*A^2*cosh(2*B*x) = 0

Error, (in gcd/doit) too many levels of recursion

 

 

Example 3

 

restart;

eq:=1 = X*(2*cos(X)*cos(x0)-X*sin(X)*cos(x0)-2*sin(X)*sin(x0)-X*cos(X)*sin(x0)-x0*sin(X)*cos(x0)-x0*cos(X)*sin(x0))*(2*Y*ln(Y+y0)+Y+2*y0*ln(Y+y0)+y0)/Y/(X*cos(X)*cos(x0)-X*sin(X)*sin(x0)+x0*cos(X)*cos(x0)-x0*sin(X)*sin(x0)+sin(X)*cos(x0)+cos(X)*sin(x0))/(2*ln(Y+y0)+2*Y/(Y+y0)+1+2*y0/(Y+y0));

1 = X*(2*cos(X)*cos(x0)-X*sin(X)*cos(x0)-2*sin(X)*sin(x0)-X*cos(X)*sin(x0)-x0*sin(X)*cos(x0)-x0*cos(X)*sin(x0))*(2*Y*ln(Y+y0)+Y+2*y0*ln(Y+y0)+y0)/(Y*(X*cos(X)*cos(x0)-X*sin(X)*sin(x0)+x0*cos(X)*cos(x0)-x0*sin(X)*sin(x0)+sin(X)*cos(x0)+cos(X)*sin(x0))*(2*ln(Y+y0)+2*Y/(Y+y0)+1+2*y0/(Y+y0)))

solve(identity(eq,X),[x0,y0]);

Error, (in signature) too many levels of recursion

solve(identity(eq,X),[x0,y0,Y]);

Error, (in signature) too many levels of recursion

 

 


 

Download collection_of_maple_internal_errors_sept_6_2025.mw

 

3. Adding Physics:-Setup(assumingusesAssume = true): make combine fail

interface(version);

`Standard Worksheet Interface, Maple 2025.1, Linux, June 12 2025 Build ID 1932578`

SupportTools:-Version();

`The Customer Support Updates version in the MapleCloud is 29 and is the same as the version installed in this computer, created June 23, 2025, 10:25 hours Eastern Time.`

Physics:-Version();

`The "Physics Updates" version in the MapleCloud is 1877 and is the same as the version installed in this computer, created 2025, July 11, 19:24 hours Pacific Time.`

restart

Physics:-Setup(assumingusesAssume = true):

A:=1/6*ln(u^2+1)+1/3*arctan(u)+1/6*ln(u^2-3^(1/2)*u+1)-1/3*arctan(2*u-3^(1/2))+1/6*ln(u^2+3^(1/2)*u+1)-1/3*arctan(2*u+3^(1/2));
combine(A,ln) assuming real;

(1/6)*ln(u^2+1)+(1/3)*arctan(u)+(1/6)*ln(u^2-3^(1/2)*u+1)-(1/3)*arctan(2*u-3^(1/2))+(1/6)*ln(u^2+3^(1/2)*u+1)-(1/3)*arctan(2*u+3^(1/2))

Error, (in assuming) when calling 'is'. Received: 'invalid input: (u^2+1)^(1/6)*(u^2-3^(1/2)*u+1)^(1/6) <> 0'

Physics:-Setup(assumingusesAssume = false):

combine(A,ln) assuming real;

ln((u^2+1)^(1/6)*(u^2-3^(1/2)*u+1)^(1/6))+ln((u^2+3^(1/2)*u+1)^(1/6))+(1/3)*arctan(u)-(1/3)*arctan(2*u-3^(1/2))-(1/3)*arctan(2*u+3^(1/2))

 


 

Download adding_Phsyics_makes_combine_fail_sept_6_2025.mw

 

4. odetest internal error when adding assuming

interface(version);

`Standard Worksheet Interface, Maple 2025.1, Linux, June 12 2025 Build ID 1932578`

SupportTools:-Version();

`The Customer Support Updates version in the MapleCloud is 29 and is the same as the version installed in this computer, created June 23, 2025, 10:25 hours Eastern Time.`

Physics:-Version();

`The "Physics Updates" version in the MapleCloud is 1877 and is the same as the version installed in this computer, created 2025, July 11, 19:24 hours Pacific Time.`

restart;

sol:=y(x) = 6*x/(3*x-2*LambertW(-3/2*exp(5/2*x+5/6*_C2)))+1/2*x+1/3;
ode:=x-2*y(x)-1+(3*x-6*y(x)+2)*diff(y(x),x) = 0;
odetest(sol,ode,y(x)) assuming positive;

y(x) = 6*x/(3*x-2*LambertW(-(3/2)*exp((5/2)*x+(5/6)*_C2)))+(1/2)*x+1/3

x-2*y(x)-1+(3*x-6*y(x)+2)*(diff(y(x), x)) = 0

Error, (in depends) too many levels of recursion

odetest(sol,ode,y(x)); #removing positive it now works

-(40/3)*LambertW(-(3/2)*exp((5/2)*x+(5/6)*c__2))^4/((-3*x+2*LambertW(-(3/2)*exp((5/2)*x+(5/6)*c__2)))^3*(1+LambertW(-(3/2)*exp((5/2)*x+(5/6)*c__2))))+180*LambertW(-(3/2)*exp((5/2)*x+(5/6)*c__2))^3*x/((-3*x+2*LambertW(-(3/2)*exp((5/2)*x+(5/6)*c__2)))^3*(1+LambertW(-(3/2)*exp((5/2)*x+(5/6)*c__2))))-450*LambertW(-(3/2)*exp((5/2)*x+(5/6)*c__2))^2*x^2/((-3*x+2*LambertW(-(3/2)*exp((5/2)*x+(5/6)*c__2)))^3*(1+LambertW(-(3/2)*exp((5/2)*x+(5/6)*c__2))))+315*LambertW(-(3/2)*exp((5/2)*x+(5/6)*c__2))*x^3/((-3*x+2*LambertW(-(3/2)*exp((5/2)*x+(5/6)*c__2)))^3*(1+LambertW(-(3/2)*exp((5/2)*x+(5/6)*c__2))))-(40/3)*LambertW(-(3/2)*exp((5/2)*x+(5/6)*c__2))^3/((-3*x+2*LambertW(-(3/2)*exp((5/2)*x+(5/6)*c__2)))^3*(1+LambertW(-(3/2)*exp((5/2)*x+(5/6)*c__2))))-252*LambertW(-(3/2)*exp((5/2)*x+(5/6)*c__2))^2*x/((-3*x+2*LambertW(-(3/2)*exp((5/2)*x+(5/6)*c__2)))^3*(1+LambertW(-(3/2)*exp((5/2)*x+(5/6)*c__2))))+630*LambertW(-(3/2)*exp((5/2)*x+(5/6)*c__2))*x^2/((-3*x+2*LambertW(-(3/2)*exp((5/2)*x+(5/6)*c__2)))^3*(1+LambertW(-(3/2)*exp((5/2)*x+(5/6)*c__2))))+315*x^3/((-3*x+2*LambertW(-(3/2)*exp((5/2)*x+(5/6)*c__2)))^3*(1+LambertW(-(3/2)*exp((5/2)*x+(5/6)*c__2))))-432*x*LambertW(-(3/2)*exp((5/2)*x+(5/6)*c__2))/((-3*x+2*LambertW(-(3/2)*exp((5/2)*x+(5/6)*c__2)))^3*(1+LambertW(-(3/2)*exp((5/2)*x+(5/6)*c__2))))

 


 

Download internal_odetest_error_sept_6_2025.mw

 

5. solve(identity,..  gives internal error when one variable is missing

interface(version);

`Standard Worksheet Interface, Maple 2025.1, Linux, June 12 2025 Build ID 1932578`

SupportTools:-Version();

`The Customer Support Updates version in the MapleCloud is 29 and is the same as the version installed in this computer, created June 23, 2025, 10:25 hours Eastern Time.`

Physics:-Version();

`The "Physics Updates" version in the MapleCloud is 1877 and is the same as the version installed in this computer, created 2025, July 11, 19:24 hours Pacific Time.`

restart;

eq:=-A^2*exp(2*B*x)+A*B*exp(B*x)-2*A*C*exp(B*x)-C^2-a*cos(b*x)^m*(A*exp(B*x)+C+1)=0;

-A^2*exp(2*B*x)+A*B*exp(B*x)-2*A*C*exp(B*x)-C^2-a*cos(b*x)^m*(A*exp(B*x)+C+1) = 0

the_vars:=[A, B, C,m]: #all variables are listed
solve(identity(eq,x),the_vars);

[[A = 0, B = B, C = -(1/2)*a-(1/2)*(a^2-4*a)^(1/2), m = 0], [A = 0, B = B, C = -(1/2)*a+(1/2)*(a^2-4*a)^(1/2), m = 0], [A = -C-(1/2)*a-(1/2)*(a^2-4*a)^(1/2), B = 0, C = C, m = 0], [A = -C-(1/2)*a+(1/2)*(a^2-4*a)^(1/2), B = 0, C = C, m = 0]]

the_vars:=[A, B, C]:   #forget to add m variable to list, now it gives internal error variables are listed
solve(identity(eq,x),the_vars);

Error, (in depends) too many levels of recursion

 


 

Download missing_variable_solve_sept_6_2025.mw

 

6. odesteps gives internal error (was question before, moved it to here, so all in one place)
 

interface(version);

`Standard Worksheet Interface, Maple 2025.1, Linux, June 12 2025 Build ID 1932578`

SupportTools:-Version();

`The Customer Support Updates version in the MapleCloud is 29 and is the same as the version installed in this computer, created June 23, 2025, 10:25 hours Eastern Time.`

restart;

ode:=x^2*diff(y(x),x$2)+(x^2-5*x)*diff(y(x),x)+(5-6*x)*y(x)=0; #22942.  

x^2*(diff(diff(y(x), x), x))+(x^2-5*x)*(diff(y(x), x))+(5-6*x)*y(x) = 0

sol:=dsolve(ode);

y(x) = c__1*x^5*(x+5)+c__2*x*(x^4*(x+5)*Ei(1, x)+(-x^4-4*x^3+3*x^2-4*x+6)*exp(-x))

Student:-ODEs:-ODESteps(ode)

Warning, cannot verify that the given particular solution, y(x) = 1+1/5*x, actually solves the corresponding homogeneous ODE, diff(diff(y(x),x),x)+1/x*(x-5)*diff(y(x),x)-(-5+6*x)/x^2*y(x) = 0

Error, (in Student:-ODEs:-ChangeVariables) the ODE, diff(diff(U(T),T),T) = 5*(T^2+6*T-5)/T^2/(5+T)*U(T)-diff(U(T),T)*(T^2+2*T-25)/T/(5+T), contains the undifferentiated dependent variable, U(T), but the transformation %3, does not

 


 

Download internal_error_ODESteps_sept_2_2025.mw

 

7. Added OCT 3, 2025. simplify with assuming real gives Error, (in signum) too many levels of recursion

 


 

interface(version);

`Standard Worksheet Interface, Maple 2025.1, Linux, June 12 2025 Build ID 1932578`

Physics:-Version();

`The "Physics Updates" version in the MapleCloud is 1878 and is the same as the version installed in this computer, created 2025, September 28, 11:35 hours Pacific Time.`

SupportTools:-Version();

`The Customer Support Updates version in the MapleCloud is 29 and is the same as the version installed in this computer, created June 23, 2025, 10:25 hours Eastern Time.`

the_status:=[-5/2*2^(1/2)*(sin(2*t)*cos(8)-sin(8)*cos(2*t)+(1-sin(2*t)*sin(8)-cos(2*t)*cos(8))^(1/2)*(1+sin(2*t)*sin(8)+cos(2*t)*cos(8))^(1/2))/(1+sin(2*t)*sin(8)+cos(2*t)*cos(8))^(1/2), -10];
simplify(eval(factor(expand(eval(the_status,t = 2*z))),z = 1/2*t)) assuming real;

[-(5/2)*2^(1/2)*(sin(2*t)*cos(8)-sin(8)*cos(2*t)+(1-sin(2*t)*sin(8)-cos(2*t)*cos(8))^(1/2)*(1+sin(2*t)*sin(8)+cos(2*t)*cos(8))^(1/2))/(1+sin(2*t)*sin(8)+cos(2*t)*cos(8))^(1/2), -10]

Error, (in signum) too many levels of recursion

 


 

Download too_many_Levels_of_recustion_2025_1.mw

 

8. Added oct 3, 2025. Server crash with stack limit reached calling solve(identity)

 

 

Worksheet attached

interface(version);

`Standard Worksheet Interface, Maple 2025.1, Linux, June 12 2025 Build ID 1932578`

Physics:-Version();

`The "Physics Updates" version in the MapleCloud is 1878 and is the same as the version installed in this computer, created 2025, September 28, 11:35 hours Pacific Time.`

SupportTools:-Version();

`The Customer Support Updates version in the MapleCloud is 29 and is the same as the version installed in this computer, created June 23, 2025, 10:25 hours Eastern Time.`

restart;

trial_solution_constants:=[A[1], A[2], A[3], A[4], A[5], A[6], A[7]];
eq:=2*A[1]*exp(x)+4*A[2]*exp(x)*x+2*A[2]*exp(x)+6*A[3]*exp(x)*x^2+6*A[3]*exp(x)*x-2*A[4]*sin(x)-2*A[4]*x*cos(x)+2*A[5]*cos(x)-2*A[5]*x*sin(x)-2*A[6]*cos(x)-2*A[7]*sin(x) = x*sin(x)+(x^2+1)*exp(x);

[A[1], A[2], A[3], A[4], A[5], A[6], A[7]]

2*A[1]*exp(x)+4*A[2]*exp(x)*x+2*A[2]*exp(x)+6*A[3]*exp(x)*x^2+6*A[3]*exp(x)*x-2*A[4]*sin(x)-2*A[4]*x*cos(x)+2*A[5]*cos(x)-2*A[5]*x*sin(x)-2*A[6]*cos(x)-2*A[7]*sin(x) = x*sin(x)+(x^2+1)*exp(x)

solve(identity(eq,x),trial_solution_constants)

 

 

Download server_crash_calling_solve_oct_3_2025_maple_2025_1.mw

9. Another solve(identity internal error. Gives Error, (in depends) too many levels of recursion. Added oct 3, 2025.

interface(version);

`Standard Worksheet Interface, Maple 2025.1, Linux, June 12 2025 Build ID 1932578`

Physics:-Version();

`The "Physics Updates" version in the MapleCloud is 1878 and is the same as the version installed in this computer, created 2025, September 28, 11:35 hours Pacific Time.`

SupportTools:-Version();

`The Customer Support Updates version in the MapleCloud is 29 and is the same as the version installed in this computer, created June 23, 2025, 10:25 hours Eastern Time.`

restart;

eq:=1 = -2*X*(Y^3+3*Y^2*y0+3*Y*y0^2+y0^3-1)/(Y^2*X+Y^2*x0+Y*X^2+2*Y*X*x0+2*Y*X*y0+Y*x0^2+2*Y*x0*y0+X^2*y0+2*X*x0*y0+X*y0^2+x0^2*y0+x0*y0^2-(X^4*Y^2+2*X^4*Y*y0+X^4*y0^2-2*X^3*Y^3+4*X^3*Y^2*x0-6*X^3*Y^2*y0+8*X^3*Y*x0*y0-6*X^3*Y*y0^2+4*X^3*x0*y0^2-2*X^3*y0^3+X^2*Y^4-6*X^2*Y^3*x0+4*X^2*Y^3*y0+6*X^2*Y^2*x0^2-18*X^2*Y^2*x0*y0+6*X^2*Y^2*y0^2+12*X^2*Y*x0^2*y0-18*X^2*Y*x0*y0^2+4*X^2*Y*y0^3+6*X^2*x0^2*y0^2-6*X^2*x0*y0^3+X^2*y0^4+2*X*Y^4*x0-6*X*Y^3*x0^2+8*X*Y^3*x0*y0+4*X*Y^2*x0^3-18*X*Y^2*x0^2*y0+12*X*Y^2*x0*y0^2+8*X*Y*x0^3*y0-18*X*Y*x0^2*y0^2+8*X*Y*x0*y0^3+4*X*x0^3*y0^2-6*X*x0^2*y0^3+2*X*x0*y0^4+Y^4*x0^2-2*Y^3*x0^3+4*Y^3*x0^2*y0+Y^2*x0^4-6*Y^2*x0^3*y0+6*Y^2*x0^2*y0^2+2*Y*x0^4*y0-6*Y*x0^3*y0^2+4*Y*x0^2*y0^3+x0^4*y0^2-2*x0^3*y0^3+x0^2*y0^4+4*X^3-4*X^2*Y+12*X^2*x0-4*X^2*y0-4*X*Y^2-8*X*Y*x0-8*X*Y*y0+12*X*x0^2-8*X*x0*y0-4*X*y0^2+4*Y^3-4*Y^2*x0+12*Y^2*y0-4*Y*x0^2-8*Y*x0*y0+12*Y*y0^2+4*x0^3-4*x0^2*y0-4*x0*y0^2+4*y0^3)^(1/2)-2)^2*(Y^2+2*Y*X+2*Y*x0+2*Y*y0+2*y0*X+2*y0*x0+y0^2-1/2/(X^4*Y^2+2*X^4*Y*y0+X^4*y0^2-2*X^3*Y^3+4*X^3*Y^2*x0-6*X^3*Y^2*y0+8*X^3*Y*x0*y0-6*X^3*Y*y0^2+4*X^3*x0*y0^2-2*X^3*y0^3+X^2*Y^4-6*X^2*Y^3*x0+4*X^2*Y^3*y0+6*X^2*Y^2*x0^2-18*X^2*Y^2*x0*y0+6*X^2*Y^2*y0^2+12*X^2*Y*x0^2*y0-18*X^2*Y*x0*y0^2+4*X^2*Y*y0^3+6*X^2*x0^2*y0^2-6*X^2*x0*y0^3+X^2*y0^4+2*X*Y^4*x0-6*X*Y^3*x0^2+8*X*Y^3*x0*y0+4*X*Y^2*x0^3-18*X*Y^2*x0^2*y0+12*X*Y^2*x0*y0^2+8*X*Y*x0^3*y0-18*X*Y*x0^2*y0^2+8*X*Y*x0*y0^3+4*X*x0^3*y0^2-6*X*x0^2*y0^3+2*X*x0*y0^4+Y^4*x0^2-2*Y^3*x0^3+4*Y^3*x0^2*y0+Y^2*x0^4-6*Y^2*x0^3*y0+6*Y^2*x0^2*y0^2+2*Y*x0^4*y0-6*Y*x0^3*y0^2+4*Y*x0^2*y0^3+x0^4*y0^2-2*x0^3*y0^3+x0^2*y0^4+4*X^3-4*X^2*Y+12*X^2*x0-4*X^2*y0-4*X*Y^2-8*X*Y*x0-8*X*Y*y0+12*X*x0^2-8*X*x0*y0-4*X*y0^2+4*Y^3-4*Y^2*x0+12*Y^2*y0-4*Y*x0^2-8*Y*x0*y0+12*Y*y0^2+4*x0^3-4*x0^2*y0-4*x0*y0^2+4*y0^3)^(1/2)*(4*X^3*Y^2+8*X^3*Y*y0+4*X^3*y0^2-6*X^2*Y^3+12*X^2*Y^2*x0-18*X^2*Y^2*y0+24*X^2*Y*x0*y0-18*X^2*Y*y0^2+12*X^2*x0*y0^2-6*X^2*y0^3+2*X*Y^4-12*X*Y^3*x0+8*X*Y^3*y0+12*X*Y^2*x0^2-36*X*Y^2*x0*y0+12*X*Y^2*y0^2+24*X*Y*x0^2*y0-36*X*Y*x0*y0^2+8*X*Y*y0^3+12*X*x0^2*y0^2-12*X*x0*y0^3+2*X*y0^4+2*Y^4*x0-6*Y^3*x0^2+8*Y^3*x0*y0+4*Y^2*x0^3-18*Y^2*x0^2*y0+12*Y^2*x0*y0^2+8*Y*x0^3*y0-18*Y*x0^2*y0^2+8*Y*x0*y0^3+4*x0^3*y0^2-6*x0^2*y0^3+2*x0*y0^4+12*X^2-8*X*Y+24*X*x0-8*X*y0-4*Y^2-8*Y*x0-8*Y*y0+12*x0^2-8*x0*y0-4*y0^2))/Y/(-2*(3*Y^2+6*Y*y0+3*y0^2)/(Y^2*X+Y^2*x0+Y*X^2+2*Y*X*x0+2*Y*X*y0+Y*x0^2+2*Y*x0*y0+X^2*y0+2*X*x0*y0+X*y0^2+x0^2*y0+x0*y0^2-(X^4*Y^2+2*X^4*Y*y0+X^4*y0^2-2*X^3*Y^3+4*X^3*Y^2*x0-6*X^3*Y^2*y0+8*X^3*Y*x0*y0-6*X^3*Y*y0^2+4*X^3*x0*y0^2-2*X^3*y0^3+X^2*Y^4-6*X^2*Y^3*x0+4*X^2*Y^3*y0+6*X^2*Y^2*x0^2-18*X^2*Y^2*x0*y0+6*X^2*Y^2*y0^2+12*X^2*Y*x0^2*y0-18*X^2*Y*x0*y0^2+4*X^2*Y*y0^3+6*X^2*x0^2*y0^2-6*X^2*x0*y0^3+X^2*y0^4+2*X*Y^4*x0-6*X*Y^3*x0^2+8*X*Y^3*x0*y0+4*X*Y^2*x0^3-18*X*Y^2*x0^2*y0+12*X*Y^2*x0*y0^2+8*X*Y*x0^3*y0-18*X*Y*x0^2*y0^2+8*X*Y*x0*y0^3+4*X*x0^3*y0^2-6*X*x0^2*y0^3+2*X*x0*y0^4+Y^4*x0^2-2*Y^3*x0^3+4*Y^3*x0^2*y0+Y^2*x0^4-6*Y^2*x0^3*y0+6*Y^2*x0^2*y0^2+2*Y*x0^4*y0-6*Y*x0^3*y0^2+4*Y*x0^2*y0^3+x0^4*y0^2-2*x0^3*y0^3+x0^2*y0^4+4*X^3-4*X^2*Y+12*X^2*x0-4*X^2*y0-4*X*Y^2-8*X*Y*x0-8*X*Y*y0+12*X*x0^2-8*X*x0*y0-4*X*y0^2+4*Y^3-4*Y^2*x0+12*Y^2*y0-4*Y*x0^2-8*Y*x0*y0+12*Y*y0^2+4*x0^3-4*x0^2*y0-4*x0*y0^2+4*y0^3)^(1/2)-2)+2*(Y^3+3*Y^2*y0+3*Y*y0^2+y0^3-1)/(Y^2*X+Y^2*x0+Y*X^2+2*Y*X*x0+2*Y*X*y0+Y*x0^2+2*Y*x0*y0+X^2*y0+2*X*x0*y0+X*y0^2+x0^2*y0+x0*y0^2-(X^4*Y^2+2*X^4*Y*y0+X^4*y0^2-2*X^3*Y^3+4*X^3*Y^2*x0-6*X^3*Y^2*y0+8*X^3*Y*x0*y0-6*X^3*Y*y0^2+4*X^3*x0*y0^2-2*X^3*y0^3+X^2*Y^4-6*X^2*Y^3*x0+4*X^2*Y^3*y0+6*X^2*Y^2*x0^2-18*X^2*Y^2*x0*y0+6*X^2*Y^2*y0^2+12*X^2*Y*x0^2*y0-18*X^2*Y*x0*y0^2+4*X^2*Y*y0^3+6*X^2*x0^2*y0^2-6*X^2*x0*y0^3+X^2*y0^4+2*X*Y^4*x0-6*X*Y^3*x0^2+8*X*Y^3*x0*y0+4*X*Y^2*x0^3-18*X*Y^2*x0^2*y0+12*X*Y^2*x0*y0^2+8*X*Y*x0^3*y0-18*X*Y*x0^2*y0^2+8*X*Y*x0*y0^3+4*X*x0^3*y0^2-6*X*x0^2*y0^3+2*X*x0*y0^4+Y^4*x0^2-2*Y^3*x0^3+4*Y^3*x0^2*y0+Y^2*x0^4-6*Y^2*x0^3*y0+6*Y^2*x0^2*y0^2+2*Y*x0^4*y0-6*Y*x0^3*y0^2+4*Y*x0^2*y0^3+x0^4*y0^2-2*x0^3*y0^3+x0^2*y0^4+4*X^3-4*X^2*Y+12*X^2*x0-4*X^2*y0-4*X*Y^2-8*X*Y*x0-8*X*Y*y0+12*X*x0^2-8*X*x0*y0-4*X*y0^2+4*Y^3-4*Y^2*x0+12*Y^2*y0-4*Y*x0^2-8*Y*x0*y0+12*Y*y0^2+4*x0^3-4*x0^2*y0-4*x0*y0^2+4*y0^3)^(1/2)-2)^2*(2*Y*X+2*Y*x0+X^2+2*X*x0+2*y0*X+x0^2+2*y0*x0-1/2/(X^4*Y^2+2*X^4*Y*y0+X^4*y0^2-2*X^3*Y^3+4*X^3*Y^2*x0-6*X^3*Y^2*y0+8*X^3*Y*x0*y0-6*X^3*Y*y0^2+4*X^3*x0*y0^2-2*X^3*y0^3+X^2*Y^4-6*X^2*Y^3*x0+4*X^2*Y^3*y0+6*X^2*Y^2*x0^2-18*X^2*Y^2*x0*y0+6*X^2*Y^2*y0^2+12*X^2*Y*x0^2*y0-18*X^2*Y*x0*y0^2+4*X^2*Y*y0^3+6*X^2*x0^2*y0^2-6*X^2*x0*y0^3+X^2*y0^4+2*X*Y^4*x0-6*X*Y^3*x0^2+8*X*Y^3*x0*y0+4*X*Y^2*x0^3-18*X*Y^2*x0^2*y0+12*X*Y^2*x0*y0^2+8*X*Y*x0^3*y0-18*X*Y*x0^2*y0^2+8*X*Y*x0*y0^3+4*X*x0^3*y0^2-6*X*x0^2*y0^3+2*X*x0*y0^4+Y^4*x0^2-2*Y^3*x0^3+4*Y^3*x0^2*y0+Y^2*x0^4-6*Y^2*x0^3*y0+6*Y^2*x0^2*y0^2+2*Y*x0^4*y0-6*Y*x0^3*y0^2+4*Y*x0^2*y0^3+x0^4*y0^2-2*x0^3*y0^3+x0^2*y0^4+4*X^3-4*X^2*Y+12*X^2*x0-4*X^2*y0-4*X*Y^2-8*X*Y*x0-8*X*Y*y0+12*X*x0^2-8*X*x0*y0-4*X*y0^2+4*Y^3-4*Y^2*x0+12*Y^2*y0-4*Y*x0^2-8*Y*x0*y0+12*Y*y0^2+4*x0^3-4*x0^2*y0-4*x0*y0^2+4*y0^3)^(1/2)*(2*X^4*Y+2*X^4*y0-6*X^3*Y^2+8*X^3*Y*x0-12*X^3*Y*y0+8*X^3*x0*y0-6*X^3*y0^2+4*X^2*Y^3-18*X^2*Y^2*x0+12*X^2*Y^2*y0+12*X^2*Y*x0^2-36*X^2*Y*x0*y0+12*X^2*Y*y0^2+12*X^2*x0^2*y0-18*X^2*x0*y0^2+4*X^2*y0^3+8*X*Y^3*x0-18*X*Y^2*x0^2+24*X*Y^2*x0*y0+8*X*Y*x0^3-36*X*Y*x0^2*y0+24*X*Y*x0*y0^2+8*X*x0^3*y0-18*X*x0^2*y0^2+8*X*x0*y0^3+4*Y^3*x0^2-6*Y^2*x0^3+12*Y^2*x0^2*y0+2*Y*x0^4-12*Y*x0^3*y0+12*Y*x0^2*y0^2+2*x0^4*y0-6*x0^3*y0^2+4*x0^2*y0^3-4*X^2-8*X*Y-8*X*x0-8*X*y0+12*Y^2-8*Y*x0+24*Y*y0-4*x0^2-8*x0*y0+12*y0^2))):

solve(identity(eq,X),[x0, y0]);

Error, (in depends) too many levels of recursion

 

 

Download solve_identity_error_maple_2025_1_oct_3_2025.mw

10. Added OCT 20, 2025. Adding assuming integer gives internal error from odetest

interface(version);

`Standard Worksheet Interface, Maple 2025.1, Linux, June 12 2025 Build ID 1932578`

Physics:-Version();

`The "Physics Updates" version in the MapleCloud is 1881 and is the same as the version installed in this computer, created 2025, October 7, 16:4 hours Pacific Time.`

SupportTools:-Version();

`The Customer Support Updates version in the MapleCloud is 29 and is the same as the version installed in this computer, created June 23, 2025, 10:25 hours Eastern Time.`

restart;

kernelopts('assertlevel'=2):

ode:=diff(y(x),x) = ln(1+y(x)^2);
IC:=y(0)=0;
sol:=y(x) = (-1+exp(RootOf(-Intat(1/2/tau/(-1+exp(tau))^(1/2)/exp(-tau),tau = _Z)+x+Intat(1/2/tau/(-1+exp(tau))^(1/2)*exp(tau),tau = 2*I*Pi*_Z3))))^(1/2):
 

diff(y(x), x) = ln(1+y(x)^2)

y(0) = 0

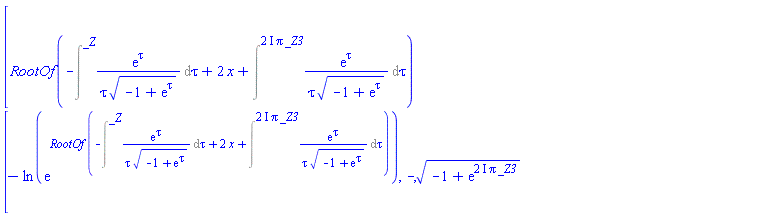
odetest(sol,[ode,IC]);

[RootOf(-Intat(exp(tau)/(tau*(-1+exp(tau))^(1/2)), tau = _Z)+2*x+Intat(exp(tau)/(tau*(-1+exp(tau))^(1/2)), tau = (2*I)*Pi*_Z3))-ln(exp(RootOf(-Intat(exp(tau)/(tau*(-1+exp(tau))^(1/2)), tau = _Z)+2*x+Intat(exp(tau)/(tau*(-1+exp(tau))^(1/2)), tau = (2*I)*Pi*_Z3)))), -(-1+exp((2*I)*Pi*_Z3))^(1/2)]

#adding assuming gives internal error
odetest(sol,[ode,IC]) assuming integer;

Error, (in series/csgn) assertion failed

 

 

Download assertion_error_odetest_maple_2025_1_oct_20_2025.mw

11. Added OCT 21, 2025. solve gives internal error Error, (in content/gcd) too many levels of recursion


 

interface(version);

`Standard Worksheet Interface, Maple 2025.1, Linux, June 12 2025 Build ID 1932578`

Physics:-Version();

`The "Physics Updates" version in the MapleCloud is 1881 and is the same as the version installed in this computer, created 2025, October 7, 16:4 hours Pacific Time.`

SupportTools:-Version();

`The Customer Support Updates version in the MapleCloud is 29 and is the same as the version installed in this computer, created June 23, 2025, 10:25 hours Eastern Time.`

restart;

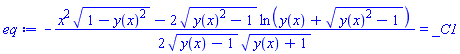
eq:=(-1/2*(x^2*(1-y(x)^2)^(1/2)-2*(y(x)^2-1)^(1/2)*ln(y(x)+(y(x)^2-1)^(1/2)))/(y(x)-1)^(1/2)/(y(x)+1)^(1/2) = _C1)

 

-(1/2)*(x^2*(1-y(x)^2)^(1/2)-2*(y(x)^2-1)^(1/2)*ln(y(x)+(y(x)^2-1)^(1/2)))/((y(x)-1)^(1/2)*(y(x)+1)^(1/2)) = _C1

eq:=eval(eq,y(x)=Y);

-(1/2)*(x^2*(-Y^2+1)^(1/2)-2*(Y^2-1)^(1/2)*ln(Y+(Y^2-1)^(1/2)))/((Y-1)^(1/2)*(Y+1)^(1/2)) = _C1

try
    solve(eq,Y);
catch:
    print(" cought error ok");
end try;

Error, (in content/gcd) too many levels of recursion

 

 

Download solve_content_gcd_error_maple_2025_1_oct_21_2025.mw

12. Added OCT 21, 2025 odetest gives internal error when using _EnvAllSolutions := true:

Made it as separate question here.

 

13. Added OCT 21, 2025.  solve() result changes due to earlier call to solve

Made it as separate question here

14. Added OCT 23, 2025. Maple dsolve gives internal error for some initial conditions. 

interface(version);

`Standard Worksheet Interface, Maple 2025.1, Linux, June 12 2025 Build ID 1932578`

Physics:-Version()

`The "Physics Updates" version in the MapleCloud is 1881 and is the same as the version installed in this computer, created 2025, October 7, 16:4 hours Pacific Time.`

SupportTools:-Version();

`The Customer Support Updates version in the MapleCloud is 29 and is the same as the version installed in this computer, created June 23, 2025, 10:25 hours Eastern Time.`

#works
ode:=diff(y(x),x)=x^2+y(x)^2;
IC:=y(0)=0;
dsolve([ode,IC])

diff(y(x), x) = x^2+y(x)^2

y(0) = 0

y(x) = -(-BesselJ(-3/4, (1/2)*x^2)+BesselY(-3/4, (1/2)*x^2))*x/(-BesselJ(1/4, (1/2)*x^2)+BesselY(1/4, (1/2)*x^2))

#works
ode:=diff(y(x),x)=x^2+y(x)^2;
IC:=D(y)(0)=0;
dsolve([ode,IC])

diff(y(x), x) = x^2+y(x)^2

(D(y))(0) = 0

y(x) = (BesselJ(-3/4, (1/2)*x^2)-BesselY(-3/4, (1/2)*x^2))*x/(-BesselJ(1/4, (1/2)*x^2)+BesselY(1/4, (1/2)*x^2))

#internal Maple error
ode:=diff(y(x),x)=x^2+y(x)^2;
IC:=y(0)+D(y)(0)=0;
dsolve([ode,IC])

diff(y(x), x) = x^2+y(x)^2

y(0)+(D(y))(0) = 0

Error, (in dsolve) invalid input: rhs received {y(x) = (BesselJ(-3/4,1/2*x^2)-BesselY(-3/4,1/2*x^2))*x/(-BesselJ(1/4,1/2*x^2)+BesselY(1/4,1/2*x^2))}, which is not valid for its 1st argument, expr

 


 

Download internal_dsolve_error_when_using_IC_maple_2025_1_oct_23_2025.mw

15. Added OCT 25, 2025. Another solve identity internal error. Not listed above when I checked. Error, (in simplify/size/size) too many levels of recursion
 

interface(version);

`Standard Worksheet Interface, Maple 2025.1, Linux, June 12 2025 Build ID 1932578`

Physics:-Version();

`The "Physics Updates" version in the MapleCloud is 1881 and is the same as the version installed in this computer, created 2025, October 7, 16:4 hours Pacific Time.`

restart;

eq:=1 = -X*(Y^3+3*Y^2*y0+3*Y*y0^2+y0^3)/(2*cos(X)*cos(x0)^2*Y^2*sin(X)+2*cos(X)^2*
cos(x0)*Y^2*sin(x0)+4*cos(X)*cos(x0)^2*Y*y0*sin(X)+4*cos(X)^2*cos(x0)*Y*y0*sin(
x0)+2*cos(X)*cos(x0)^2*y0^2*sin(X)+2*cos(X)^2*cos(x0)*y0^2*sin(x0)-cos(X)^2*cos
(x0)^2+2*cos(X)*cos(x0)*sin(X)*sin(x0)-2*sin(X)^2*sin(x0)*Y^2*cos(x0)-2*sin(X)*
sin(x0)^2*Y^2*cos(X)-4*sin(X)^2*sin(x0)*Y*y0*cos(x0)-4*sin(X)*sin(x0)^2*Y*y0*
cos(X)-2*sin(X)^2*sin(x0)*y0^2*cos(x0)-2*sin(X)*sin(x0)^2*y0^2*cos(X)-sin(X)^2*
sin(x0)^2)^2*(-2*sin(X)^2*cos(x0)^2*Y^2+2*cos(X)^2*cos(x0)^2*Y^2-8*cos(X)*cos(
x0)*Y^2*sin(x0)*sin(X)-4*sin(X)^2*cos(x0)^2*Y*y0+4*cos(X)^2*cos(x0)^2*Y*y0-16*
cos(X)*cos(x0)*Y*y0*sin(x0)*sin(X)-2*sin(X)^2*cos(x0)^2*y0^2+2*cos(X)^2*cos(x0)
^2*y0^2-8*cos(X)*cos(x0)*y0^2*sin(x0)*sin(X)+2*cos(X)*cos(x0)^2*sin(X)-2*sin(X)
^2*cos(x0)*sin(x0)+2*cos(X)^2*cos(x0)*sin(x0)-2*cos(X)^2*sin(x0)^2*Y^2+2*sin(X)
^2*sin(x0)^2*Y^2-4*cos(X)^2*sin(x0)^2*Y*y0+4*sin(X)^2*sin(x0)^2*Y*y0-2*cos(X)^2
*sin(x0)^2*y0^2+2*sin(X)^2*sin(x0)^2*y0^2-2*sin(X)*sin(x0)^2*cos(X))/Y/(-(3*Y^2
+6*Y*y0+3*y0^2)/(2*cos(X)*cos(x0)^2*Y^2*sin(X)+2*cos(X)^2*cos(x0)*Y^2*sin(x0)+4
*cos(X)*cos(x0)^2*Y*y0*sin(X)+4*cos(X)^2*cos(x0)*Y*y0*sin(x0)+2*cos(X)*cos(x0)^
2*y0^2*sin(X)+2*cos(X)^2*cos(x0)*y0^2*sin(x0)-cos(X)^2*cos(x0)^2+2*cos(X)*cos(
x0)*sin(X)*sin(x0)-2*sin(X)^2*sin(x0)*Y^2*cos(x0)-2*sin(X)*sin(x0)^2*Y^2*cos(X)
-4*sin(X)^2*sin(x0)*Y*y0*cos(x0)-4*sin(X)*sin(x0)^2*Y*y0*cos(X)-2*sin(X)^2*sin(
x0)*y0^2*cos(x0)-2*sin(X)*sin(x0)^2*y0^2*cos(X)-sin(X)^2*sin(x0)^2)+(Y^3+3*Y^2*
y0+3*Y*y0^2+y0^3)/(2*cos(X)*cos(x0)^2*Y^2*sin(X)+2*cos(X)^2*cos(x0)*Y^2*sin(x0)
+4*cos(X)*cos(x0)^2*Y*y0*sin(X)+4*cos(X)^2*cos(x0)*Y*y0*sin(x0)+2*cos(X)*cos(x0
)^2*y0^2*sin(X)+2*cos(X)^2*cos(x0)*y0^2*sin(x0)-cos(X)^2*cos(x0)^2+2*cos(X)*cos
(x0)*sin(X)*sin(x0)-2*sin(X)^2*sin(x0)*Y^2*cos(x0)-2*sin(X)*sin(x0)^2*Y^2*cos(X
)-4*sin(X)^2*sin(x0)*Y*y0*cos(x0)-4*sin(X)*sin(x0)^2*Y*y0*cos(X)-2*sin(X)^2*sin
(x0)*y0^2*cos(x0)-2*sin(X)*sin(x0)^2*y0^2*cos(X)-sin(X)^2*sin(x0)^2)^2*(4*cos(X
)*cos(x0)^2*Y*sin(X)+4*cos(X)^2*cos(x0)*Y*sin(x0)+4*cos(X)*cos(x0)^2*y0*sin(X)+
4*cos(X)^2*cos(x0)*y0*sin(x0)-4*sin(X)^2*sin(x0)*Y*cos(x0)-4*sin(X)*sin(x0)^2*Y
*cos(X)-4*sin(X)^2*sin(x0)*y0*cos(x0)-4*sin(X)*sin(x0)^2*y0*cos(X))):

solve(identity(eq,X),[x0,y0]);

Error, (in simplify/size/size) too many levels of recursion

 

 

Download another_solve_identity_bug_maple_2025_1_oct_25_2025.mw

I would like to nominate solve(identity,...) as the most buggy function in Maple. 

fyi, there is new video showing Maple's 2025 new interface

It seems oriented to document mode which I do not use. May be they also improved worksheet mode.

I am still getting my Maple desktop getting shuffled few times each day where I have to close Maple and reopen it to clear it. I hope they fixed this in the new interface.,

To Maplesoft,

Please consider changing the name from Maple to something else.

It is almost impossible to search for anything related to maple, since google keeps giving results about trees called Maple in Canada and about some maple syrup products which I have no interest in at all.

One has to go through pages and pages of links looking for a real Maple software hit.

I know the name Maple has been around for long time, but a new unique name will make searching easier and people will get used to the new name very quickly (may be in 1-2 years).

Some examples:

 

I know when Maple was created almost 40 years ago, the inernet itself was not even here (I forgot when VP. Gore created the internet but I think that was in early 90's), and search was not thought about then.

But these days, the ability to search for something and to easily find it is very important for companies and having a unique name for Maple will make it also much more popular and easier to find things about it instead of finding  information about Maple syrup and Maple trees all the time.

This is posted  under product suggestions.

I did not see such a post for 2023 so I am starting one.

What is your 3 top bug fixes or improvements  you would like to see in Maple 2023? 

Here are mine

  1. Fix timelimit so that it completes at or near the time requested and not hang or take 10 hrs when asked to timeout after say 30 seconds.
  2. Fix the large amount of server crashes and the many random hangs when running large computation that takes long time. i.e. Make Maple more robust.
  3. Allow the user to remove output from worksheet while it is still running (Evaluate->Remove output from worksheet)

Maple is a nice language and has many nice functions. But it is the usability part of Maple that leaves many bad impressions because of these things that should really have been fixed by now given how long  Maple software have been around.

Any chance to have "Evaluate->Remove Output From Worksheet" become active and usable when one is still running something in the worksheet?  May be in 2023 version?

This is something that has been missing in Maple for ages.

Maple definitely slows down when the worksheet becomes full of output (from print messages) when a command has been running for long time. Now there is no way to remove the output in the worksheet until the command completes which can take hours. May be this slow down because the scrolling/writing to the worksheet slows down, and this affects how long it takes to complete as the engine is waiting for the frontend to finish writing to the worksheet?. I do not know. I just know Maple slows down when this happens.

I do not understand why Maple can't implement this. Is there a tehnical reson which will make removing current output in the worksheet not possible while a command is running?

1 2 3 4 Page 1 of 4